



Мобильное приложение
Справочные данные, выдаваемые на ЕГЭ
Базовый уровень
Алгебра
| Десятки | Единицы | |||||||||
| 0 | 1 | 2 | 3 | 4 | 5 | 6 | 7 | 8 | 9 | |
| 0 | 0 | 1 | 4 | 9 | 16 | 25 | 36 | 49 | 64 | 81 |
| 1 | 100 | 121 | 144 | 169 | 196 | 225 | 256 | 289 | 324 | 361 |
| 2 | 400 | 441 | 484 | 529 | 576 | 625 | 676 | 729 | 784 | 841 |
| 3 | 900 | 961 | 1024 | 1089 | 1156 | 1225 | 1296 | 1369 | 1444 | 1521 |
| 4 | 1600 | 1681 | 1764 | 1849 | 1936 | 2025 | 2116 | 2209 | 2304 | 2401 |
| 5 | 2500 | 2601 | 2704 | 2809 | 2916 | 3025 | 3136 | 3249 | 3364 | 3481 |
| 6 | 3600 | 3721 | 3844 | 3969 | 4096 | 4225 | 4356 | 4489 | 4624 | 4761 |
| 7 | 4900 | 5041 | 5184 | 5329 | 5476 | 5625 | 5776 | 5929 | 6084 | 6241 |
| 8 | 6400 | 6561 | 6724 | 6889 | 7056 | 7225 | 7396 | 7569 | 7744 | 7921 |
| 9 | 8100 | 8281 | 8464 | 8649 | 8836 | 9025 | 9216 | 9409 | 9604 | 9801 |
Свойства арифметического квадратного корня
при
при
Корни квадратного уравнения
Формулы сокращённого умножения
Свойства степени при
Свойства логарифма при
Геометрия
Средняя линия треугольника и трапеции
Теорема Пифагора
Длина и площадь окружности
Описанная и вписанная окружности правильного треугольника
Площади фигур
Площади поверхностей и объёмы тел
Тригонометрические функции
Прямоугольный треугольник
Тригонометрическая окружность
Основное тригонометрическое тождество
Некоторые значения тригонометрических функций
| радианы | |||||||||
| градусы | |||||||||
| 0 | 1 | 0 | 0 | ||||||
| 1 | 0 | 0 | 1 | ||||||
| 0 | 1 | — | 0 | — | 0 | ||||
Функции
Линейная функция
Геометрический смысл производной
Профильный уровень
Особенности экзаменационных заданий
Базовый уровень
Задания 1: действия с дробями
Чтобы сложить дроби с одинаковыми знаменателями, нужно сложить их числители, а знаменатель оставить без изменения.
Чтобы вычесть из одной дроби другую, нужно из числителя первой дроби вычесть числитель второй дроби, а знаменатель оставить прежним.
Чтобы привести дроби к одному знаменателю, нужно:
— найти НОК знаменателей;
— разделить НОК на знаменатель каждой дроби и получить дополнительный множитель для этой дроби;
— умножить числители и знаменатели дробей на их дополнительные множители.
Чтобы умножить дробь на число, нужно числитель данной дроби умножить на это число, а знаменатель оставить без изменений.
Чтобы разделить дробь на число, нужно эту дробь умножить на число, обратное делителю.
Чтобы разделить число на дробь, нужно умножить это число на дробь, обратную делителю.
Чтобы перемножить дроби, нужно перемножить их числители и знаменатели.
Чтобы разделить дробь на дробь, нужно первую дробь умножить на дробь, обратную второй.
Чтобы возвести дробь в степень, нужно возвести в эту степень числитель и знаменатель.
Полезные приёмы
При решении задач на вычисление, можно не сразу приступать к арифметическим действиям согласно их порядку, а использовать переместительный, сочетательный и распределительный законы:
Например, можно вначале раскрыть скобки, а потом производить дальнейшие вычисления:
В этом задании, наоборот, следует вынести общий множитель за скобку:
При выполнении действий с десятичными дробями, бывает полезным переводить их в обыкновенные дроби:
Смешанная дробь может быть представлена как сумма целой и дробной частей:
Задания 2: действия со степенями
Степень и её свойства
Пусть дано положительное число а и произвольное действительное число n. Число an называется степенью, число а — основанием степени, число n — показателем степени.
Напомним, что по определению полагают:
Свойства степени
Если a и b — положительные числа, x и y — любые действительные числа, то справедливы следующие свойства:
Степень с дробным показателем
Если a — положительное число, m — целое число, а n — натуральное число и то
В частности, например,
Задания 3: задачи на проценты
Проценты
Процент от числа — это сотая доля этого числа. Например, вычисляя 12% от 1 и 12% от 2000, получим соответственно:
Особенности экзаменационных заданий на проценты
Экзаменационные задачи на вычисление процентов сводятся к одному из трех случаев.
— В задания типа «Найти а% от b» требуется найти произведение
— В заданиях типа «Сколько процентов составляет а от b?» находим
— В заданиях типа «Найдите число x, если а% от него равны b» находим
Задания 4: действия с формулами
Вычисление по формулам
В задании 4 необходимо продемонстрировать умения работы с выражениями: необходимо выразить из заданного выражения неизвестную величину и найти её, подставив числовые значения других величин, известных из условия.
Для выполнения заданий можно сначала выразить неизвестную величину через известные, а затем подставить их числовые значения, или сначала подставить все известные значения в формулу, упростить полученное выражение, а потом выразить из него искомую неизвестную величину. Приведём два решения одной задачи.
Задача. Длину биссектрисы треугольника, проведённой к стороне а, можно вычислить по формуле Вычислите
если
Решение 1. Выразим неизвестную, затем найдем её значение:
Решение 2. Подставим значения, получим уравнение, из него найдём неизвестную:
тогда
поэтому
Задания 5: тождественные преобразования выражений
Ориентировочное время выполнения учащимися: 5—10 минут.
Типы заданий:
• Преобразования иррациональных выражений.
• Преобразования логарифмических выражений.
• Преобразования тригонометрических выражений.
Формулы сокращенного умножения
Степень и её свойства
Пусть дано положительное число а и произвольное действительное число n. Число an называется степенью, число а — основанием степени, число n — показателем степени.
Напомним, что по определению полагают:
Свойства степени
Если a и b — положительные числа, x и y — любые действительные числа, то справедливы следующие свойства:
Степень с дробным показателем
Если a — положительное число, m — целое число, а n — натуральное число и то
В частности, например,
Арифметический корень
Пусть n — натуральное число, отличное от единицы, а — неотрицательное число. Арифметическим корнем n-й степени из неотрицательного числа а называется неотрицательное число, n-я степень которого равна а.
Для арифметического корня n-й степени из неотрицательного числа а используется обозначение Если n = 2, пишут
По определению
Для любых, в том числе отрицательных, значений а справедлива формула в частности,
и
Свойства арифметического корня
Если a и b — неотрицательные числа, n и k — натуральные числа, отличные от единицы, m —целое число, то имеют место следующие соотношения:
Определение логарифма и его свойства
Логарифмом положительного числа b по основанию а называют показатель степени, в которую нужно возвести число а, чтобы получить число b. Для логарифма положительного числа b по основанию а
используется обозначение
По определению это равенство называется основным логарифмическим тождеством.
Частные случаи:
Логарифм положительного числа b по основанию 10 называется десятичным логарифмом и обозначается
Логарифм положительного числа b по основанию е называется натуральным логарифмом и обозначается
Свойства логарифмов
Если
— любое действительное число, то справедливы следующие свойства:
Основные тригонометрические формулы
Правило для запоминания формул приведения
Чтобы записать формулу приведения для аргументов
необходимо:
1) определить четверть, в которой лежит аргумент приводимой функции, предполагая острым углом;
2) определить знак приводимой функции в этой четверти;
3) определить вид функции, не изменяя ее для аргументов и изменив на сходственную для остальных аргументов.
А именно:
Свойства четности и нечетности функций
Свойства четности и нечетности функций
Задания 6: задачи на округление, текстовые задачи
Особенности экзаменационных заданий на округление
Среди заданий этого типа наиболее часто встречаются задания двух видов.
— В заданиях вида «Сколько карандашей по цене 2 руб. можно купить на 5 рублей?» ответ 2 карандаша — округляем до ближайшего меньшего целого, так как половину карандаша купить невозможно.
— В заданиях вида «Сколько двухлитровых банок потребуется, чтобы в них поместилось 5 литров воды?» ответ 3 банки — округляем до ближайшего большего целого, так как вся вода должна поместиться.
Важно не путать эти два случая, округляя в ту или иную сторону.
Округление величин с избытком и недостатком
Округление — математическая операция, позволяющая уменьшить количество знаков в записи числа за счет замены числа его приближенным значением.
Округление производится в соответствии со следующими правилами:
— если первая из отбрасываемых цифр меньше 5, то последняя сохраняемая цифра не изменяется;
— если первая из отбрасываемых цифр равна 5 или больше 5, то последняя сохраняемая цифра увеличивается на единицу;
Округление следует выполнять сразу до желаемого количества значащих цифр, а не по этапам.
Например, округляя число 3,14159265 до трех, четырех и восьми знаков, получим соответственно: 3,14, 3,142, 3,1415927.
Примечание. Обычно в заданиях округлять требуется до целого числа.
Задания 7: простейшие уравнения
Ориентировочное время выполнения учащимися: 5—10 минут.
Типы заданий:
• Линейные уравнения.
• Квадратные уравнения.
• Рациональные уравнения.
• Иррациональные уравнения.
• Показательные уравнения.
• Логарифмические уравнения.
Линейные уравнения
Уравнение где x — неизвестное, a и b — любые действительные числа, называется линейным уравнением относительно x. Если
оно имеет единственное решение тогда
Если
его решением является любое действительное число. Если
то линейное уравнение не имеет решений.
Квадратные уравнения
Уравнение где x — неизвестное,
b и c — любые действительные числа, называется квадратным уравнением относительно x. Выражение
называется дискриминантом уравнения
В зависимости от значения дискриминанта квадратное уравнение на множестве действительных чисел может иметь два корня, один корень или не иметь корней. Если
уравнение имеет два корня
если
— один корень
если
корней нет.
Рациональные уравнения
Уравнения, в которых и левая, и правая части являются рациональными выражениями, называются рациональными уравнениями. При решении рациональных уравнений, содержащих переменную в знаменателе, необходимо учитывать, что знаменатель не может обращаться в нуль. Многие учащиеся допускают ошибки при решении уравнений вида
Иррациональные уравнения
Иррациональные уравнения, включенные в задания ЕГЭ, являются уравнениями одного из трех типов: «корень нечетной степени равен числу», «корень четной степени равен числу» и «квадратный корень равен линейному выражению». Сформулируем теорему для решения уравнений указанных типов.
Теорема.
Пусть m — нечетное натуральное число, n — четное натуральное число, а — любое число,
Тогда:
Иными словами, обе части уравнений указанного вида возводят в степень так, чтобы избавиться от знака корня. Причем возведение в нечетную степень является равносильным преобразованием при любых значениях правой части, а возведение в четную степень является равносильным преобразованием только в случае неотрицательности правой части уравнения.
Показательные уравнения
Показательные уравнения, включенные в задания ЕГЭ, приводятся к одному из двух типов: или
Сформулируем теорему для решения уравнений указанных типов.
Решение простейших показательных уравнений. Пусть Тогда:
Логарифмические уравнения
Логарифмические уравнения, включенные в задания ЕГЭ, приводятся к одному из трех типов:
Для этого могут понадобиться формулы свойств логарифмов:
Сформулируем теорему для решения уравнений указанных типов.
Решение простейших логарифмических уравнений. Пусть Тогда:
Особенности решения экзаменационных заданий на простейшие уравнения
При решении многих задач ЕГЭ необходимо установить связь между различными основаниями степени, поэтому будет полезно знать некоторые степени чисел в пределах 1000:
Задания 8: многоугольники
Треугольники
Треугольник — фигура, состоящая из трех точек, не лежащих на одной прямой, и трех отрезков, попарно соединяющих эти точки.
Равносторонний треугольник
Треугольник, все три стороны которого равны, называется правильным (равносторонним) треугольником.
Углы равностороннего треугольника равны 60°.
Равнобедренный треугольник
Треугольник называется равнобедренным, если две его стороны равны. Равные стороны называются боковыми сторонами, а третья сторона — основанием равнобедренного треугольника.
Высота, медиана и биссектриса равнобедренного треугольника, проведенные к его основанию, совпадают.
Углы при основании равнобедренного треугольника равны.
Высоты, медианы, биссектрисы, проведенные к боковым сторонам равнобедренного треугольника, равны.
Прямоугольный треугольник
Если один из углов треугольника прямой, то треугольник называется прямоугольным. В прямоугольном треугольнике сторона, лежащая против прямого угла называется гипотенузой, а две другие стороны называются катетами этого треугольника. Квадрат гипотенузы равен сумме квадратов катетов.
Средняя линия треугольника
Отрезок, соединяющий середины двух сторон треугольника называется средней линией треугольника. Средняя линия треугольника параллельна одной из сторон треугольника и равна ее половине. Три средние линии треугольника делят его на 4 равных треугольника.
Четырехугольники
Параллелограмм
Параллелограммом называется четырехугольник, противоположные стороны которого попарно параллельны.
Две противоположные стороны четырехугольника равны и параллельны тогда и только тогда, когда этот четырехугольник — параллелограмм.
Противоположные стороны четырехугольника попарно равны тогда и только тогда, когда этот четырехугольник — параллелограмм.
Противоположные углы четырехугольника попарно равны тогда и только тогда, когда этот четырехугольник — параллелограмм.
Диагонали четырехугольника пересекаются и точкой пересечения делятся пополам тогда и только тогда, когда этот четырехугольник — параллелограмм.
Прямоугольник
Прямоугольником называется параллелограмм, у которого все углы прямые. Так как прямоугольник, по определению, является параллелограммом, то он обладает всеми свойствами параллелограмма. Кроме того, прямоугольник обладает следующим характеристическим свойством.
Диагонали параллелограмма равны тогда и только тогда, когда этот параллелограмм — прямоугольник.
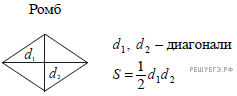
Ромб
Ромбом называется параллелограмм, все стороны которого равны. Так как ромб, по определению, является параллелограммом, то он обладает всеми свойствами параллелограмма. Кроме того, ромб обладает следующими характеристическими свойствами.
Диагонали параллелограмма делят его углы пополам тогда и только тогда, когда этот параллелограмм — ромб.
Диагонали параллелограмма взаимно перпендикулярны тогда и только тогда, когда этот параллелограмм — ромб.
Трапеция
Трапецией называется четырехугольник, две стороны которого параллельны, а две другие не параллельны. Параллельные стороны трапеции называются ее основаниями, а две другие стороны — боковыми сторонами. Отрезок, соединяющий середины боковых сторон трапеции называется средней линией трапеции. Трапеция, боковые стороны которой равны, называется равнобедренной трапецией. Трапеция, один из углов которой прямой, равен называется прямоугольной трапецией.
Средняя линия трапеции параллельна ее основаниям и равна их полусумме.
Отрезок, соединяющие середины диагоналей трапеции, равен полуразности большего и меньшего оснований.
Теоремы о площадях многоугольников
Для вычисления площадей многоугольников применяют следующие теоремы.
— Площадь треугольника равна половине произведения стороны на высоту, проведенную к этой стороне или к ее продолжению.
— Площадь квадрата равна квадрату его стороны.
— Площадь прямоугольника равна произведению его сторон.
— Площадь параллелограмма равна произведению стороны на высоту, проведенную к этой стороне.
— Площадь ромба равна половине произведения его диагоналей.
— Площадь трапеции равна произведению полусуммы оснований на высоту.
Окружность
Соотношения между элементами окружности и круга
Пусть r — радиус окружности, C — длина окружности, S — площадь круга. Тогда имеют место следующие соотношения:
Задания 9: размеры и единицы измерения
В задании 9 необходимо сопоставить объектам их количественные характеристики — длины, площади, массы и т. д. Для решения заданий необходимо уметь сравнивать числа и переводить их из одних единиц измерения в другие.
Задача. Установите соответствие между величинами и их возможными значениями: к каждому элементу первого столбца подберите соответствующий элемент из второго столбца.
| ВЕЛИЧИНЫ | ВОЗМОЖНЫЕ ЗНАЧЕНИЯ | |
А) рост жирафа Б) толщина лезвия бритвы В) радиус Земли Г) ширина футбольного поля | 1) 6400 км 2) 500 см 3) 0,08 мм 4) 68 м |
В таблице под каждой буквой укажите соответствующий номер.
| A | Б | В | Г |
Решение. Упорядочим величины первого столбца по возрастанию: масса снежинки (Г), пуговицы (А), собаки (В), грузовой машины (Б). Упорядочим числа из второго столбца по возрастанию: 1 миллиграмм (3), 1 грамм (2), 10 килограммов (4), 10 тонн (1). Тем самым, получили соответствие: Г–3, А–2, В–4, Б–1. Запишем результат в таблицу.
| A | Б | В | Г |
| 2 | 1 | 4 | 3 |
Задания 10: начала теории вероятностей
Понятие вероятности
Вероятность — это числовая характеристика возможности наступления какого-либо события. Вероятностью события А называется отношение числа m случаев, благоприятствующих его наступлению, к числу n всех возможных случаев. Обозначение:
Если событие наступить не может, оно называется невозможным. Вероятность невозможного события равна 0.
Если событие непременно наступает, оно называется достоверным. Вероятность достоверного события равна 1.
Вероятность события — число из отрезка [0; 1].
Произведением событий А и В называется событие С = AB, состоящее в том, что в результате испытания произошло и событие А, и событие В, то есть оба события произошли.
Суммой событий А и В называется событие С = А + В, состоящее в наступлении, по крайней мере, одного из них, то есть в наступлении события А, или события В, или обоих этих событий вместе.
Два события называются независимыми, если вероятность появления каждого из них не зависит от того, появилось другое событие или нет. В противном случае события называются зависимыми.
Два события называются совместными, если появление одного из них не исключает появление другого в одном и том же испытании. В противном случае события называются несовместными.
Два события называются противоположными, если они несовместны и одно из них обязательно происходит.
Теоремы о вероятностях событий
Вероятность произведения двух независимых событий A и B равна произведению этих вероятностей:
Вероятность суммы двух несовместных событий A и B равна сумме вероятностей этих событий:
Сумма вероятностей двух противоположных событий равна 1.
Особенности экзаменационных заданий на начала теории вероятности
Большая часть заданий этого типа сводятся к использованию формулы Напомним, что ответом к задачам с кратким ответом могут быть только целые числа или конечные десятичные дроби, поэтому полученную обыкновенную дробь необходимо переводить в десятичную.
Во избежание ошибок следует различать два типа условий. В условиях вида «из 100 сумок 8 дефектных» имеется в виду, что всего сумок 100, из них дефектных — 8, качественных — 92. В условиях вида «на каждые 100 сумок приходится 8 дефектных» предполагается, что всего сумок 108, из них дефектных — 8, качественных — 100. Приведем пример такого задания.
Задание. Фабрика выпускает сумки. В среднем на 100 качественных сумок приходится восемь сумок со скрытыми дефектами. Найдите вероятность того, что купленная сумка окажется качественной. Результат округлите до сотых.
Решение. По условию из 108 сумок 100 являются качественными. Поэтому искомая вероятность равна
Ответ: 0,93.
При решении заданий с использованием теорем о вероятностях событий важно хорошо знать вышеприведённые определения и теоремы и не путаться в них. Вычислительной сложности задания, как правило, не представляют.
Задания 11: чтение графиков и диаграмм
Типы заданий:
• Определение величины по диаграмме.
• Определение величины по графику.
• Вычисление величины по данным графика.
Анализ графических зависимостей
Для того чтобы найти по графику множество значений функции достаточно найти проекцию ее графика на ось ординат. Множество ординат всех точек проекции и есть область значений функции.
Для того, чтобы найти по графику наибольшее значение функции на некотором промежутке достаточно найти наибольшую ординату среди всех точек проекции соответствующей части графика на ось ординат.
Для того, чтобы найти по графику наименьшее значение функции на некотором промежутке достаточно найти наименьшую ординату среди всех точек проекции соответствующей части графика на ось ординат.
Примечание. Аналогичным образом рассуждают, если требуется определить значение величин по данным диаграммы.
Особенности экзаменационных заданий на чтение графиков и диаграмм
Многие задания этого типа предполагают анализ дискретных функций, графики которых являются точечными. В этом случае соединяющие точки отрезки проведены только для наглядности.
Например, если в условии сказано: «На рисунке жирными точками показана цена никеля в период с 6 по 20 мая, по горизонтали указаны числа месяца, по вертикали — цена тонны никеля» (см. рис. слева), то во избежание ошибок график следует представлять себе так, как показано на рисунке справа.
Задания 12: выбор оптимального варианта
Проверяемые элементы содержания и виды деятельности: умение анализировать различные возможности и выбирать наиболее оптимальную в зависимости от поставленных условий, умение решать текстовые задачи, составляя математическую модель предложенной в них ситуации, умение использовать приобретенные знания и умения в практической деятельности и повседневной жизни.
Ориентировочное время выполнения учащимися: 5—10 минут.
Для решения этого типа заданий необходимо уметь проводить вычисления с многозначными числами: складывать, вычитать, умножать и делить «в столбик».
Экзаменационные задания данного типа логически просты: следует перебрать все возможные варианты. Однако на экзамене не разрешается пользоваться калькуляторами, а значит, есть вероятность допустить ошибку в вычислениях. Проводите все расчеты письменно, записывайте выкладки аккуратно. Это позволит вам обнаружить возможные вычислительные ошибки при повторной проверке решений перед сдачей работы.
Задания 13: стереометрия
Особенности заданий по стереометрии
Задания этого вида представляют собой стереометрические задания на установление взаимосвязи между основными элементами многогранников и круглых тел, а также на использование формул для вычисления их площадей поверхностей и объемов. Вычислительной трудности задания не представляют; решение, как правило, сводится к использованию одной-двух формул. Соответствующие формулы приведены в справочных материалах, выдаваемых на экзамене.
Многогранники
Куб
Куб — правильный многогранник, каждая грань которого представляет собой квадрат. Куб является частный случаем параллелепипеда и призмы, поэтому для него выполнены все их свойства.
Кроме того, если а — длина ребра куба, — диагональ куба,
— площадь полной поверхности, а V — объем куба, то справедливы формулы:
Призма
Призмой (n-угольной призмой) называется многогранник, две грани которого — равные n-угольники, лежащие в параллельных плоскостях, а остальные n граней — параллелограммы.
Прямая призма
Прямой призмой называется призма, боковое ребро которой перпендикулярно плоскости основания. Высота прямой призмы равна ее боковому ребру, а все боковые грани прямой призмы — прямоугольники.
Правильной призмой называется прямая призма, основание которой — правильный многоугольник.
Соотношения для прямой призмы
Пусть H — высота прямой призмы, AA1 — боковое ребро, — периметр основания,
— площадь основания,
— площадь боковой поверхности,
— площадь полной поверхности, V — объем прямой призмы. Тогда имеют место следующие соотношения:
Пирамида
Пусть вне плоскости многоугольника задана точка P. Тогда фигура, образованная треугольниками
,
и многоугольником
вместе с их внутренними областями называется пирамидой (n-угольной пирамидой).
Пирамида называется правильной, если ее основание — правильный многоугольник, а основание ее высоты — центр этого многоугольника.
Соотношения для правильной пирамиды
Пусть H — высота правильной пирамиды, h — ее апофема, — периметр основания пирамиды,
— площадь основания,
— площадь боковой поверхности,
— площадь полной поверхности, V — объем правильной пирамиды. Тогда имеют место следующие соотношения:
Круглые тела
Цилиндр
Цилиндром называется фигура, полученная при вращении прямоугольника вокруг оси, содержащей его сторону.
Соотношения для цилиндра
Пусть h — высота цилиндра, r — радиус основания, Sбок — площадь боковой поверхности, Sполн — площадь полной поверхности, V — объем цилиндра. Тогда имеют место следующие соотношения:
Конус
Конусом называется фигура, полученная при вращении прямоугольного треугольника вокруг оси, содержащей его катет.
Соотношения для конуса
Пусть h — высота конуса, r — радиус основания, l — образующая, Sбок — площадь боковой поверхности, Sполн — площадь полной поверхности, V — объем конуса. Тогда имеют место следующие соотношения:
Сфера и шар
Шаром называется фигура, полученная при вращении полукруга вокруг оси, содержащей его диаметр. Сферой называется поверхность шара. Пусть R — радиус шара, S — площадь сферы, V — объем шара. Тогда имеют место следующие соотношения:
Задания 14: скорость изменения величин
Производная числа, линейной и степенной функции
Производная числа, линейной и степенной функции. Пусть k и n — любые числа, а x принимает такие значения, что обе части каждой из формул имеют смысл. Тогда справедливы формулы:
Производная многочлена
Производная многочлена равна сумме производных всех его членов.
Уравнение прямой
Если прямая не параллельна оси Oy, то ее уравнение может быть записано в виде Коэффициент k называют угловым коэффициентом прямой:
где
— величина угла между этой прямой и положительным направлением оси Ox,
Уравнение касательной
Уравнение касательной к графику функции в его точке
задается формулой
где
— угловой коэффициент касательной.
Монотонность и экстремумы функции
Пусть дан график производной функции, определенной во всех точках некоторого промежутка. Существование конечной производной означает дифференцируемость функции на этом промежутке, а значит, влечет существование и непрерывность самой функции на нем. Тогда для определения поведения функции по знаку ее производной можно использовать следующие утверждения.
Если производная функции положительна на некотором промежутке, то функция возрастает на нем.
Если производная функции отрицательна на некотором промежутке, то функция убывает на нем.
Если производная функции в некоторой точке меняет знак с плюса на минус, то функция имеет в этой точке максимум.
Если производная функции в некоторой точке меняет знак с минуса на плюс, то функция имеет в этой точке минимум.
Задания 15: планиметрия
Теоремы планиметрии
Треугольники
Треугольник — фигура, состоящая из трех точек, не лежащих на одной прямой, и трех отрезков, попарно соединяющих эти точки.
Равносторонний треугольник
Треугольник, все три стороны которого равны, называется правильным (равносторонним) треугольником.
Пусть a, h, S, R, r — соответственно длина стороны, высота, площадь, радиус описанной и радиус вписанной окружности правильного треугольника. Тогда имеют место следующие соотношения:
Равнобедренный треугольник
Треугольник называется равнобедренным, если две его стороны равны. Равные стороны называются боковыми сторонами, а третья сторона — основанием равнобедренного треугольника.
Высота, медиана и биссектриса равнобедренного треугольника, проведенные к его основанию, совпадают.
Углы при основании равнобедренного треугольника равны.
Высоты (медианы, биссектрисы), проведенные к боковым сторонам равнобедренного треугольника равны.
Прямоугольный треугольник
Если один из углов треугольника прямой, то треугольник называется прямоугольным. В прямоугольном треугольнике сторона, лежащая против прямого угла называется гипотенузой, а две другие стороны называются катетами этого треугольника.
Обозначим через c гипотенузу прямоугольного треугольника, через a и b его катеты, через hc — высоту, проведенную к гипотенузе. Тогда имеют место следующие соотношения:
Тригонометрические функции дополнительных углов
Тригонометрические функции дополнительных углов являются сходственными:
Основное тригонометрическое тождество и следствия из него
Смежные углы
Синусы смежных углов равны, а косинусы, тангенсы и котангенсы противоположны:
Средняя линия треугольника
Отрезок, соединяющий середины двух сторон треугольника называется средней линией треугольника. Средняя линия треугольника параллельна одной из сторон треугольника и равна ее половине. Три средние линии треугольника делят его на 4 равных треугольника.
Медиана треугольника
Отрезок, соединяющий вершину треугольника с серединой противоположной стороны, называется медианой треугольника. Медианы треугольника пересекаются в одной точке, и точка пересечения делит каждую из них в отношении 2 : 1, считая от вершины.
Биссектриса треугольника
Отрезок биссектрисы угла треугольника, соединяющий вершину треугольника с точкой противоположной стороны, называется биссектрисой треугольника. Биссектрисы треугольника пересекаются в одной точке (центре вписанной окружности). Биссектриса треугольника делит противоположную сторону на отрезки, пропорциональные прилежащим сторонам треугольника.
Высота треугольника
Перпендикуляр, опущенный из вершины треугольника, на прямую, содержащую противоположную сторону, называется высотой треугольника. Прямые, содержащие высоты треугольника, пересекаются в одной точке.
Серединный перпендикуляр
Серединные перпендикуляры к сторонам треугольника пересекаются в одной точке (центре описанной окружности).
Теорема косинусов
Квадрат стороны треугольника равен сумме квадратов двух других его сторон, уменьшенной на удвоенное произведение этих сторон на косинус угла между ними:
Теорема синусов
Отношение сторон треугольника к синусам противолежащих углов равны и равны двум радиусам описанной окружности: :
Четырехугольники
Параллелограмм
Параллелограммом называется четырехугольник, противоположные стороны которого попарно параллельны.
Две противоположные стороны четырехугольника равны и параллельны тогда и только тогда, когда этот четырехугольник — параллелограмм.
Противоположные стороны четырехугольника попарно равны тогда и только тогда, когда этот четырехугольник — параллелограмм.
Противоположные углы четырехугольника попарно равны тогда и только тогда, когда этот четырехугольник — параллелограмм.
Диагонали четырехугольника пересекаются и точкой пересечения делятся пополам тогда и только тогда, когда этот четырехугольник — параллелограмм.
Прямоугольник
Прямоугольником называется параллелограмм, у которого все углы прямые. Так как прямоугольник, по определению, является параллелограммом, то он обладает всеми свойствами параллелограмма. Кроме того, прямоугольник обладает следующим характеристическим свойством.
Диагонали параллелограмма равны тогда и только тогда, когда этот параллелограмм — прямоугольник.
Ромб
Ромбом называется параллелограмм, все стороны которого равны. Так как ромб, по определению, является параллелограммом, то он обладает всеми свойствами параллелограмма. Кроме того, ромб обладает следующими характеристическими свойствами.
Диагонали параллелограмма делят его углы пополам тогда и только тогда, когда этот параллелограмм — ромб.
Диагонали параллелограмма взаимно перпендикулярны тогда и только тогда, когда этот параллелограмм — ромб.
Трапеция
Трапецией называется четырехугольник, две стороны которого параллельны, а две другие не параллельны. Параллельные стороны трапеции называются ее основаниями, а две другие стороны — боковыми сторонами. Отрезок, соединяющий середины боковых сторон трапеции называется средней линией трапеции. Трапеция, боковые стороны которой равны, называется равнобедренной трапецией. Трапеция, один из углов которой прямой, равен называется прямоугольной трапецией. Средняя линия трапеции параллельна ее основаниям и равна их полусумме.
Отрезок, соединяющие середины диагоналей трапеции, равен полуразности большего и меньшего оснований.
Диагонали трапеции равны тогда и только тогда, когда эта трапеция равно-бедренная.
Углы при каждом основании трапеции равны тогда и только тогда, когда эта трапеция равнобедренная.
Сумма противолежащих углов в равнобедренной трапеции равна 180°.
В равнобедренной трапеции расстояние от вершины одного основания до проекции противоположной вершины на прямую, содержащую это основание, равно средней линии.
Теоремы о площадях многоугольников
Площадь треугольника равна половине произведения стороны на высоту, проведенную к этой стороне или к ее продолжению.
Площадь треугольника равна половине произведения сторон на синус угла между ними.
Площадь квадрата равна квадрату его стороны.
Площадь прямоугольника равна произведению его сторон.
Площадь параллелограмма равна произведению стороны на высоту, проведенную к этой стороне.
Площадь параллелограмма равна произведению сторон на синус угла между ними.
Площадь ромба равна половине произведения его диагоналей.
Площадь ромба равна произведению квадрата стороны на синус угла между сторонами.
Площадь трапеции равна произведению полусуммы оснований на высоту.
Площадь трапеции равна произведению средней линии на высоту.
Площади подобных многоугольников относятся как квадрат коэффициента подобия.
Окружность, круг и их элементы
Окружность
Множество точек плоскости, находящихся на данном расстоянии от данной точки, называется окружностью. Данная точка называется центром окружности, а данное расстояние — ее радиусом.
Вписанный угол
Угол, вершина которого лежит на окружности, а стороны пересекают окружность, называется вписанным углом. Справедливы следующие утверждения.
Вписанный угол измеряется половиной дуги, на которую он опирается.
Вписанный угол равен половине центрального угла, опирающегося на ту же дугу.
Вписанные углы, опирающиеся на одну и ту же дугу, равны.
Вписанный угол, опирающийся на полуокружность, — прямой.
Отношение хорды к синусу вписанного угла, который на нее опирается, равно двум радиусам (теорема синусов).
Круг
Часть плоскости, ограниченная окружностью, называется кругом. Любые два радиуса делят круг на две части, каждая из которых называется круговым сектором или просто сектором. Дуга, ограничивающая сектор, называется дугой сектора. Любая хорда делит круг на две части, каждая из которых называется круговым сегментом или просто сегментом.
Соотношения между элементами окружности и круга
Пусть r — радиус окружности, d — ее диаметр, C — длина окружности, S — площадь круга. Тогда имеют место следующие соотношения:
Вписанная окружность
Окружность называется вписанной в многоугольник, если все стороны многоугольника касаются этой окружности. Многоугольник в этом случае называется описанным около окружности.
Описанная окружность
Окружность называется описанной вокруг многоугольника, если все вершины многоугольника принадлежат этой окружности. Многоугольник в этом случае называется вписанным в окружность.
Задания 16: задачи по стереометрии
Особенности заданий по стереометрии
Задания этого вида представляют собой стереометрические задания на установление взаимосвязи между основными элементами многогранников и круглых тел, а также на использование формул для вычисления их площадей поверхностей и объемов. Вычислительной трудности задания не представляют; решение, как правило, сводится к использованию одной-двух формул. Соответствующие формулы приведены в справочных материалах, выдаваемых на экзамене.
Многогранники
Куб
Куб — правильный многогранник, каждая грань которого представляет собой квадрат. Куб является частный случаем параллелепипеда и призмы, поэтому для него выполнены все их свойства.
Кроме того, если а — длина ребра куба, — диагональ куба,
— площадь полной поверхности, а V — объем куба, то справедливы формулы:
Призма
Призмой (n-угольной призмой) называется многогранник, две грани которого — равные n-угольники, лежащие в параллельных плоскостях, а остальные n граней — параллелограммы.
Прямая призма
Прямой призмой называется призма, боковое ребро которой перпендикулярно плоскости основания. Высота прямой призмы равна ее боковому ребру, а все боковые грани прямой призмы — прямоугольники.
Правильной призмой называется прямая призма, основание которой — правильный многоугольник.
Соотношения для прямой призмы
Пусть H — высота прямой призмы, AA1 — боковое ребро, — периметр основания,
— площадь основания,
— площадь боковой поверхности,
— площадь полной поверхности, V — объем прямой призмы. Тогда имеют место следующие соотношения:
Пирамида
Пусть вне плоскости многоугольника задана точка P. Тогда фигура, образованная треугольниками
,
и многоугольником
вместе с их внутренними областями называется пирамидой (n-угольной пирамидой).
Пирамида называется правильной, если ее основание — правильный многоугольник, а основание ее высоты — центр этого многоугольника.
Соотношения для правильной пирамиды
Пусть H — высота правильной пирамиды, h — ее апофема, — периметр основания пирамиды,
— площадь основания,
— площадь боковой поверхности,
— площадь полной поверхности, V — объем правильной пирамиды. Тогда имеют место следующие соотношения:
Круглые тела
Цилиндр
Цилиндром называется фигура, полученная при вращении прямоугольника вокруг оси, содержащей его сторону.
Соотношения для цилиндра
Пусть h — высота цилиндра, r — радиус основания, Sбок — площадь боковой поверхности, Sполн — площадь полной поверхности, V — объем цилиндра. Тогда имеют место следующие соотношения:
Конус
Конусом называется фигура, полученная при вращении прямоугольного треугольника вокруг оси, содержащей его катет.
Соотношения для конуса
Пусть h — высота конуса, r — радиус основания, l — образующая, Sбок — площадь боковой поверхности, Sполн — площадь полной поверхности, V — объем конуса. Тогда имеют место следующие соотношения:
Сфера и шар
Шаром называется фигура, полученная при вращении полукруга вокруг оси, содержащей его диаметр. Сферой называется поверхность шара. Пусть R — радиус шара, S — площадь сферы, V — объем шара. Тогда имеют место следующие соотношения:
Задания 17: неравенства, числовые промежутки
Для решения этого типа заданий необходимо уметь находить приближенные значения иррациональных и трансцендентных числовых выражений, решать неравенства, сравнивать числа, изображать числа и числовые промежутки на числовой прямой.
Решение показательных неравенств
Пусть Тогда:
Пусть Тогда:
Решение логарифмических неравенств
Пусть Тогда:
Пусть Тогда:
Задания 18: анализ утверждений
Как следует из самого названия этих заданий, для них нет определенного алгоритма решения. Необходимо умение логически рассуждать, анализировать, сопоставлять. Эти умения даются практикой. Задачи, которые должны встретиться вам на экзамене среди заданий 18, по-дробно разобраны на портале Решу ЕГЭ.
Задания 19: числа и их свойства
Признаки делимости
— Число делится на 2, если его последняя цифра делится на 2.
— Число делится на 4, если последние две его цифры образуют число, делящееся на 4.
— В общем случае: число делится на тогда и только тогда, когда k его последних цифр образуют число, делящееся на
* Если и только если.
— Число делится на 3, если сумма его цифр дает число, делящееся на 3.
— Число делится на 9, если сумма его цифр дает число, делящееся на 9.
— Число делится на 6, если оно делится на 2 и на 3.
— Число делится на 5, если его последняя цифра 0 или 5.
— Число делится на 7, если знакопеременная сумма чисел, образованных тройками его цифр, взятыми с конца, делится на 7.
— Число делится на 11, если разность сумм цифр, стоящих на четных и нечетных местах в его записи, кратна 11.
— Число делится на 7, 11 или 13 тогда и только тогда, когда разность между числом, выраженным последними тремя цифрами, и числом, выраженным остальными цифрами, делится, соответственно, на 7, 11 или 13.
Вопрос 1. Является ли число 123321123321 квадратом какого-либо целого числа?
Ответ. Сумма цифр числа равна 24, следовательно, число кратно трем, но не кратно девяти. Значит, число не является точным квадратом.
Вопрос 2. Является ли число 12233212 квадратом какого-либо целого числа?
Ответ. Нет, не является, поскольку квадраты чисел не заканчиваются на 2, 3, 7, 8.
Задача. Какой цифрой заканчивается число
Решение. Число заканчивается той же цифрой, что и само число а, поэтому числа
заканчиваются на 2. Далее имеем:
последняя цифра произведения равна 6.
Другое решение. Выпишем первые степени двойки:
... Заметим, что последние цифры повторяются с периодом 4. Поскольку 329 = 4 · 98, цикл будет повторен 98 раз, поэтому последней цифрой будет 6.
Третье решение. Число 16 заканчивается на 6, а любая степень числа, заканчивающегося на 6, заканчивается на 6. Так как последняя цифра степени — 6.
Задача 2. Найти все натуральные числа, меньшие 100, которые при делении на 13 дают в остатке 12, а при делении на 5 дают в остатке 4.
Решение. Искомые числа записываются в виде где k — натуральное число, причем
Находим натуральные решения неравенства: 12, 25, 38, 51, 64, 77, 90. Поскольку при делении на 5 искомые числа дают в остатке 4, они заканчиваются на 4 или 9. Таким свойством обладает только одно из найденных чисел — число 64.
Задания 20: задания на смекалку
Как следует из самого названия этих заданий, для них нет определенного алгоритма решения. Необходимо умение логически рассуждать, способность построить соответствующую задачной фабуле математическую модель, исследовать эту модель и верно интерпретировать полученные результаты. Эти умения даются практикой. Задачи, которые должны встретиться вам на экзамене среди заданий 20, подробно разобраны на портале Решу ЕГЭ.
Профильный уровень
Задания 1: округление величин, проценты
Проверяемые элементы содержания и виды деятельности: владение понятием процент, умение решать текстовые задачи, составляя математическую модель предложенной в них ситуации, умение использовать приобретенные знания и умения в практической деятельности и в повседневной жизни.
Ориентировочное время выполнения учащимися: 5 минут.
Типы заданий:
• Округление
• Округление с избытком
• Округление с недостатком
• Проценты, округление
Особенности экзаменационных заданий на округление
Среди заданий этого типа наиболее часто встречаются задания двух видов.
— В заданиях вида «Сколько карандашей по цене 2 руб. можно купить на 5 рублей?» ответ 2 карандаша — округляем до ближайшего меньшего целого, так как половину карандаша купить невозможно.
— В заданиях вида «Сколько двухлитровых банок потребуется, чтобы в них поместилось 5 литров воды?» ответ 3 банки — округляем до ближайшего большего целого, так как вся вода должна поместиться.
Важно не путать эти два случая, округляя в ту или иную сторону.
Округление величин с избытком и недостатком
Округление — математическая операция, позволяющая уменьшить количество знаков в записи числа за счет замены числа его приближенным значением.
Округление производится в соответствии со следующими правилами:
— если первая из отбрасываемых цифр меньше 5, то последняя сохраняемая цифра не изменяется;
— если первая из отбрасываемых цифр равна 5 или больше 5, то последняя сохраняемая цифра увеличивается на единицу;
Округление следует выполнять сразу до желаемого количества значащих цифр, а не по этапам.
Например, округляя число 3,14159265 до трех, четырех и восьми знаков, получим соответственно: 3,14, 3,142, 3,1415927.
Примечание. Обычно в заданиях 1 округлять требуется до целого числа.
Проценты
Процент от числа — это сотая доля этого числа. Например, вычисляя 12% от 1 и 12% от 2000, получим соответственно:
Особенности экзаменационных заданий на проценты
Экзаменационные задачи на вычисление процентов сводятся к одному из трех случаев.
— В задания типа «Найти а% от b» требуется найти произведение
— В заданиях типа «Сколько процентов составляет а от b?» находим
— В заданиях типа «Найдите число x, если а% от него равны b» находим
Задания 2: анализ графических зависимостей
Проверяемые элементы содержания и виды деятельности: знание свойств функций, умение распознавать их графики и читать свойства функции по ее графику, умение использовать приобретенные знания и умения в практической деятельности и в повседневной жизни.
Ориентировочное время выполнения учащимися: 2—5 минут.
Типы заданий:
• Определение величины по диаграмме.
• Определение величины по графику.
• Вычисление величины по данным графика.
Анализ графических зависимостей
Для того чтобы найти по графику множество значений функции достаточно найти проекцию ее графика на ось ординат. Множество ординат всех точек проекции и есть область значений функции.
Для того, чтобы найти по графику наибольшее значение функции на некотором промежутке достаточно найти наибольшую ординату среди всех точек проекции соответствующей части графика на ось ординат.
Для того, чтобы найти по графику наименьшее значение функции на некотором промежутке достаточно найти наименьшую ординату среди всех точек проекции соответствующей части графика на ось ординат.
Примечание. Аналогичным образом рассуждают, если требуется определить значение величин по данным диаграммы.
Особенности экзаменационных заданий на чтение графиков и диаграмм
Многие задания этого типа предполагают анализ дискретных функций, графики которых являются точечными. В этом случае соединяющие точки отрезки проведены только для наглядности.
Например, если в условии сказано: «На рисунке жирными точками показана цена никеля в период с 6 по 20 мая, по горизонтали указаны числа месяца, по вертикали — цена тонны никеля» (см. рис. слева), то во избежание ошибок график следует представлять себе так, как показано на рисунке справа.
Задания 3 и 6: планиметрия
Треугольники
Треугольник — фигура, состоящая из трех точек, не лежащих на одной прямой, и трех отрезков, попарно соединяющих эти точки.
Равносторонний треугольник
Треугольник, все три стороны которого равны, называется правильным (равносторонним) треугольником.
Пусть a, h, S, R, r — соответственно длина стороны, высота, площадь, радиус описанной и радиус вписанной окружности правильного треугольника. Тогда имеют место следующие соотношения:
Равнобедренный треугольник
Треугольник называется равнобедренным, если две его стороны равны. Равные стороны называются боковыми сторонами, а третья сторона — основанием равнобедренного треугольника. Высота, медиана и биссектриса равнобедренного треугольника, проведенные к его основанию, совпадают. Углы при основании равнобедренного треугольника равны. Высоты (медианы, биссектрисы), проведенные к боковым сторонам равнобедренного треугольника равны.
Прямоугольный треугольник
Если один из углов треугольника прямой, то треугольник называется прямоугольным. В прямоугольном треугольнике сторона, лежащая против прямого угла называется гипотенузой, а две другие стороны называются катетами этого треугольника.
Обозначим через c гипотенузу AB прямоугольного треугольника ABC, через ac и bc — проекции катетов a и b на гипотенузу AB, а через hc — высоту, проведенную из вершины прямого угла C этого треугольника. Тогда имеют место следующие соотношения:
Тригонометрические функции дополнительных углов
Тригонометрические функции дополнительных углов являются сходственными:
Основное тригонометрическое тождество и следствия из него
Смежные углы
Синусы смежных углов равны, а косинусы, тангенсы и котангенсы противоположны:
Средняя линия треугольника
Отрезок, соединяющий середины двух сторон треугольника называется средней линией треугольника. Средняя линия треугольника параллельна одной из сторон треугольника и равна ее половине. Три средние линии треугольника делят его на 4 равных треугольника.
Медиана треугольника
Отрезок, соединяющий вершину треугольника с серединой противоположной стороны, называется медианой треугольника. Медианы треугольника пересекаются в одной точке, и точка пересечения делит каждую из них в отношении 2 : 1, считая от вершины.
Биссектриса треугольника
Отрезок биссектрисы угла треугольника, соединяющий вершину треугольника с точкой противоположной стороны, называется биссектрисой треугольника. Биссектрисы треугольника пересекаются в одной точке (центре вписанной окружности). Биссектриса треугольника делит противоположную сторону на отрезки, пропорциональные прилежащим сторонам треугольника.
Высота треугольника
Перпендикуляр, опущенный из вершины треугольника, на прямую, содержащую противоположную сторону, называется высотой треугольника. Прямые, содержащие высоты треугольника, пересекаются в одной точке.
Серединный перпендикуляр
Серединные перпендикуляры к сторонам треугольника пересекаются в одной точке (центре описанной окружности).
Теорема косинусов
Квадрат стороны треугольника равен сумме квадратов двух других его сторон, уменьшенной на удвоенное произведение этих сторон на косинус угла между ними :
Многоугольники
Параллелограмм
Параллелограммом называется четырехугольник, противоположные стороны которого попарно параллельны. Справедливы следующие утверждения.
— Две противоположные стороны четырехугольника равны и параллельны тогда и только тогда, когда этот четырехугольник — параллелограмм.
— Противоположные стороны четырехугольника попарно равны тогда и только тогда, когда этот четырехугольник — параллелограмм.
— Противоположные углы четырехугольника попарно равны тогда и только тогда, когда этот четырехугольник — параллелограмм.
— Диагонали четырехугольника пересекаются и точкой пересечения делятся пополам тогда и только тогда, когда этот четырехугольник — параллелограмм.
Прямоугольник
Прямоугольником называется параллелограмм, у которого все углы прямые. Так как прямоугольник, по определению, является параллелограммом, то он обладает всеми свойствами параллелограмма. Кроме того, прямоугольник обладает следующим характеристическим свойством.
Диагонали параллелограмма равны тогда и только тогда, когда этот параллелограмм — прямоугольник.
Ромб
Ромбом называется параллелограмм, все стороны которого равны. Так как ромб, по определению, является параллелограммом, то он обладает всеми свойствами параллелограмма. Кроме того, ромб обладает следующими характеристическими свойствами.
Диагонали параллелограмма делят его углы пополам тогда и только тогда, когда этот параллелограмм — ромб.
Диагонали параллелограмма взаимно перпендикулярны тогда и только тогда, когда этот параллелограмм — ромб.
Параллелограмм Вариньона
Середины сторон произвольного (в том числе невыпуклого или даже пространственного) четырехугольника являются вершинами параллелограмма — параллелограмма Вариньона.
Стороны этого параллелограмма параллельны соответствующим диагоналям четырехугольника.
Периметр параллелограмма Вариньона равен сумме длин диагоналей исходного четырехугольника, а площадь параллелограмма Вариньона равна половине площади исходного четырехугольника.
Если исходный параллелограмм — прямоугольник, то параллелограмм Вариньона — ромб. Если исходный параллелограмм — ромб, то параллелограмм Вариньона — прямоугольник. Если исходный параллелограмм — квадрат, то параллелограмм Вариньона — квадрат.
Трапеция
Трапецией называется четырехугольник, две стороны которого параллельны, а две другие не параллельны. Параллельные стороны трапеции называются ее основаниями, а две другие стороны — боковыми сторонами. Отрезок, соединяющий середины боковых сторон трапеции называется средней линией трапеции. Трапеция, боковые стороны которой равны, называется равнобедренной трапецией. Трапеция, один из углов которой прямой, равен называется прямоугольной трапецией. Трапеция обладает следующими свойствами.
— Средняя линия трапеции параллельна ее основаниям и равна их полусумме.
— Отрезок, соединяющие середины диагоналей трапеции, равен полуразности большего и меньшего оснований.
— Диагонали трапеции равны тогда и только тогда, когда эта трапеция равно-бедренная.
— Углы при каждом основании трапеции равны тогда и только тогда, когда эта трапеция равнобедренная.
— Сумма противолежащих углов в равнобедренной трапеции равна 180°.
— В равнобедренной трапеции расстояние от вершины одного основания до проекции противоположной вершины на прямую, содержащую это основание, равно средней линии.
Правильный шестиугольник
Правильным шестиугольником называется шестиугольник, у которого все стороны и углы равны. Правильный шестиугольник обладает следующими свойствами.
— Сторона правильного шестиугольника равна радиусу описанной вокруг него окружности.
— Большая диагональ правильного шестиугольника является диаметром описанной вокруг него окружности и равна двум его сторонам.
— Меньшая диагональ правильного шестиугольника в раз больше его стороны.
— Угол между сторонами правильного шестиугольника равен 120°.
— Меньшая диагональ правильного шестиугольника перпендикулярна его стороне.
— Треугольник, образованный стороной шестиугольника, его большей и меньшей диагоналями, прямоугольный, а его острые углы равны 30° и 60°.
Теоремы о площадях многоугольников
Для вычисления площадей многоугольников применяют следующие теоремы.
Площадь треугольника равна половине произведения стороны на высоту, проведенную к этой стороне или к ее продолжению.
Площадь треугольника равна половине произведения сторон на синус угла между ними.
Площадь квадрата равна квадрату его стороны.
Площадь прямоугольника равна произведению его сторон.
Площадь параллелограмма равна произведению стороны на высоту, проведенную к этой стороне.
Площадь параллелограмма равна произведению сторон на синус угла между ними.
Площадь ромба равна половине произведения его диагоналей.
Площадь ромба равна произведению квадрата стороны на синус угла между сторонами.
Площадь трапеции равна произведению полусуммы оснований на высоту.
Площадь трапеции равна произведению средней линии на высоту.
Площади подобных многоугольников относятся как квадрат коэффициента подобия.
Площадь многоугольника, вершины которого лежат в узлах решетки, равна где В — количество узлов внутри многоугольника, а Г — количество узлов на границе многоугольника.
Окружность,круг и их элементы
Вписанный угол
Угол, вершина которого лежит на окружности, а стороны пересекают окружность, называется вписанным углом.
Вписанный угол измеряется половиной дуги, на которую он опирается.
Вписанный угол равен половине центрального угла, опирающегося на ту же дугу.
Вписанные углы, опирающиеся на одну и ту же дугу, равны.
Вписанный угол, опирающийся на полуокружность, — прямой.
Отношение хорды к синусу вписанного угла, который на нее опирается, равно двум радиусам (теорема синусов).
Хорда
Отрезок, концы которого лежат на окружности, называется ее хордой.
Равные хорды стягивают равные дуги.
Углы, опирающиеся на одну и ту же хорду, либо равны, либо в сумме дают 180°.
Хорда, равная диаметру, из всех точек окружности видна под углом 90°.
Радиус окружности, перпендикулярный хорде, делит ее пополам.
Угол между двумя хордами равен полусумме высекаемых ими дуг:
Произведение отрезков, на которые делится хорда данной точкой, есть для данной окружности величина постоянная и равная разности квадратов радиуса окружности и расстояния от точки пересечения хорд до центра окружности:
Касательная к окружности
Прямая, имеющая с окружностью ровно одну общую точку, называется касательной к окружности. Справедливы следующие утверждения.
Отрезки касательных к окружности, проведенные из одной точки, равны.
Касательная к окружности перпендикулярна радиусу, проведенному в точку касания.
Угол между касательной и хордой, проходящей через точку касания, равен половине заключенной между ними дуги.
Угол между двумя касательными к окружности, проведенными из одной точки, равен полуразности большей и меньшей высекаемых ими дуг.
Секущая
Прямая, имеющая с окружностью две общие точки, называется секущей.
Угол между касательной и секущей, проведенными из одной точки, равен полуразности большей и меньшей высекаемых ими дуг:
Пусть через данную точку, лежащую вне окружности, проведены секущая и касательная к этой окружности. Тогда произведение расстояний от данной точки до точек пересечения секущей с окружностью равно квадрату отрезка касательной с концами в данной точке и в точке касания:
Угол между секущими, проведенными из одной точки, равен полуразности большей и меньшей высекаемых ими дуг:
Если через некоторую точку, лежащую вне окружности, проведена секущая этой окружности, то произведение расстояний от данной точки до точек пересечения секущей с окружностью есть величина постоянная, равная разности квадрата расстояния от центра окружности до данной точки и квадрата радиуса этой окружности:
Круг и его элементы
Часть плоскости, ограниченная окружностью, называется кругом. Центр, радиус и диаметр окружности, ограничивающей круг, называются также центром, радиусом и диаметром круга. Любые два радиуса делят круг на две части, каждая из которых называется круговым сектором или просто сектором. Дуга, ограничивающая сектор, называется дугой сектора. Любая хорда делит круг на две части, каждая из которых называется круговым сегментом или просто сегментом.
Соотношения между элементами окружности и круга
Пусть r — радиус окружности, d — ее диаметр, C — длина окружности, S — площадь круга, — длина дуги в n градусов,
— длина дуги в
радиан,
— площадь сектора, ограниченного дугой в n градусов,
— площадь сектора, ограниченного дугой в
радиан. Тогда имеют место следующие соотношения:
Вписанная окружность
Окружность называется вписанной в многоугольник, если все стороны многоугольника касаются этой окружности. Многоугольник в этом случае называется описанным около окружности.
Центр окружности, вписанной в многоугольник, есть точка, равноудаленная от всех сторон этого многоугольника, — точка пересечения биссектрис углов этого многоугольника. В многоугольник можно вписать окружность и притом только одну, тогда и только тогда, когда биссектрисы его углов пересекаются в одной точке.
В любой треугольник можно вписать окружность.
В правильный многоугольник можно вписать окружность.
В четырехугольник можно вписать окружность тогда и только тогда, когда суммы длин его противоположных сторон равны.
Если окружность радиуса r вписана в многоугольник, площадь которого равна S, а полупериметр равен p, то имеет место соотношение площадь описанного многоугольника равна произведению полупериметра на радиус вписанной окружности.
Если окружность вписана в правильный треугольник, то ее радиус r выражается через его сторону a по формуле
Если окружность радиуса r вписана в прямоугольный треугольник с катетами а и b и гипотенузой с, то
Если окружность вписана в квадрат, то ее радиус равен половине стороны квадрата.
Описанная окружность
Окружность называется описанной вокруг многоугольника, если все вершины многоугольника принадлежат этой окружности. Многоугольник в этом случае называется вписанным в окружность.
Центр окружности, описанной вокруг многоугольника, есть точка, равноудаленная от всех вершин этого многоугольника, — точка пересечения серединных перпендикуляров к сторонам этого многоугольника. Около многоугольника можно описать окружность и притом только одну, тогда и только тогда, когда серединные перпендикуляры к сторонам этого многоугольника пересекаются в одной точке.
Около любого треугольника можно описать окружность. Радиус описанной окружности равен отношению половины стороны к синусу противолежащего угла:
Около правильного многоугольника можно описать окружность.
Около четырехугольника можно описать окружность тогда и только тогда, когда суммы его противоположных углов равны
Около трапеции можно описать окружность тогда и только тогда, когда эта трапеция равнобедренная.
Задания 4: вероятности событий
Проверяемые элементы содержания и виды деятельности: владение понятием вероятность, умение решать текстовые задачи, составляя математическую модель предложенной в них ситуации, умение использовать приобретенные знания и умения в практической деятельности и в повседневной жизни.
Ориентировочное время выполнения учащимися: 5—10 минут.
Определение вероятности
Вероятность — это числовая характеристика возможности наступления какого-либо события. Вероятностью события А называется отношение числа m случаев, благоприятствующих его наступлению, к числу n всех возможных случаев. Обозначение:
Если событие наступить не может, оно называется невозможным. Вероятность невозможного события равна 0. Если событие непременно наступает, оно называется достоверным. Вероятность достоверного события равна 1. Вероятность события — число из отрезка [0; 1].
Произведением событий А и В называется событие С = AB, состоящее в том, что в результате испытания произошло и событие А, и событие В, то есть оба события произошли.
Суммой событий А и В называется событие С = А + В, состоящее в наступлении, по крайней мере, одного из них, то есть в наступлении события А, или события В, или обоих этих событий вместе.
Два события называются независимыми, если вероятность появления каждого из них не зависит от того, появилось другое событие или нет. В противном случае события называются зависимыми.
Два события называются совместными, если появление одного из них не исключает появление другого в одном и том же испытании. В противном случае события называются несовместными.
Два события называются противоположными, если в данном испытании они несовместны и одно из них обязательно происходит. Вероятности противоположных событий в сумме дают 1.
Теоремы о вероятностях событий
Теорема. Вероятность произведения двух независимых событий A и B равна произведению этих вероятностей:
Теорема. Вероятность суммы двух несовместных событий A и B равна сумме вероятностей этих событий:
Теорема. Вероятность суммы двух совместных событий A и B равна сумме вероятностей этих событий минус вероятность их произведения:
Пусть А и В — зависимые события. Условной вероятностью PA(B) события В называется вероятность события В, найденная в предположении, что событие А уже наступило.
Теорема. Вероятность произведения двух зависимых событий A и B равна произведению вероятности одного из них на условную вероятность другого, найденного в предположении, что первое событие уже наступило:
Особенности экзаменационных заданий на начала теории вероятности
Большая часть заданий этого типа сводятся к использованию формулы Напомним, что ответом к задачам с кратким ответом могут быть только целые числа или конечные десятичные дроби, поэтому полученную обыкновенную дробь необходимо переводить в десятичную.
Во избежание ошибок следует различать два типа условий. В условиях вида «из 100 сумок 8 дефектных» имеется в виду, что всего сумок 100, из них дефектных — 8, качественных — 92. В условиях вида «на каждые 100 сумок приходится 8 дефектных» предполагается, что всего сумок 108, из них дефектных — 8, качественных — 100. Приведем пример такого задания.
Задание. Фабрика выпускает сумки. В среднем на 100 качественных сумок приходится восемь сумок со скрытыми дефектами. Найдите вероятность того, что купленная сумка окажется качественной. Результат округлите до сотых.
Решение. По условию из 108 сумок 100 являются качественными. Поэтому искомая вероятность равна
Ответ: 0,93.
При решении заданий с использованием теорем о вероятностях событий важно хорошо знать вышеприведённые определения и теоремы и не путаться в них. Вычислительной сложности задания, как правило, не представляют.
Задания 5: простейшие уравнения
Проверяемые элементы содержания и виды деятельности: владение понятием степени с рациональным показателем, умение выполнять тождественные преобразования и находить значение выражений, содержащих степени с рациональным показателем; владение понятием арифметический корень, знание свойств арифметических корней, умение выполнять тождественные преобразования с арифметическими корнями и находить их значения; владение понятием логарифм, знание основных свойств логарифмов, умение выполнять тождественные преобразования логарифмических выражений. Владение понятием уравнение, область определения уравнения, знание основных типов простейших уравнений, умение решать уравнения.
Ориентировочное время выполнения учащимися: 5—10 минут.
Типы заданий:
• Преобразования степенных выражений.
• Преобразования иррациональных выражений.
• Преобразования логарифмических выражений.
• Иррациональные уравнения.
• Показательные уравнения.
• Логарифмические уравнения.
Линейные уравнения
Уравнение где x — неизвестное, a и b — любые действительные числа, называется линейным уравнением относительно x. Если
оно имеет единственное решение тогда
Если
его решением является любое действительное число. Если
то линейное уравнение не имеет решений.
Квадратные уравнения
Уравнение где x — неизвестное,
b и c — любые действительные числа, называется квадратным уравнением относительно x. Выражение
называется дискриминантом уравнения
В зависимости от значения дискриминанта квадратное уравнение на множестве действительных чисел может иметь два корня, один корень или не иметь корней. Если
уравнение имеет два корня
если
— один корень
если
корней нет.
Рациональные уравнения
Уравнения, в которых и левая, и правая части являются рациональными выражениями, называются рациональными уравнениями. При решении рациональных уравнений, содержащих переменную в знаменателе, необходимо учитывать, что знаменатель не может обращаться в нуль. Многие учащиеся допускают ошибки при решении уравнений вида
Иррациональные уравнения
Иррациональные уравнения, включенные в задания ЕГЭ, являются уравнениями одного из трех типов: «корень нечетной степени равен числу», «корень четной степени равен числу» и «квадратный корень равен линейному выражению». Сформулируем теорему для решения уравнений указанных типов.
Теорема.
Пусть m — нечетное натуральное число, n — четное натуральное число, а — любое число,
Тогда:
Иными словами, обе части уравнений указанного вида возводят в степень так, чтобы избавиться от знака корня. Причем возведение в нечетную степень является равносильным преобразованием при любых значениях правой части, а возведение в четную степень является равносильным преобразованием только в случае неотрицательности правой части уравнения.
Показательные уравнения
Показательные уравнения, включенные в задания ЕГЭ, приводятся к одному из двух типов: или
Сформулируем теорему для решения уравнений указанных типов.
Решение простейших показательных уравнений. Пусть Тогда:
Логарифмические уравнения
Логарифмические уравнения, включенные в задания ЕГЭ, приводятся к одному из трех типов:
Для этого могут понадобиться формулы свойств логарифмов:
Сформулируем теорему для решения уравнений указанных типов.
Решение простейших логарифмических уравнений. Пусть Тогда:
Особенности решения экзаменационных заданий на простейшие уравнения
При решении многих задач ЕГЭ необходимо установить связь между различными основаниями степени, поэтому будет полезно знать некоторые степени чисел в пределах 1000:
Задания 7: производные, первообразные
Проверяемые элементы содержания и виды деятельности: владение понятием производная, умение вычислять производную многочлена; понимание взаимосвязи между графиком функции и графиком ее производной, умение читать график функции. Владение понятием первообразная, умение находить площади криволинейных трапеций.
Ориентировочное время выполнения учащимися: 5—10 минут.
Типы заданий:
• Производная и касательная, геометрический смысл производной.
• Физический смысл производной.
• Применение производной к исследованию функций по данным графика.
• Первообразная. Площади криволинейных трапеций.
Правила дифференцирования
Пусть функции f и g определены и дифференцируемы на некотором множестве I, и
— любые действительные числа. Тогда на множестве I справедливы соотношения:
Производная числа, линейной и степенной функции
Производная числа, линейной и степенной функции. Пусть k и n — любые числа, а x принимает такие значения, что обе части каждой из формул имеют смысл. Тогда справедливы формулы:
В частности:
Производная многочлена
Производная многочлена равна сумме производных всех его членов.
Уравнение прямой
Если прямая не параллельна оси Oy, то ее уравнение может быть записано в виде Коэффициент k называют угловым коэффициентом прямой:
где
— величина угла между этой прямой и положительным направлением оси Ox,
Уравнение касательной
Уравнение касательной к графику функции в его точке
задается формулой
где
— угловой коэффициент касательной.
Физический смысл производной
Пусть материальная точка движется по прямой так, что ее координата зависит от времени по закону Тогда скорость материальной точки меняется по закону
, а ее ускорение меняется по закону
Монотонность и экстремумы функции
Пусть дан график производной функции, определенной во всех точках некоторого промежутка. Существование конечной производной означает дифференцируемость функции на этом промежутке, а значит, влечет существование и непрерывность самой функции на нем. Тогда для определения поведения функции по знаку ее производной можно использовать следующие утверждения.
Если производная функции положительна на некотором промежутке, то функция возрастает на нем.
Если производная функции отрицательна на некотором промежутке, то функция убывает на нем.
Если производная функции в некоторой точке меняет знак с плюса на минус, то функция имеет в этой точке максимум.
Если производная функции в некоторой точке меняет знак с минуса на плюс, то функция имеет в этой точке минимум.
Первообразная
Функция называется первообразной функции
на некотором промежутке, если для всех x из этого промежутка
Приведем таблицу первообразных некоторых функций (в ней k, n, C — постоянные, x — переменная):
Справедливы следующие утверждения.
— Если — первообразная
а
— первообразная
то
— первообразная
— Если есть первообразная для
а k — постоянная, то
есть первообразная для
— Первообразная многочлена равна сумме первообразных всех его членов.
Криволинейная трапеция и ее площадь
Пусть на отрезке задана непрерывная неотрицательная функция
Криволинейной трапецией называется фигура, ограниченная графиком этой функции, осью абсцисс и прямыми
и
Если при этом функция является первообразной функции
на отрезке
то площадь криволинейной трапеции вычисляется по формуле
Эта разность первообразных обозначается также
Задания 8: стереометрия
Проверяемые элементы содержания и виды деятельности: владение понятиями о стереометрических фигурах; знание их свойств; знание формул для вычисления площадей поверхностей и объемов тел; умение применять эти знания при решении задач.
Ориентировочное время выполнения учащимися: 10—15 минут.
Типы заданий:
• Элементы, площадь поверхности, объем стереометрических фигур.
Особенности экзаменационных заданий по стереометрии
Задания этого вида представляют собой стереометрические задания на установление взаимосвязи между основными элементами многогранников и круглых тел, а также на использование формул для вычисления их площадей поверхностей и объемов. Вычислительной трудности задания не представляют; решение, как правило, сводится к использованию одной-двух формул. Соответствующие формулы нужно знать наизусть.
Куб
Куб — правильный многогранник, каждая грань которого представляет собой квадрат. Куб является частный случаем параллелепипеда и призмы, поэтому для него выполнены все их свойства. Кроме того, если а — длина ребра куба, — диагональ основания,
— диагональ куба,
— площадь полной поверхности, а V — объем куба, то справедливы формулы:
Призма. Прямоугольный параллелепипед
Призмой (n-угольной призмой) называется многогранник, две грани которого — равные n-угольники, лежащие в параллельных плоскостях, а остальные n граней — параллелограммы.
Правильной призмой называется прямая призма, основание которой — правильный многоугольник.
Прямая призма
Прямой призмой называется призма, боковое ребро которой перпендикулярно плоскости основания. Высота прямой призмы равна ее боковому ребру, а все боковые грани прямой призмы — прямоугольники.
Соотношения для прямой призмы
Пусть H — высота прямой призмы, AA1 — боковое ребро, — периметр основания,
— площадь основания,
— площадь боковой поверхности,
— площадь полной поверхности, V — объем прямой призмы. Тогда имеют место следующие соотношения:
Особенности правильной шестиугольной призмы
В основании правильной шестиугольной призмы лежит правильный шестиугольник. Напомним его свойства.
— Сторона правильного шестиугольника равна радиусу описанной вокруг него окружности.
— Большая диагональ правильного шестиугольника является диаметром описанной вокруг него окружности и равна двум его сторонам.
— Меньшая диагональ правильного шестиугольника в раз больше его стороны.
— Угол между сторонами правильного шестиугольника равен 120°.
— Меньшая диагональ правильного шестиугольника перпендикулярна его стороне.
— Треугольник, образованный стороной шестиугольника, его большей и меньшей диагоналями, прямоугольный, а его острые углы равны 30° и 60°.
Пирамида
Пусть вне плоскости многоугольника задана точка P. Тогда фигура, образованная треугольниками
,
и многоугольником
вместе с их внутренними областями называется пирамидой (n-угольной пирамидой).
Пирамида называется правильной, если ее основание — правильный многоугольник, а основание ее высоты — центр этого многоугольника.
Соотношения для правильной пирамиды
Пусть H — высота правильной пирамиды, h — ее апофема, — периметр основания пирамиды,
— площадь основания,
— площадь боковой поверхности,
— площадь полной поверхности, V — объем правильной пирамиды. Тогда имеют место следующие соотношения:
Сечения
Секущей плоскостью многогранника называется любая плоскость, по обе стороны от которой имеются точки данного многогранника. Секущая плоскость пересекает грани многогранника по отрезкам. Многоугольник, сторонами которого являются эти отрезки, называется сечением многогранника.
Тетраэдр имеет четыре грани, поэтому его сечениями могут быть только треугольники и четырехугольники (рис. 1). Параллелепипед имеет шесть граней. Его сечениями могут быть треугольники, четырехугольники, пятиугольники и шестиугольники (рис. 2).
Теоремы, используемые при построении сечений
Теорема 1. Если две параллельные плоскости пересечены третьей, то линии их пересечения параллельны. Поэтому секущая плоскость пересекает плоскости параллельных граней по параллельным прямым.
Теорема 2. Если плоскость проходит через данную прямую, параллельную другой плоскости, и пересекает эту плоскость, то линия пересечения плоскостей параллельна данной прямой.
Теорема 3. Если прямая l параллельна какой либо прямой m, проведённой в плоскости то она параллельна и самой плоскости
Теорема 4. Если прямая, лежащая в плоскости сечения, не параллельна плоскости некоторой грани, то она пересекается со своей проекцией на эту грань.
Алгоритм построения сечений
Для построения сечений рекомендуем пользоваться следующим алгоритмом.
1. Если две точки секущей плоскости лежат в плоскости одной грани, то проводим через них прямую. Часть прямой, лежащая в плоскости грани — сторона сечения.
2. Если прямая a является общей прямой секущей плоскости и плоскости какой-либо грани, то находим точки пересечения прямой a с прямыми, содержащими ребра этой грани. Полученные точки — новые точки секущей плоскости, лежащие в плоскостях граней.
3. Если никакие две из данных точек не лежат в плоскости одной грани, то строим вспомогательное сечение, содержащее любые две данные точки, а затем выполняем шаги 1, 2.
Для контроля правильности построенного сечения, проверяйте, что:
— все вершины сечения лежат на рёбрах многогранника;
— все стороны сечения лежат в гранях многогранника;
— в каждой грани многогранника лежит не более одной стороны сечения.
Цилиндр
Цилиндром называется фигура, полученная при вращении прямоугольника вокруг оси, содержащей его сторону.
Соотношения для цилиндра
Пусть h — высота цилиндра, r — радиус основания, Sбок — площадь боковой поверхности, Sполн — площадь полной поверхности, V — объем цилиндра. Тогда имеют место следующие соотношения:
Конус
Конусом называется фигура, полученная при вращении прямоугольного треугольника вокруг оси, содержащей его катет.
Соотношения для конуса
Пусть h — высота конуса, r — радиус основания, l — образующая, Sбок — площадь боковой поверхности, Sполн — площадь полной поверхности, V — объем конуса. Тогда имеют место следующие соотношения:
Сфера и шар
Шаром называется фигура, полученная при вращении полукруга вокруг оси, содержащей его диаметр. Сферой называется поверхность шара. Пусть R — радиус шара, S — площадь сферы, V — объем шара. Тогда имеют место следующие соотношения:
Комбинации круглых тел. Вписанные сферы
Сфера называется вписанной в цилиндр, если она касается обоих оснований цилиндра и каждой его образующей.
Сфера называется вписанной в конус, если она касается основания конуса и каждой его образующей.
Сфера называется вписанной в усечённый конус, если она касается обоих оснований конуса и всех его образующих.
Теорема 1: В прямой круговой цилиндр можно вписать сферу тогда и только тогда, когда его высота равна диаметру основания. Причём центр сферы есть середина оси цилиндра.
Теорема 2: В любой прямой круговой конус можно вписать сферу. Причём центр сферы есть точка пересечения оси конуса с биссектрисой угла наклона образующей конуса к плоскости его основания.
Теорема 3. В усечённый конус можно вписать сферу тогда и только тогда, когда он прямой круговой, и длина его образующей равна сумме длин радиусов оснований. Причём центр сферы есть середина оси усечённого конуса.
Комбинации круглых тел. Описанные сферы
Сфера называется описанной около цилиндра, если окружности его оснований лежат на сфере.
Сфера называется описанной около конуса, если вершина конуса и его основание лежат на сфере.
Теорема 1: около цилиндра можно описать сферу тогда и только тогда, когда он прямой круговой. Причём центр сферы есть середина оси цилиндра.
Теорема 2: около конуса можно описать сферу тогда и только тогда, когда он круговой. Причём центр сферы есть точка пересечения прямой, перпендикулярной к плоскости основания и проходящей через центр его, и плоскости, перпендикулярной какой-либо его образующей конуса и проходящей середину этой образующей.
Следствие: сферу можно описать около любого прямого кругового конуса. В этом случае, центр сферы — точка пересечения прямой, содержащей высоту конуса с плоскостью, перпендикулярной какой-либо из его образующих и проходящей через ее середину.
Комбинации конуса и цилиндра
Цилиндр называется вписанным в конус, если одно его основание лежит на основании конуса, а второе совпадает с сечением конуса плоскостью, параллельной основанию. Конус в этом случае называется описанным вокруг цилиндра.
Цилиндр называется описанным вокруг конуса, если центр одного из оснований цилиндра является вершиной вершина конуса, а противоположное основание цилиндра совпадает с основанием конуса. Конус в этом случае называется вписанным в цилиндр.
Комбинации многогранников и круглых тел. Описанные сферы
Сфера называется описанной около многогранника, если все его вершины лежат на этой сфере. Многогранник называется в этом случае вписанным в сферу.
Возможность описать сферу около многогранника означает существование точки (центра сферы), равноудалённой ото всех вершин многогранника.
Теорема 1: если из центра описанной около многогранника сферы опустить перпендикуляр на какое-либо из его рёбер, то основание этого перпендикуляра разделит ребро на две равные части.
Теорема 2: если из центра описанной около многогранника сферы опустить перпендикуляр на какую-либо из его граней, то основание этого перпендикуляра попадёт в центр круга, описанного около соответствующей грани.
Теорема 3: если около многогранника описана сфера, то её центр лежит на пересечении перпендикуляров к каждой грани пирамиды, проведённых через центр окружности, описанной около соответствующей грани.
Теорема 4: если около многогранника описана сфера, то её центр является точкой пересечений всех плоскостей, проведённых через середины рёбер пирамиды перпендикулярно к этим рёбрам.
Комбинации многогранников и круглых тел. Вписанные сферы
Сфера называется вписанной в многогранник, если все его грани касаются этой сферы. Многогранник называется в этом случае описанным около сферы.
Теорема: если в многогранник с площадью поверхности S и объёмом V вписан шар радиуса r, то справедливо соотношение:
Комбинации конуса, цилиндра и многогранников
В условиях задач встречаются также следующие понятия, не входящие в школьные учебники, которые уточняются непосредственно в условиях задач. Приведем наиболее употребительные из них.
Цилиндр вписан в призму: основания цилиндра вписаны в основания призмы.
Цилиндр описан вокруг призмы: основания цилиндра описаны вокруг оснований призмы.
Цилиндр вписан в пирамиду: одно из основание цилиндра вписано в сечение пирамиды плоскостью, параллельной основанию, а другое основание цилиндра принадлежит основанию пирамиды.
Цилиндр описан вокруг пирамиды: вершина пирамиды принадлежит одному из оснований цилиндра, а другое его основание описано вокруг основания пирамиды.
Конус вписан в призму: основание конуса вписано в основание призмы, а вершина конуса принадлежит противоположному основанию призмы.
Конус описан вокруг призмы: одно из оснований призмы вписано в сечение пирамиды плоскостью, параллельной основанию, а другое основание призмы вписано в основание конуса.
Конус вписан в пирамиду: их вершины совпадают, а основание конуса вписано в основание пирамиды. Вписать конус в пирамиду можно только тогда, когда апофемы пирамиды равны между собой.
Конус описан вокруг пирамиды: их вершины совпадают, а основание конуса описано вокруг основания пирамиды.
Задания 9: тождественные преобразования выражений
Проверяемые элементы содержания и виды деятельности: владение понятием степени с рациональным показателем, умение выполнять тождественные преобразования и находить значение выражений, содержащих степени с рациональным показателем; владение понятием арифметический корень, знание свойств арифметических корней, умение выполнять тождественные преобразования с арифметическими корнями и находить их значения; владение понятием логарифм, знание основных свойств логарифмов, умение выполнять тождественные преобразования логарифмических выражений; знание основных соотношений между тригонометрическими функциями одного и того же аргумента, формул сложения, формул приведения, формул двойного аргумента, знание табличных значений тригонометрических функций, умение применять указанные знания при вычислениях и тождественных преобразованиях тригонометрических выражений.
Ориентировочное время выполнения учащимися: 5—10 минут.
Типы заданий:
• Преобразования рациональных выражений.
• Преобразования иррациональных выражений.
• Преобразования логарифмических выражений.
• Преобразования тригонометрических выражений.
Действия с дробями
Сложение и вычитание дробей. Чтобы сложить дроби с одинаковыми знаменателями, надо сложить их числители, а знаменатель оставить без изменений. Чтобы вычесть две дроби с одинаковыми знаменателями, надо из числителя первой дроби вычесть числитель второй дроби, а знаменатель оставить без изменений. Чтобы сложить или вычесть две дроби с разными знаменателями, необходимо сначала привести дроби к общему знаменателю.
Умножение дробей. Чтобы умножить две дроби, надо перемножить их числители, перемножить их знаменатели, и разделить первое произведение на второе.
Деление дробей. Чтобы разделить дробь на дробь, надо умножить первую дробь на дробь, обратную второй.
Возведение дроби в степень. Чтобы возвести дробь в степень, надо возвести в эту степень числитель и знаменатель, и разделить степень числителя на степень знаменателя.
Формулы сокращенного умножения
Степень и её свойства
Пусть дано положительное число а и произвольное действительное число n. Число an называется степенью, число а — основанием степени, число n — показателем степени.
Напомним, что по определению полагают:
Свойства степени
Если a и b — положительные числа, x и y — любые действительные числа, то справедливы следующие свойства:
Степень с дробным показателем
Если a — положительное число, m — целое число, а n — натуральное число и то
В частности, например,
Арифметический корень
Пусть n — натуральное число, отличное от единицы, а — неотрицательное число. Арифметическим корнем n-й степени из неотрицательного числа а называется неотрицательное число, n-я степень которого равна а.
Для арифметического корня n-й степени из неотрицательного числа а используется обозначение Если n = 2, пишут
По определению
Для любых, в том числе отрицательных, значений а справедлива формула в частности,
и
Свойства арифметического корня
Если a и b — неотрицательные числа, n и k — натуральные числа, отличные от единицы, m —целое число, то имеют место следующие соотношения:
Определение логарифма и его свойства
Логарифмом положительного числа b по основанию а называют показатель степени, в которую нужно возвести число а, чтобы получить число b. Для логарифма положительного числа b по основанию а
используется обозначение
По определению это равенство называется основным логарифмическим тождеством.
Частные случаи:
Логарифм положительного числа b по основанию 10 называется десятичным логарифмом и обозначается
Логарифм положительного числа b по основанию е называется натуральным логарифмом и обозначается
Свойства логарифмов
Если
— любое действительное число, то справедливы следующие свойства:
Основные тригонометрические формулы
Правило для запоминания формул приведения
Чтобы записать формулу приведения для аргументов
необходимо:
1) определить четверть, в которой лежит аргумент приводимой функции, предполагая острым углом;
2) определить знак приводимой функции в этой четверти;
3) определить вид функции, не изменяя ее для аргументов и изменив на сходственную для остальных аргументов.
А именно:
Свойства четности и нечетности функций
Свойства четности и нечетности функций
Задания 10: задачи с прикладным содержанием
Проверяемые элементы содержания и виды деятельности: умение решать текстовые задачи, выделять математическую модель предложенной в них ситуации, умение решать простейшие линейные, квадратные, степенные, рациональные, иррациональные, показательные, логарифмические, тригонометрические уравнения и неравенства; умение интерпретировать результат.
Ориентировочное время выполнения учащимися: 5—10 минут.
Типы заданий:
• Задачи, приводящие к линейным уравнениям и неравенствам.
• Задачи, приводящие к квадратным или степенным уравнениям и неравенствам.
Задачи с прикладным содержанием
Любая из задач указанного типа может быть сведена либо к уравнению, либо к неравенству. Выбор того или иного пути решения чаще всего будет обусловлен личными предпочтениями решающего. Из общих соображений можно сказать, что решать уравнение, как правило, проще, чем неравенство, но интерпретация полученного решения иногда может быть затруднительна. В учебных целях мы предлагаем решать задачи двумя способами, вне зависимости от того, какой именно более эффективен в данной конкретной задаче.
Задания с прикладным содержанием представляют собой задачи на анализ явления, описываемого формулой функциональной зависимости. Каждая из фабул представляет собой описание того или иного явления с указанием формулы, которой оно описывается, параметров и констант в этой формуле и необходимых единиц измерения. В задачах с физическим содержанием все единицы измерения приведены в единой используемой в задаче системе единиц (СИ или СГС), перевод единиц измерения из одной системы в другую не требуется.
Решение предложенных задач условно можно разделить на несколько шагов: а) анализ условия и вычленение формулы, описывающей заданную ситуацию, а также значений параметров, констант или начальных условий, которые необходимо подставить в эту формулу; б) математическая интерпретация вопроса задачи — сведение ее к уравнению или неравенству и его решение; в) анализ полученного решения. Следует обратить особое внимание на интерпретацию результатов вычислений.
Задания 11: текстовые задачи
Проверяемые элементы содержания и виды деятельности: владение понятиями процент, доля, скорость, расстояние, равномерное движение, производительность, объем работы; умение решать текстовые задачи, составляя математическую модель предложенной в ней ситуации.
Ориентировочное время выполнения учащимися: 10—15 минут.
Типы заданий:
• Задачи на проценты, концентрацию, сплавы и смеси.
• Задачи на совместную работу.
• Задачи на движение по суше.
• Задачи на движение по окружности.
Определение процента
Процент от числа — это сотая доля этого числа. Задача найти p% от а, эквивалентна задаче вычислить произведение или
Например, вычисляя 6% от 150, получаем:
Справедливы следующие утверждения.
— Если некоторое число а увеличить на p%, то получим
— Если некоторое число а уменьшить на p%, то получим
— Если некоторое число а увеличить на а полученный результат уменьшить на
то оно получим
— Положенная в банк под p% годовых начальная сумма через n лет с учетом процентов достигнет величины
Правило креста для решения задач на смеси
Если смешивать некоторое массу a-процентного раствора некоторого вещества с некоторой массой b-процентного раствора этого же вещества, то чтобы получить x-процентную смесь, то исходные вещества надо брать в соотношении
к
(см. табл.):
| a | ||
| x | ||
| b |
Движение по прямой
Пусть скорости двух тел, начинающих движение одновременно, путь и
расстояние между ними S. Тогда:
— при движении навстречу друг другу они встретятся через время
— при движении в одну сторону и при первое тело догонит второе через время
— при движении в противоположные стороны тела через время t будут находиться друг от друга на расстоянии
— Если тело движется по течению реки, то его скорость относительно берега w есть сумма скорости тела в стоячей воде v и скорости течения реки u:
при движении против течения
Для извлечения корня из дискриминантов полезна таблица квадратов:
Большинство экзаменационных задач на движение могут быть решены при помощи следующего алгоритма:
— обозначаем неизвестную величину буквой x, выясняем область ее определения;
— составляем таблицу со столбцами «Скорость», «Время», «Расстояние»;
— заполняем два столбца таблицы, вписывая в них x и данные задачи;
— заполняем оставшийся «ключевой» столбец по формулам
— составляем уравнение на данные ключевого столбца таблицы;
— решаем полученное уравнение на области определения x, и находим неизвестную.
Движение по окружности
Пусть скорости двух тел, начинающих движение одновременно, суть и
тогда:
— при движении в одном направлении по замкнутой траектории длины S при условии тела, отправившиеся из одной точки, снова встретятся через время
— при встречном движении по замкнутой траектории длины S тела, отправившиеся из одной точки, снова встретятся через время
Алгоритм решения задач на совместную работу
Большинство экзаменационных задач на совместную работу могут быть решены при помощи следующего алгоритма:
— обозначаем неизвестную величину буквой x, выясняем область ее определения;
— составляем таблицу со столбцами «Производительность», «Время», «Объем работы»;
— заполняем два столбца таблицы, вписывая в них x и данные задачи; если объем работы не задан принимаем его за 1;
— заполняем оставшийся «ключевой» столбец по формулам или
или
связывающим объем работы V, производительность v и время t.
— составляем уравнение на данные ключевого столбца таблицы;
— решаем полученное уравнение на области определения x, и находим неизвестную.
Задания 12: исследование функций при помощи производной
Проверяемые элементы содержания и виды деятельности: владение понятиями монотонность функции, точка экстремума и экстремум функции, производная; знание производных основных элементарных функций и их свойств; умение находить производные и применять их к задаче исследования функций на монотонность, экстремумы, наибольшие и наименьшие значения.
Ориентировочное время выполнения учащимися: 10—15 минут.
Типы заданий:
• Исследование дробно-рациональных функций.
Производная некоторых элементарных функций
Пусть k и n — любые числа, а x принимает такие значения, что обе части каждой из формул имеют смысл. Тогда справедливы формулы:
В частности:
Правила дифференцирования
Пусть функции f и g определены и дифференцируемы на некотором множестве I, и
— любые действительные числа. Тогда на множестве I справедливы соотношения:
В частности, производная многочлена равна сумме производных всех его членов.
Монотонность и экстремумы функции
Пусть дан график производной функции, определенной во всех точках некоторого промежутка. Существование конечной производной означает дифференцируемость функции на этом промежутке, а значит, влечет существование и непрерывность самой функции на нем. Тогда для определения поведения функции по знаку ее производной можно использовать следующие утверждения.
Если производная функции положительна на некотором промежутке, то функция возрастает на нем.
Если производная функции отрицательна на некотором промежутке, то функция убывает на нем.
Если производная функции в некоторой точке меняет знак с плюса на минус, то функция имеет в этой точке максимум.
Если производная функции в некоторой точке меняет знак с минуса на плюс, то функция имеет в этой точке минимум.
Наибольшее и наименьшее значение функции
Для определения наибольшего и наименьшего значений функции на отрезке используют следующие утверждения.
Пусть функция непрерывна на отрезке. Тогда наибольшее и наименьшее на этом отрезке значение функции достигается либо в критических точках, либо на концах отрезка.
Пусть функция непрерывна на отрезке и дифференцируема на интервале
Тогда наибольшее и наименьшее на отрезке
значение функции достигается либо в точках экстремума, либо на концах отрезка.
Свободно
Утверждение 1 (о равносильности логарифмических уравнений).
Для обеспечения равносильности при использовании формул суммы логарифмов при решении уравнений вида
содержащих логарифмов переменной величины, достаточно
условия на аргументы логарифмов:
Свободно
Утверждение 2 (о равносильности логарифмических неравенств).
Для обеспечения равносильности при использовании формул суммы логарифмов при решении неравенств вида
содержащих логарифмов переменной величины, достаточно
условия на аргументы логарифмов. Примем
(для
рассуждения аналогичны), тогда:
В этом случае, избавляясь от логарифмов, можно опустить одно, но не любое одно условие, а лишь стоящее в итоговом неравенстве справа от знака меньше (или, что то же самое, слева от знака больше). Не приводя доказательства для общего случая, заметим, что в каждом конкретном случае мы опираемся на то, что число, большее положительного, положительно.
Свободно
Обратим внимание читателя, что при решении уравнений иногда можно не заботиться о равносильности преобразований, рассчитывая сделать проверку. Однако невозможно проверить подстановкой бесконечное количество решений неравенств. Поэтому, решая неравенства, непременно приходится следить за равносильностью преобразований. В простых задачах достаточно найти область определения, на которой преобразования равносильны. Но в сложных задачах, в частности, в задачах с параметром, явно найти ОДЗ бывает затруднительно или даже невозможно. В таких случаях недостаточно, как это нередко бывает, записать в правом углу листа неравенства, задающие ОДЗ, решить те, что решаются, а остальные бросить. Необходимо хорошо понимать, как на каждом шаге решения сохранять равносильность преобразований. Помочь в этом и призваны приведенные рассуждения.
Свободно
Справедлива равносильность
Свободно
Справедлива равносильность
Вследствие неотрицательности одного из множителей в выражении, стоящем под знаком логарифма (в данном случае ), при данном преобразовании не происходит изменения ОДЗ неравенства.
Область допустимых значений обоих неравенств:
Свободно
Справедлива равносильность
При вычитании из обеих частей неравенства равных слагаемых для сохранения равносильности достаточно учесть ОДЗ "исчезающего" слагаемого