Школа экспертов
Вернуться на основную страницу «Школы экспертов»

Ниже представлены ученические решения экзаменационных заданий. Оцените каждое из них в соответствии с критериями проверки заданий ЕГЭ. После нажатия кнопки «Проверить» вы узнаете правильный балл за каждое из решений. В конце будут подведены итоги.

Задание 485932
Задание 500131
Задание 500366
Задание 505470
Задание 511337
Задание 513071
Задание 513091
Задание 513092
Задание 513093
Задание 515919
Задание 559475
Задание 559477
Задание 559478
Задание 559481


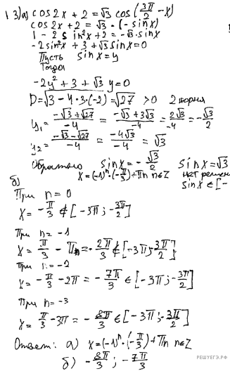
Задание № 485932

Дано урав­не­ние  ко­си­нус левая круг­лая скоб­ка дробь: чис­ли­тель: 3 Пи , зна­ме­на­тель: 2 конец дроби плюс 2x пра­вая круг­лая скоб­ка = ко­си­нус x.

а)  Ре­ши­те урав­не­ние.

б)  Ука­жи­те корни урав­не­ния, при­над­ле­жа­щие от­рез­ку  левая квад­рат­ная скоб­ка дробь: чис­ли­тель: 5 Пи , зна­ме­на­тель: 2 конец дроби ;4 Пи пра­вая квад­рат­ная скоб­ка .


Решение

Ис­поль­зу­ем фор­му­лу при­ве­де­ния и си­ну­са двой­но­го угла:

 синус 2x= ко­си­нус x рав­но­силь­но 2 синус x ко­си­нус x= ко­си­нус x рав­но­силь­но ко­си­нус x левая круг­лая скоб­ка 2 синус x минус 1 пра­вая круг­лая скоб­ка =0 рав­но­силь­но

 

 рав­но­силь­но со­во­куп­ность вы­ра­же­ний  новая стро­ка ко­си­нус x=0,  новая стро­ка синус x= дробь: чис­ли­тель: 1, зна­ме­на­тель: 2 конец дроби ,  конец со­во­куп­но­сти . рав­но­силь­но со­во­куп­ность вы­ра­же­ний  новая стро­ка x= дробь: чис­ли­тель: Пи , зна­ме­на­тель: 2 конец дроби плюс Пи k,  новая стро­ка x= дробь: чис­ли­тель: Пи , зна­ме­на­тель: 6 конец дроби плюс 2 Пи k,  новая стро­ка x= дробь: чис­ли­тель: 5 Пи , зна­ме­на­тель: 6 конец дроби плюс 2 Пи k,  конец со­во­куп­но­сти .k при­над­ле­жит Z .

б)  С по­мо­щью еди­нич­ной окруж­но­сти отберём корни на от­рез­ке  левая квад­рат­ная скоб­ка дробь: чис­ли­тель: 5 Пи , зна­ме­на­тель: 2 конец дроби ;4 Пи пра­вая квад­рат­ная скоб­ка . На­хо­дим:  дробь: чис­ли­тель: 5 Пи , зна­ме­на­тель: 2 конец дроби ,  дробь: чис­ли­тель: 17 Пи , зна­ме­на­тель: 6 конец дроби ,  дробь: чис­ли­тель: 7 Пи , зна­ме­на­тель: 2 конец дроби .

 

Ответ: а)  левая фи­гур­ная скоб­ка дробь: чис­ли­тель: Пи , зна­ме­на­тель: 2 конец дроби плюс Пи k, дробь: чис­ли­тель: Пи , зна­ме­на­тель: 6 конец дроби плюс 2 Пи k, дробь: чис­ли­тель: 5 Пи , зна­ме­на­тель: 6 конец дроби плюс 2 Пи k: k при­над­ле­жит Z пра­вая фи­гур­ная скоб­ка ; б)  дробь: чис­ли­тель: 5 Пи , зна­ме­на­тель: 2 конец дроби ;  дробь: чис­ли­тель: 17 Пи , зна­ме­на­тель: 6 конец дроби ;  дробь: чис­ли­тель: 7 Пи , зна­ме­на­тель: 2 конец дроби .

 

При­ме­ча­ние.

Урав­не­ние может быть также ре­ше­но при по­мо­щи сле­ду­ю­щей тео­ре­мы:

 ко­си­нус x = ко­си­нус y рав­но­силь­но x = \pm y плюс 2 Пи k, k при­над­ле­жит Z .



Кри­те­рии оце­ни­ва­ния вы­пол­не­ния за­да­нияБаллы
Обос­но­ван­но по­лу­че­ны вер­ные от­ве­ты в обоих пунк­тах.2
Обос­но­ван­но по­лу­чен вер­ный ответ в пунк­те а),

ИЛИ

по­лу­че­ны не­вер­ные от­ве­ты из-за вы­чис­ли­тель­ной ошиб­ки, но при этом име­ет­ся вер­ная по­сле­до­ва­тель­ность всех шагов ре­ше­ния пунк­та а) и пунк­та б).

1
Ре­ше­ние не со­от­вет­ству­ет ни од­но­му из кри­те­ри­ев, пе­ре­чис­лен­ных выше.0
Мак­си­маль­ный балл2


При­мер 1.

Оцените это решение в баллах:



Задание № 500131

а)  Ре­ши­те урав­не­ние  ко­си­нус 2x плюс 0,5= ко­си­нус в квад­ра­те x.

б)  Най­ди­те все корни этого урав­не­ния, при­над­ле­жа­щие от­рез­ку  левая квад­рат­ная скоб­ка минус 2 Пи ; минус дробь: чис­ли­тель: Пи , зна­ме­на­тель: 2 конец дроби пра­вая квад­рат­ная скоб­ка .


Решение

а)  За­пи­шем урав­не­ние в виде

 ко­си­нус в квад­ра­те x минус синус в квад­ра­те x плюс 0,5= ко­си­нус в квад­ра­те x рав­но­силь­но синус в квад­ра­те x= дробь: чис­ли­тель: 1, зна­ме­на­тель: 2 конец дроби рав­но­силь­но со­во­куп­ность вы­ра­же­ний синус x= минус дробь: чис­ли­тель: ко­рень из: на­ча­ло ар­гу­мен­та: 2 конец ар­гу­мен­та , зна­ме­на­тель: 2 конец дроби , синус x= дробь: чис­ли­тель: ко­рень из: на­ча­ло ар­гу­мен­та: 2 конец ар­гу­мен­та , зна­ме­на­тель: 2 конец дроби конец со­во­куп­но­сти . рав­но­силь­но со­во­куп­ность вы­ра­же­ний x= дробь: чис­ли­тель: Пи , зна­ме­на­тель: 4 конец дроби плюс Пи k,x= дробь: чис­ли­тель: 3 Пи , зна­ме­на­тель: 4 конец дроби плюс Пи k, конец со­во­куп­но­сти k при­над­ле­жит Z . }.

б)  С по­мо­щью чис­ло­вой окруж­но­сти отберём корни, при­над­ле­жа­щие от­рез­ку  левая квад­рат­ная скоб­ка минус 2 Пи ; минус дробь: чис­ли­тель: Пи , зна­ме­на­тель: 2 конец дроби пра­вая квад­рат­ная скоб­ка . По­лу­чим числа:  минус дробь: чис­ли­тель: 7 Пи , зна­ме­на­тель: 4 конец дроби ; минус дробь: чис­ли­тель: 5 Пи , зна­ме­на­тель: 4 конец дроби ; минус дробь: чис­ли­тель: 3 Пи , зна­ме­на­тель: 4 конец дроби .

 

Ответ: а)  левая фи­гур­ная скоб­ка дробь: чис­ли­тель: Пи , зна­ме­на­тель: 4 конец дроби плюс Пи k, дробь: чис­ли­тель: 3 Пи , зна­ме­на­тель: 4 конец дроби плюс Пи k: k при­над­ле­жит Z пра­вая фи­гур­ная скоб­ка ; б)  минус дробь: чис­ли­тель: 7 Пи , зна­ме­на­тель: 4 конец дроби ; минус дробь: чис­ли­тель: 5 Пи , зна­ме­на­тель: 4 конец дроби ; минус дробь: чис­ли­тель: 3 Пи , зна­ме­на­тель: 4 конец дроби .





При­мер 1.

Оцените это решение в баллах:



Задание № 500366

а)  Ре­ши­те урав­не­ние  ко­си­нус 2x плюс синус в квад­ра­те x=0,5.

б)  Най­ди­те все корни этого урав­не­ния, при­над­ле­жа­щие от­рез­ку  левая квад­рат­ная скоб­ка минус дробь: чис­ли­тель: 7 Пи , зна­ме­на­тель: 2 конец дроби ; минус 2 Пи пра­вая квад­рат­ная скоб­ка .


Решение

а)  За­пи­шем урав­не­ние в виде

 ко­си­нус в квад­ра­те x минус синус в квад­ра­те x плюс синус в квад­ра­те x=0,5 рав­но­силь­но ко­си­нус в квад­ра­те x= дробь: чис­ли­тель: 1, зна­ме­на­тель: 2 конец дроби рав­но­силь­но

 рав­но­силь­но ко­си­нус x=\pm дробь: чис­ли­тель: ко­рень из: на­ча­ло ар­гу­мен­та: 2 конец ар­гу­мен­та , зна­ме­на­тель: 2 конец дроби рав­но­силь­но x= дробь: чис­ли­тель: Пи , зна­ме­на­тель: 4 конец дроби плюс дробь: чис­ли­тель: зна­ме­на­тель: p конец дроби i2 k,k при­над­ле­жит Z .

б)  С по­мо­щью чис­ло­вой окруж­но­сти отберём корни, при­над­ле­жа­щие от­рез­ку  левая квад­рат­ная скоб­ка минус дробь: чис­ли­тель: 7 Пи , зна­ме­на­тель: 2 конец дроби , минус 2 Пи пра­вая квад­рат­ная скоб­ка . По­лу­чим числа:  минус дробь: чис­ли­тель: 13 Пи , зна­ме­на­тель: 4 конец дроби ,  минус дробь: чис­ли­тель: 11 Пи , зна­ме­на­тель: 4 конец дроби ,  минус дробь: чис­ли­тель: 9 Пи , зна­ме­на­тель: 4 конец дроби .

 

Ответ: а)  левая фи­гур­ная скоб­ка дробь: чис­ли­тель: Пи , зна­ме­на­тель: 4 конец дроби плюс дробь: чис­ли­тель: Пи k, зна­ме­на­тель: 2 конец дроби | k при­над­ле­жит Z пра­вая фи­гур­ная скоб­ка ; б) минус дробь: чис­ли­тель: 13 Пи , зна­ме­на­тель: 4 конец дроби ; минус дробь: чис­ли­тель: 11 Пи , зна­ме­на­тель: 4 конец дроби ; минус дробь: чис­ли­тель: 9 Пи , зна­ме­на­тель: 4 конец дроби .





При­мер 1.

Оцените это решение в баллах:

При­мер 2.

 

Оцените это решение в баллах:

При­мер 3.

Оцените это решение в баллах:



Задание № 505470

а)  Ре­ши­те урав­не­ние 2 ко­рень из: на­ча­ло ар­гу­мен­та: 3 конец ар­гу­мен­та ко­си­нус в квад­ра­те левая круг­лая скоб­ка дробь: чис­ли­тель: 3 Пи , зна­ме­на­тель: 2 конец дроби плюс x пра­вая круг­лая скоб­ка минус синус 2x=0.

б)  Ука­жи­те корни этого урав­не­ния, при­над­ле­жа­щие от­рез­ку  левая квад­рат­ная скоб­ка дробь: чис­ли­тель: 3 Пи , зна­ме­на­тель: 2 конец дроби ; 3 Пи пра­вая квад­рат­ная скоб­ка .


Решение

а)  Пре­об­ра­зу­ем ис­ход­ное урав­не­ние:

2 ко­рень из: на­ча­ло ар­гу­мен­та: 3 конец ар­гу­мен­та синус в квад­ра­те x минус 2 синус x ко­си­нус x=0 рав­но­силь­но синус x левая круг­лая скоб­ка ко­рень из: на­ча­ло ар­гу­мен­та: 3 конец ар­гу­мен­та синус x минус ко­си­нус x пра­вая круг­лая скоб­ка =0 рав­но­силь­но

 

 рав­но­силь­но со­во­куп­ность вы­ра­же­ний синус x=0, тан­генс x= дробь: чис­ли­тель: 1, зна­ме­на­тель: ко­рень из: на­ча­ло ар­гу­мен­та: 3 конец ар­гу­мен­та конец дроби конец со­во­куп­но­сти рав­но­силь­но со­во­куп­ность вы­ра­же­ний x= Пи k, x= дробь: чис­ли­тель: Пи , зна­ме­на­тель: 6 конец дроби плюс Пи k,k при­над­ле­жит Z . конец со­во­куп­но­сти

 

б)  С по­мо­щью чис­ло­вой окруж­но­сти отберём корни, при­над­ле­жа­щие от­рез­ку  левая квад­рат­ная скоб­ка дробь: чис­ли­тель: 3 Пи , зна­ме­на­тель: 2 конец дроби ; 3 Пи пра­вая квад­рат­ная скоб­ка . По­лу­чим числа: 2 Пи ;  дробь: чис­ли­тель: 13 Пи , зна­ме­на­тель: 6 конец дроби ; 3 Пи .

 

Ответ: а)  левая фи­гур­ная скоб­ка Пи k, дробь: чис­ли­тель: Пи , зна­ме­на­тель: 6 конец дроби плюс Пи k: k при­над­ле­жит Z пра­вая фи­гур­ная скоб­ка ; б) 2 Пи ;  дробь: чис­ли­тель: 13 Пи , зна­ме­на­тель: 6 конец дроби ; 3 Пи .





При­мер 1.

Оцените это решение в баллах:



Задание № 511337

а)  Ре­ши­те урав­не­ние  ко­си­нус 2x плюс синус в квад­ра­те x =0,75.

б)  Най­ди­те все корни этого урав­не­ния, при­над­ле­жа­щие от­рез­ку  левая квад­рат­ная скоб­ка минус 3 Пи ; минус дробь: чис­ли­тель: 3 Пи , зна­ме­на­тель: 2 конец дроби пра­вая квад­рат­ная скоб­ка .


Решение

а)  Имеем:

 ко­си­нус в квад­ра­те x минус синус в квад­ра­те x плюс синус в квад­ра­те x=0,75 рав­но­силь­но ко­си­нус в квад­ра­те x= дробь: чис­ли­тель: 3, зна­ме­на­тель: 4 конец дроби рав­но­силь­но со­во­куп­ность вы­ра­же­ний ко­си­нус x= минус дробь: чис­ли­тель: ко­рень из: на­ча­ло ар­гу­мен­та: 3 конец ар­гу­мен­та , зна­ме­на­тель: 2 конец дроби , ко­си­нус x= дробь: чис­ли­тель: ко­рень из: на­ча­ло ар­гу­мен­та: 3 конец ар­гу­мен­та , зна­ме­на­тель: 2 конец дроби конец со­во­куп­но­сти . рав­но­силь­но со­во­куп­ность вы­ра­же­ний x= минус дробь: чис­ли­тель: Пи , зна­ме­на­тель: 6 конец дроби плюс Пи k,x= дробь: чис­ли­тель: Пи , зна­ме­на­тель: 6 конец дроби плюс Пи k, k при­над­ле­жит Z . конец со­во­куп­но­сти .

б)  С по­мо­щью чис­ло­вой окруж­но­сти отберём корни, при­над­ле­жа­щие от­рез­ку  левая квад­рат­ная скоб­ка минус 3 Пи ; минус дробь: чис­ли­тель: 3 Пи , зна­ме­на­тель: 2 конец дроби пра­вая квад­рат­ная скоб­ка . По­лу­чим числа:  минус дробь: чис­ли­тель: 17 Пи , зна­ме­на­тель: 6 конец дроби ; минус дробь: чис­ли­тель: 13 Пи , зна­ме­на­тель: 6 конец дроби ; минус дробь: чис­ли­тель: 11 Пи , зна­ме­на­тель: 6 конец дроби .

 

Ответ: а)  левая фи­гур­ная скоб­ка минус дробь: чис­ли­тель: Пи , зна­ме­на­тель: 6 конец дроби плюс Пи k, дробь: чис­ли­тель: Пи , зна­ме­на­тель: 6 конец дроби плюс Пи k: k при­над­ле­жит Z пра­вая фи­гур­ная скоб­ка ; б)  минус дробь: чис­ли­тель: 17 Пи , зна­ме­на­тель: 6 конец дроби ;  минус дробь: чис­ли­тель: 13 Пи , зна­ме­на­тель: 6 конец дроби ;  минус дробь: чис­ли­тель: 11 Пи , зна­ме­на­тель: 6 конец дроби .





При­мер 1.

Оцените это решение в баллах:



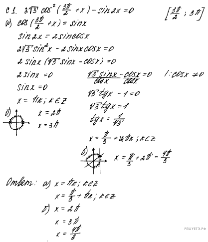
Задание № 513071

а)  Ре­ши­те урав­не­ние  ко­си­нус 2x минус ко­рень из 2 ко­си­нус левая круг­лая скоб­ка дробь: чис­ли­тель: 3 Пи , зна­ме­на­тель: 2 конец дроби плюс x пра­вая круг­лая скоб­ка минус 1=0.

б)  Ука­жи­те корни этого урав­не­ния, при­над­ле­жа­щие от­рез­ку  левая квад­рат­ная скоб­ка дробь: чис­ли­тель: 3 Пи , зна­ме­на­тель: 2 конец дроби ;3 Пи пра­вая квад­рат­ная скоб­ка .


Решение

Имеем:

1 минус 2 синус в квад­ра­те x минус ко­рень из: на­ча­ло ар­гу­мен­та: 2 конец ар­гу­мен­та синус x минус 1=0 рав­но­силь­но синус x левая круг­лая скоб­ка синус x плюс дробь: чис­ли­тель: ко­рень из: на­ча­ло ар­гу­мен­та: 2 конец ар­гу­мен­та , зна­ме­на­тель: 2 конец дроби пра­вая круг­лая скоб­ка =0 рав­но­силь­но

 рав­но­силь­но со­во­куп­ность вы­ра­же­ний синус x=0, синус x= минус дробь: чис­ли­тель: ко­рень из: на­ча­ло ар­гу­мен­та: 2 конец ар­гу­мен­та , зна­ме­на­тель: 2 конец дроби конец со­во­куп­но­сти . рав­но­силь­но со­во­куп­ность вы­ра­же­ний x= Пи k,x= минус дробь: чис­ли­тель: 3 Пи , зна­ме­на­тель: 4 конец дроби плюс 2 Пи k, x= минус дробь: чис­ли­тель: Пи , зна­ме­на­тель: 4 конец дроби плюс 2 Пи k. конец со­во­куп­но­сти .k при­над­ле­жит Z

б)  На ука­зан­ном про­ме­жут­ке лежат точки 2 Пи ,3 Пи , дробь: чис­ли­тель: 7 Пи , зна­ме­на­тель: 4 конец дроби .

 

Ответ: а)  левая фи­гур­ная скоб­ка минус дробь: чис­ли­тель: 3 Пи , зна­ме­на­тель: 4 конец дроби плюс 2 Пи k, минус дробь: чис­ли­тель: Пи , зна­ме­на­тель: 4 конец дроби плюс 2 Пи k, Пи k : k при­над­ле­жит Z пра­вая фи­гур­ная скоб­ка ; б) 2 Пи ,3 Пи , дробь: чис­ли­тель: 7 Пи , зна­ме­на­тель: 4 конец дроби .





При­мер 1.

Оцените это решение в баллах:



Задание № 513091

а)  Ре­ши­те урав­не­ние 2 ко­си­нус 2x плюс 4 ко­рень из 3 ко­си­нус x минус 7=0.

б)  Най­ди­те все корни этого урав­не­ния, при­над­ле­жа­щие про­ме­жут­ку  левая квад­рат­ная скоб­ка дробь: чис­ли­тель: 5 Пи , зна­ме­на­тель: 2 конец дроби ;4 Пи пра­вая квад­рат­ная скоб­ка .


Решение

а)  Имеем:

2 левая круг­лая скоб­ка 2 ко­си­нус в квад­ра­те x минус 1 пра­вая круг­лая скоб­ка плюс 4 ко­рень из: на­ча­ло ар­гу­мен­та: 3 конец ар­гу­мен­та ко­си­нус x минус 7=0 рав­но­силь­но 4 ко­си­нус в квад­ра­те x плюс 4 ко­рень из: на­ча­ло ар­гу­мен­та: 3 конец ар­гу­мен­та ко­си­нус x минус 9=0 рав­но­силь­но

 

 рав­но­силь­но со­во­куп­ность вы­ра­же­ний ко­си­нус x= дробь: чис­ли­тель: ко­рень из: на­ча­ло ар­гу­мен­та: 3 конец ар­гу­мен­та , зна­ме­на­тель: 2 конец дроби , ко­си­нус x= минус дробь: чис­ли­тель: 3 ко­рень из: на­ча­ло ар­гу­мен­та: 3 конец ар­гу­мен­та , зна­ме­на­тель: 2 конец дроби конец со­во­куп­но­сти . рав­но­силь­но ко­си­нус x= дробь: чис­ли­тель: ко­рень из: на­ча­ло ар­гу­мен­та: 3 конец ар­гу­мен­та , зна­ме­на­тель: 2 конец дроби рав­но­силь­но x=\pm дробь: чис­ли­тель: Пи , зна­ме­на­тель: 6 конец дроби плюс 2 Пи k,k при­над­ле­жит Z .

 

б)  С по­мо­щью чис­ло­вой окруж­но­сти (см. рис.) отберём корни, при­над­ле­жа­щие от­рез­ку  левая квад­рат­ная скоб­ка дробь: чис­ли­тель: 5 Пи , зна­ме­на­тель: 2 конец дроби ;4 Пи пра­вая квад­рат­ная скоб­ка . По­лу­чим точку  дробь: чис­ли­тель: 23 Пи , зна­ме­на­тель: 6 конец дроби .

 

Ответ: а)  левая фи­гур­ная скоб­ка минус дробь: чис­ли­тель: Пи , зна­ме­на­тель: 6 конец дроби плюс 2 Пи k, дробь: чис­ли­тель: Пи , зна­ме­на­тель: 6 конец дроби плюс 2 Пи k : k при­над­ле­жит Z пра­вая фи­гур­ная скоб­ка ; б)  дробь: чис­ли­тель: 23 Пи , зна­ме­на­тель: 6 конец дроби .





При­мер 1.

Оцените это решение в баллах:



Задание № 513092

а)  Ре­ши­те урав­не­ние 2 ко­си­нус 2x плюс 4 ко­си­нус левая круг­лая скоб­ка дробь: чис­ли­тель: 3 Пи , зна­ме­на­тель: 2 конец дроби минус x пра­вая круг­лая скоб­ка плюс 1=0.

б)  Най­ди­те все корни этого урав­не­ния, при­над­ле­жа­щие про­ме­жут­ку  левая квад­рат­ная скоб­ка дробь: чис­ли­тель: 3 Пи , зна­ме­на­тель: 2 конец дроби ;3 Пи пра­вая квад­рат­ная скоб­ка .


Решение

а)  Имеем:

2 левая круг­лая скоб­ка 1 минус 2 синус в квад­ра­те x пра­вая круг­лая скоб­ка минус 4 синус x плюс 1=0 рав­но­силь­но 4 синус в квад­ра­те x плюс 4 синус x минус 3=0 рав­но­силь­но

 рав­но­силь­но со­во­куп­ность вы­ра­же­ний синус x= дробь: чис­ли­тель: 1, зна­ме­на­тель: 2 конец дроби , синус x= минус дробь: чис­ли­тель: 3, зна­ме­на­тель: 2 конец дроби конец со­во­куп­но­сти .\underset| синус x|\leqslant1\mathop рав­но­силь­но со­во­куп­ность вы­ра­же­ний x= дробь: чис­ли­тель: Пи , зна­ме­на­тель: 6 конец дроби плюс 2 Пи k,x= дробь: чис­ли­тель: 5 Пи , зна­ме­на­тель: 6 конец дроби плюс 2 Пи k,k при­над­ле­жит Z . конец со­во­куп­но­сти .

б)  На ука­зан­ном про­ме­жут­ке лежат точки  дробь: чис­ли­тель: 13 Пи , зна­ме­на­тель: 6 конец дроби , дробь: чис­ли­тель: 17 Пи , зна­ме­на­тель: 6 конец дроби .

 

Ответ: а)  левая фи­гур­ная скоб­ка дробь: чис­ли­тель: Пи , зна­ме­на­тель: 6 конец дроби плюс 2 Пи k, дробь: чис­ли­тель: 5 Пи , зна­ме­на­тель: 6 конец дроби плюс 2 Пи k : k при­над­ле­жит Z пра­вая фи­гур­ная скоб­ка ; б)  дробь: чис­ли­тель: 13 Пи , зна­ме­на­тель: 6 конец дроби , дробь: чис­ли­тель: 17 Пи , зна­ме­на­тель: 6 конец дроби .





При­мер 1.

Оцените это решение в баллах:



Задание № 513093

а)  Ре­ши­те урав­не­ние 8 синус в квад­ра­те x плюс 2 ко­рень из 3 ко­си­нус x плюс 1=0.

б)  Най­ди­те все корни этого урав­не­ния, при­над­ле­жа­щие про­ме­жут­ку  левая квад­рат­ная скоб­ка минус дробь: чис­ли­тель: 7 Пи , зна­ме­на­тель: 2 конец дроби ; минус 2 Пи пра­вая квад­рат­ная скоб­ка .


Решение

Имеем:

8 левая круг­лая скоб­ка 1 минус ко­си­нус в квад­ра­те x пра­вая круг­лая скоб­ка плюс 2 ко­рень из: на­ча­ло ар­гу­мен­та: 3 конец ар­гу­мен­та ко­си­нус x плюс 1=0 рав­но­силь­но 8 ко­си­нус в квад­ра­те x минус 2 ко­рень из: на­ча­ло ар­гу­мен­та: 3 конец ар­гу­мен­та ко­си­нус x минус 9=0.

Либо  ко­си­нус x= минус дробь: чис­ли­тель: ко­рень из: на­ча­ло ар­гу­мен­та: 3 конец ар­гу­мен­та , зна­ме­на­тель: 2 конец дроби , x=\pm дробь: чис­ли­тель: 5 Пи , зна­ме­на­тель: 6 конец дроби плюс 2 Пи k,k при­над­ле­жит Z либо  ко­си­нус x= дробь: чис­ли­тель: 3 ко­рень из: на­ча­ло ар­гу­мен­та: 3 конец ар­гу­мен­та , зна­ме­на­тель: 4 конец дроби боль­ше 1, что не­воз­мож­но.

 

б)  На ука­зан­ном про­ме­жут­ке лежат точки  минус дробь: чис­ли­тель: 19 Пи , зна­ме­на­тель: 6 конец дроби , минус дробь: чис­ли­тель: 17 Пи , зна­ме­на­тель: 6 конец дроби .

 

Ответ: а)  левая фи­гур­ная скоб­ка минус дробь: чис­ли­тель: 5 Пи , зна­ме­на­тель: 6 конец дроби плюс 2 Пи k, дробь: чис­ли­тель: 5 Пи , зна­ме­на­тель: 6 конец дроби плюс 2 Пи k : k при­над­ле­жит Z пра­вая фи­гур­ная скоб­ка ; б)  минус дробь: чис­ли­тель: 19 Пи , зна­ме­на­тель: 6 конец дроби , минус дробь: чис­ли­тель: 17 Пи , зна­ме­на­тель: 6 конец дроби .





При­мер 1.

Оцените это решение в баллах:



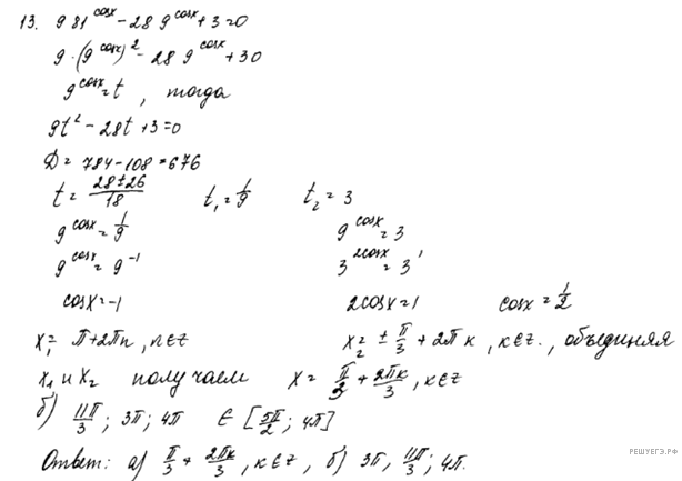
Задание № 515919

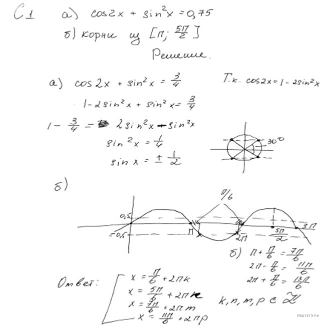
а)  Ре­ши­те урав­не­ние  ко­си­нус 2x плюс синус в квад­ра­те x=0,75.

б)  Ука­жи­те корни этого урав­не­ния, при­над­ле­жа­щие от­рез­ку  левая квад­рат­ная скоб­ка Пи ; дробь: чис­ли­тель: 5 Пи , зна­ме­на­тель: 2 конец дроби пра­вая квад­рат­ная скоб­ка .


Решение

a)  Вос­поль­зу­ем­ся фор­му­лой ко­си­ну­са двой­но­го угла  левая круг­лая скоб­ка ко­си­нус 2x = 1 минус 2 синус в квад­ра­те x пра­вая круг­лая скоб­ка и вве­дем обо­зна­че­ние t= синус x. Имеем:

1 минус 2t в квад­ра­те плюс t в квад­ра­те =0,75 рав­но­силь­но t в квад­ра­те =0,25 рав­но­силь­но со­во­куп­ность вы­ра­же­ний t= минус дробь: чис­ли­тель: 1, зна­ме­на­тель: 2 конец дроби ,t= дробь: чис­ли­тель: 1, зна­ме­на­тель: 2 конец дроби . конец со­во­куп­но­сти .

Вер­нем­ся к ис­ход­ной пе­ре­мен­ной:

 со­во­куп­ность вы­ра­же­ний синус x = минус дробь: чис­ли­тель: 1, зна­ме­на­тель: 2 конец дроби , синус x = дробь: чис­ли­тель: 1, зна­ме­на­тель: 2 конец дроби конец со­во­куп­но­сти . рав­но­силь­но со­во­куп­ность вы­ра­же­ний x= минус дробь: чис­ли­тель: Пи , зна­ме­на­тель: 6 конец дроби плюс 2 Пи k,x= минус дробь: чис­ли­тель: 5 Пи , зна­ме­на­тель: 6 конец дроби плюс 2 Пи k, x= дробь: чис­ли­тель: Пи , зна­ме­на­тель: 6 конец дроби плюс 2 Пи k, x= дробь: чис­ли­тель: 5 Пи , зна­ме­на­тель: 6 конец дроби плюс 2 Пи k, конец со­во­куп­но­сти . k при­над­ле­жит Z .

б)  С по­мо­щью чис­ло­вой окруж­но­сти (см. рис.) отберём корни, при­над­ле­жа­щие от­рез­ку  левая квад­рат­ная скоб­ка Пи ; дробь: чис­ли­тель: 5 Пи , зна­ме­на­тель: 2 конец дроби пра­вая квад­рат­ная скоб­ка . По­лу­чим числа:  дробь: чис­ли­тель: 7 Пи , зна­ме­на­тель: 6 конец дроби ,  дробь: чис­ли­тель: 11 Пи , зна­ме­на­тель: 6 конец дроби ,  дробь: чис­ли­тель: 13 Пи , зна­ме­на­тель: 6 конец дроби .

 

Ответ: а)  левая фи­гур­ная скоб­ка минус дробь: чис­ли­тель: Пи , зна­ме­на­тель: 6 конец дроби плюс Пи k, дробь: чис­ли­тель: Пи , зна­ме­на­тель: 6 конец дроби плюс Пи k : k при­над­ле­жит Z пра­вая фи­гур­ная скоб­ка ; б)  дробь: чис­ли­тель: 7 Пи , зна­ме­на­тель: 6 конец дроби ; дробь: чис­ли­тель: 11 Пи , зна­ме­на­тель: 6 конец дроби ; дробь: чис­ли­тель: 13 Пи , зна­ме­на­тель: 6 конец дроби .





При­мер 1.

Оцените это решение в баллах:

При­мер 2.

Оцените это решение в баллах:

При­мер 3.

Оцените это решение в баллах:



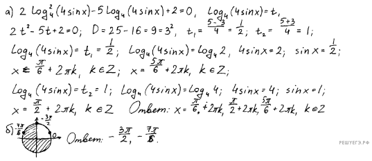
Задание № 559475


Решение





При­мер 1.

Оцените это решение в баллах:

При­мер 2.

Оцените это решение в баллах:

При­мер 3.

Оцените это решение в баллах:



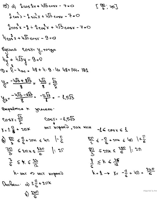
Задание № 559477


Решение





При­мер 1.

Оцените это решение в баллах:

При­мер 2.

Оцените это решение в баллах:

При­мер 3.

Оцените это решение в баллах:



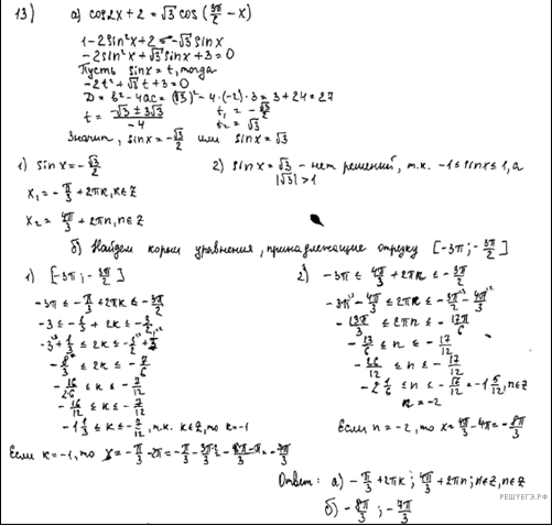
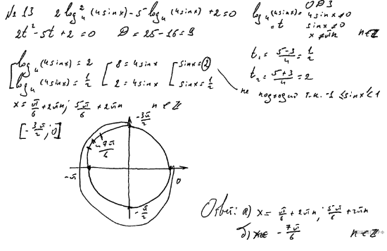
Задание № 559478


Решение





При­мер 1

Оцените это решение в баллах:

При­мер 2

Оцените это решение в баллах:

При­мер 3

Оцените это решение в баллах:

При­мер 4

Оцените это решение в баллах:



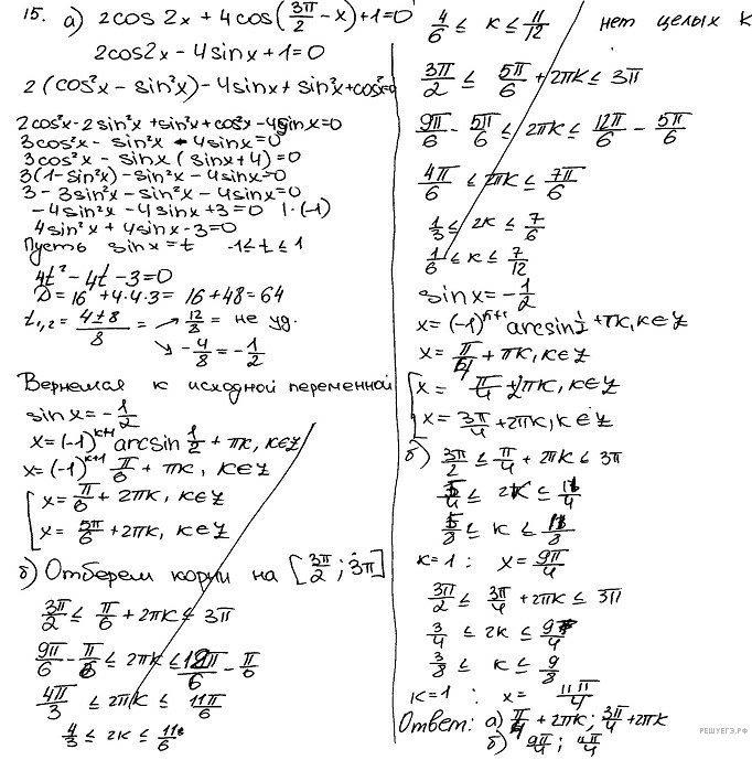
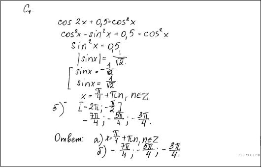
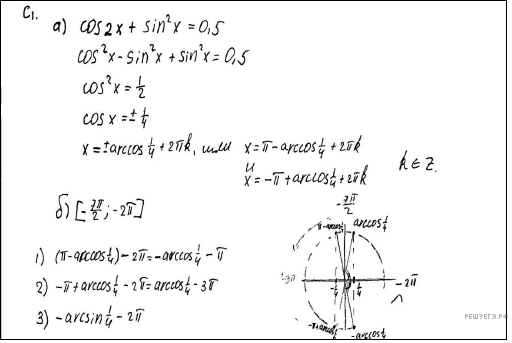
Задание № 559481

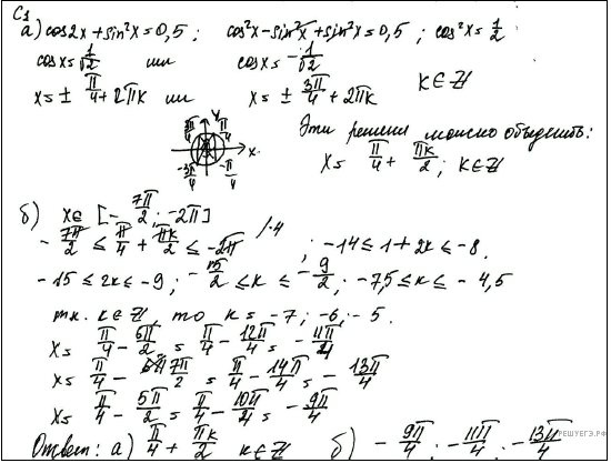
а)  Ре­ши­те урав­не­ние  ко­си­нус 2x плюс 0,5= ко­си­нус в квад­ра­те x.

б)  Най­ди­те все корни этого урав­не­ния, при­над­ле­жа­щие от­рез­ку  левая квад­рат­ная скоб­ка минус 3 Пи ; минус дробь: чис­ли­тель: 3 Пи , зна­ме­на­тель: 2 конец дроби пра­вая квад­рат­ная скоб­ка .


Решение

а)  За­пи­шем урав­не­ние в виде

 ко­си­нус в квад­ра­те x минус синус в квад­ра­те x плюс 0,5= ко­си­нус в квад­ра­те x рав­но­силь­но синус в квад­ра­те x= дробь: чис­ли­тель: 1, зна­ме­на­тель: 2 конец дроби рав­но­силь­но со­во­куп­ность вы­ра­же­ний синус x= минус дробь: чис­ли­тель: ко­рень из: на­ча­ло ар­гу­мен­та: 2 конец ар­гу­мен­та , зна­ме­на­тель: 2 конец дроби , синус x= дробь: чис­ли­тель: ко­рень из: на­ча­ло ар­гу­мен­та: 2 конец ар­гу­мен­та , зна­ме­на­тель: 2 конец дроби конец со­во­куп­но­сти . рав­но­силь­но со­во­куп­ность вы­ра­же­ний x= дробь: чис­ли­тель: Пи , зна­ме­на­тель: 4 конец дроби плюс Пи k,x= дробь: чис­ли­тель: 3 Пи , зна­ме­на­тель: 4 конец дроби плюс Пи k, конец со­во­куп­но­сти k при­над­ле­жит Z . }.

 

б)  С по­мо­щью чис­ло­вой окруж­но­сти отберём корни, при­над­ле­жа­щие от­рез­ку  левая квад­рат­ная скоб­ка минус 3 Пи ; минус дробь: чис­ли­тель: 3 Пи , зна­ме­на­тель: 2 конец дроби пра­вая квад­рат­ная скоб­ка . По­лу­чим числа:  минус дробь: чис­ли­тель: 11 Пи , зна­ме­на­тель: 4 конец дроби ; минус дробь: чис­ли­тель: 9 Пи , зна­ме­на­тель: 4 конец дроби ; минус дробь: чис­ли­тель: 7 Пи , зна­ме­на­тель: 4 конец дроби .

 

Ответ: а)  левая фи­гур­ная скоб­ка дробь: чис­ли­тель: Пи , зна­ме­на­тель: 4 конец дроби плюс Пи k, дробь: чис­ли­тель: 3 Пи , зна­ме­на­тель: 4 конец дроби плюс Пи k: k при­над­ле­жит Z пра­вая фи­гур­ная скоб­ка ; б)  минус дробь: чис­ли­тель: 11 Пи , зна­ме­на­тель: 4 конец дроби ; минус дробь: чис­ли­тель: 9 Пи , зна­ме­на­тель: 4 конец дроби ; минус дробь: чис­ли­тель: 7 Пи , зна­ме­на­тель: 4 конец дроби .





При­мер 1

Оцените это решение в баллах:

При­мер 2

Оцените это решение в баллах:



Наверх
Вернуться на основную страницу «Школы экспертов»