Школа экспертов
Вернуться на основную страницу «Школы экспертов»

Ниже представлены ученические решения экзаменационных заданий. Оцените каждое из них в соответствии с критериями проверки заданий ЕГЭ. После нажатия кнопки «Проверить» вы узнаете правильный балл за каждое из решений. В конце будут подведены итоги.

Задание 484571
Задание 500816
Задание 505524
Задание 505534
Задание 505535
Задание 505548
Задание 505549
Задание 507592
Задание 513094
Задание 513095
Задание 513096
Задание 513097
Задание 513098
Задание 515920
Задание 559482
Задание 559484
Задание 559486


Задание № 484571

Дан куб ABCDA1B1C1D1. Длина ребра куба равна 1.

а)  До­ка­жи­те, что рас­сто­я­ние от се­ре­ди­ны от­рез­ка BC1 до плос­ко­сти AB1D1 равно рас­сто­я­нию се­ре­ди­ны от­рез­ка BC1 до пря­мой, про­хо­дя­щей через се­ре­ди­ну от­рез­ка AD_1 и вер­ши­ну B_1.

б)  Най­ди­те это рас­сто­я­ние.


Решение

а)  Пусть M   — се­ре­ди­на AD_1,N  — се­ре­ди­на BC_1,BC_1||AD_1,B_1C\bot BC_1, зна­чит, B_1N\bot AD_1. Кроме того, MN\bot AD_1, сле­до­ва­тель­но, плос­кость MB_1N\bot AD_1. Опу­стим пер­пен­ди­ку­ляр NH из точки N на пря­мую MB_1, кроме этого, NH\bot AD_1 (по­сколь­ку лежит в плос­ко­сти MB_1N), сле­до­ва­тель­но, NH\bot AB_1D_1 и яв­ля­ет­ся ис­ко­мым рас­сто­я­ни­ем.

б)  Ис­ко­мый от­ре­зок NH яв­ля­ет­ся вы­со­той пря­мо­уголь­но­го тре­уголь­ни­ка MNB_1 с пря­мым углом N.

По­это­му

NH= дробь: чис­ли­тель: NB_1 умно­жить на NM, зна­ме­на­тель: MB_1 конец дроби =\dfrac\dfrac ко­рень из: на­ча­ло ар­гу­мен­та: 2 конец ар­гу­мен­та 2 умно­жить на 1 ко­рень из: на­ча­ло ар­гу­мен­та: левая круг­лая скоб­ка \dfrac ко­рень из: на­ча­ло ар­гу­мен­та: 2 конец ар­гу­мен­та конец ар­гу­мен­та 2 пра­вая круг­лая скоб­ка в квад­ра­те плюс 1 в квад­ра­те = дробь: чис­ли­тель: \dfrac1, зна­ме­на­тель: ко­рень из: на­ча­ло ар­гу­мен­та: 2 конец ар­гу­мен­та конец дроби ко­рень из: на­ча­ло ар­гу­мен­та: \dfrac 32 конец ар­гу­мен­та = дробь: чис­ли­тель: 1, зна­ме­на­тель: ко­рень из: на­ча­ло ар­гу­мен­та: 3 конец ар­гу­мен­та конец дроби .

Ответ:  дробь: чис­ли­тель: ко­рень из: на­ча­ло ар­гу­мен­та: 3 конец ар­гу­мен­та , зна­ме­на­тель: 3 конец дроби .



Кри­те­рии оце­ни­ва­ния вы­пол­не­ния за­да­нияБаллы
Име­ет­ся вер­ное до­ка­за­тель­ство утвер­жде­ния пунк­та а), и обос­но­ван­но по­лу­чен вер­ный ответ в пунк­те б)3
По­лу­чен обос­но­ван­ный ответ в пунк­те б)

ИЛИ

име­ет­ся вер­ное до­ка­за­тель­ство утвер­жде­ния пунк­та а), и при обос­но­ван­ном ре­ше­нии пунк­та б) по­лу­чен не­вер­ный ответ из-за ариф­ме­ти­че­ской ошиб­ки

2
Име­ет­ся вер­ное до­ка­за­тель­ство утвер­жде­ния пунк­та а),

ИЛИ

при обос­но­ван­ном ре­ше­нии пунк­та б) по­лу­чен не­вер­ный ответ из-за ариф­ме­ти­че­ской ошиб­ки,

ИЛИ

обос­но­ван­но по­лу­чен вер­ный ответ в пунк­те б) с ис­поль­зо­ва­ни­ем утвер­жде­ния пунк­та а), при этом пункт а) не вы­пол­нен

1
Ре­ше­ние не со­от­вет­ству­ет ни од­но­му из кри­те­ри­ев, при­ведённых выше0
Мак­си­маль­ный балл3


При­мер 1.

Оцените это решение в баллах:

При­мер 2.

Оцените это решение в баллах:

При­мер 3.

Оцените это решение в баллах:

При­мер 4.

Оцените это решение в баллах:

При­мер 5.

Оцените это решение в баллах:



Задание № 500816

Сто­ро­на ос­но­ва­ния пра­виль­ной тре­уголь­ной приз­мы ABCA1B1C1 равна 2, а диа­го­наль бо­ко­вой грани равна  ко­рень из: на­ча­ло ар­гу­мен­та: 5 конец ар­гу­мен­та .

а)  До­ка­жи­те, что объем пи­ра­ми­ды A_1BCC_1B_1 вдвое боль­ше объ­е­ма пи­ра­ми­ды AA_1BC.

б)  Най­ди­те угол между плос­ко­стью A1BC и плос­ко­стью ос­но­ва­ния приз­мы.


Решение

а)  Пусть S − пло­щадь ос­но­ва­ния приз­мы, а h - её вы­со­та. Тогда объем приз­мы равен Sh, а объем пи­ра­ми­ды AA_1BC равен  дробь: чис­ли­тель: 1, зна­ме­на­тель: 3 конец дроби Sh. Таким об­ра­зом, объем пи­ра­ми­ды A_1BCC_1B_1 равен V_A_1BCC_1B_1=Sh минус дробь: чис­ли­тель: 1, зна­ме­на­тель: 3 конец дроби Sh= дробь: чис­ли­тель: 2, зна­ме­на­тель: 3 конец дроби Sh=2V_AA_1BC. Что и тре­бо­ва­лось до­ка­зать.

б)  Обо­зна­чим H се­ре­ди­ну ребра BC. Так как тре­уголь­ник ABC рав­но­сто­рон­ний, а тре­уголь­ник A_1BC  — рав­но­бед­рен­ный, от­рез­ки AH и A_1H пер­пен­ди­ку­ляр­ны BC. Сле­до­ва­тель­но, \angle A_1HA  — ли­ней­ный угол дву­гран­но­го угла с гра­ня­ми BCA и BCA_1. Из тре­уголь­ни­ка A_1AB най­дем AA_1= ко­рень из: на­ча­ло ар­гу­мен­та: 5 минус 4 конец ар­гу­мен­та =1. В тре­уголь­ни­ке AHB най­дем вы­со­ту AH= ко­рень из: на­ча­ло ар­гу­мен­та: 4 минус 1 конец ар­гу­мен­та = ко­рень из: на­ча­ло ар­гу­мен­та: 3 конец ар­гу­мен­та .

Из тре­уголь­ни­ка HAA_1 най­дем:  тан­генс \angle A_1HA= дробь: чис­ли­тель: AA_1, зна­ме­на­тель: AH конец дроби = дробь: чис­ли­тель: 1, зна­ме­на­тель: ко­рень из: на­ча­ло ар­гу­мен­та: 3 конец ар­гу­мен­та конец дроби .

Ис­ко­мый угол равен 30 гра­ду­сов.

 

Ответ: 30 гра­ду­сов.





При­мер 1.

Оцените это решение в баллах:



Задание № 505524

Ребро куба ABCDA1B1C1D1 равно 1.

а)  До­ка­жи­те, что пря­мая B_1D пер­пен­ди­ку­ляр­на плос­ко­сти ACD_1.

б)  Най­ди­те рас­сто­я­ние от вер­ши­ны B до плос­ко­сти ACD1.


Решение

а)  BD\perp AC, зна­чит, по тео­ре­ме о трех пер­пен­ди­ку­ля­рах, B_1D\perp AC. Ана­ло­гич­но B_1D\perp CD_1. Тогда, по при­зна­ку пер­пен­ди­ку­ляр­но­сти пря­мой и плос­ко­сти, B_1D\perp ACD_1.

 

б)  Плос­кость ACD_1 про­хо­дит через точку пе­ре­се­че­ния диа­го­на­лей квад­ра­та ABCD. Опу­стим пер­пен­ди­ку­ляр OO_1 на плос­кость A_1B_1C_1. Точка O_1 яв­ля­ет­ся точ­кой пе­ре­се­че­ния диа­го­на­лей квад­ра­та A_1B_1C_1D_1. Диа­го­на­ли квад­ра­та в  ко­рень из: на­ча­ло ар­гу­мен­та: 2 конец ар­гу­мен­та раз боль­ше сто­ро­ны квад­ра­та и де­лят­ся точ­кой пе­ре­се­че­ния по­по­лам. По­это­му OB=O_1D_1= дробь: чис­ли­тель: ко­рень из: на­ча­ло ар­гу­мен­та: 2 конец ар­гу­мен­та , зна­ме­на­тель: 2 конец дроби . От­ре­зок OO_1 равен сто­ро­не квад­ра­та. Из пря­мо­уголь­но­го тре­уголь­ни­ка OO_1D_1 по тео­ре­ме Пи­фа­го­ра найдём OD_1:

OD_1= ко­рень из: на­ча­ло ар­гу­мен­та: OO_1 в квад­ра­те плюс O_1D_1 в квад­ра­те конец ар­гу­мен­та = ко­рень из: на­ча­ло ар­гу­мен­та: 1 в квад­ра­те плюс левая круг­лая скоб­ка дробь: чис­ли­тель: ко­рень из: на­ча­ло ар­гу­мен­та: 2 конец ар­гу­мен­та , зна­ме­на­тель: 2 конец дроби пра­вая круг­лая скоб­ка в квад­ра­те конец ар­гу­мен­та = ко­рень из: на­ча­ло ар­гу­мен­та: дробь: чис­ли­тель: 3, зна­ме­на­тель: 2 конец дроби конец ар­гу­мен­та .

Найдём синус угла OD_1O_1:

 синус \angle OD_1O_1= дробь: чис­ли­тель: OO_1, зна­ме­на­тель: OD_1 конец дроби = ко­рень из д робь: чис­ли­тель: 2, зна­ме­на­тель: 3 конец дроби .

В плос­ко­сти BOD1 опу­стим пер­пен­ди­ку­ляр BH на пря­мую OD1. За­ме­тим, что пря­мая AC пер­пен­ди­ку­ляр­на плос­ко­сти BOD1 и, сле­до­ва­тель­но, BH пер­пен­ди­ку­ля­рен пря­мой AC. Таким об­ра­зом, BH пер­пен­ди­ку­ля­рен плос­ко­сти ACD1, а длина от­рез­ка BH будет яв­лять­ся рас­сто­я­ни­ем от точки B до плос­ко­сти ACD_1. Рас­смот­рим четырёхуголь­ник BB_1D_1D: BB_1||DD_1, BB_1=DD_1 и BB_1\perp A_1B_1C_1D_1, сле­до­ва­тель­но, BB_1D_1D  — пря­мо­уголь­ник, от­ку­да BD||B_1D_1. Пря­мая HD1  — се­ку­щая при па­рал­лель­ных пря­мых BD и B_1D_1, по­это­му углы HOB и OD_1O_1 равны. Из пря­мо­уголь­но­го тре­уголь­ни­ка OBH найдём BH:

BH=OB синус \angle BOH= дробь: чис­ли­тель: ко­рень из: на­ча­ло ар­гу­мен­та: 2 конец ар­гу­мен­та , зна­ме­на­тель: 2 конец дроби умно­жить на дробь: чис­ли­тель: ко­рень из: на­ча­ло ар­гу­мен­та: 2 конец ар­гу­мен­та , зна­ме­на­тель: ко­рень из: на­ча­ло ар­гу­мен­та: 3 конец ар­гу­мен­та конец дроби = дробь: чис­ли­тель: 1, зна­ме­на­тель: ко­рень из: на­ча­ло ар­гу­мен­та: 3 конец ар­гу­мен­та конец дроби = дробь: чис­ли­тель: ко­рень из: на­ча­ло ар­гу­мен­та: 3 конец ар­гу­мен­та , зна­ме­на­тель: 3 конец дроби .

Ответ:  дробь: чис­ли­тель: ко­рень из: на­ча­ло ар­гу­мен­та: 3 конец ар­гу­мен­та , зна­ме­на­тель: 3 конец дроби .





При­мер 1.

Оцените это решение в баллах:

При­мер 2.

Оцените это решение в баллах:

При­мер 3.

Оцените это решение в баллах:



Задание № 505534

В пра­виль­ной тре­уголь­ной пи­ра­ми­де SABC с ос­но­ва­ни­ем ABC из­вест­ны ребра AB=20 ко­рень из: на­ча­ло ар­гу­мен­та: 3 конец ар­гу­мен­та , SC=29.

 

а)  До­ка­жи­те, что AS\perp BC.

 

б)  Най­ди­те угол, об­ра­зо­ван­ный плос­ко­стью ос­но­ва­ния и пря­мой, про­хо­дя­щей через се­ре­ди­ны ребер AS и BC.


Решение

а)  Спро­еци­ру­ем вер­ши­ну S на плос­кость ABC. По­лу­чит­ся точка O  — центр пра­виль­но­го тре­уголь­ни­ка ABC. Зна­чит, AO\perp BC, а тогда, по тео­ре­ме о трех пер­пен­ди­ку­ля­рах AS\perp BC.

 

б)  Пусть M и N  — се­ре­ди­ны ребер AS и BC со­от­вет­ствен­но. AN  — ме­ди­а­на пра­виль­но­го тре­уголь­ни­ка ABC, сле­до­ва­тель­но, на­хо­дит­ся по фор­му­ле AN = дробь: чис­ли­тель: ко­рень из 3 , зна­ме­на­тель: 2 конец дроби AB=30. Пря­мая AS про­еци­ру­ет­ся на плос­кость ос­но­ва­ния и пря­мую AN. По­это­му про­ек­ция точки M  — точка M_1  — лежит на от­рез­ке AN. Зна­чит, пря­мая AN яв­ля­ет­ся про­ек­ци­ей пря­мой MN, сле­до­ва­тель­но, угол MNM_1  — ис­ко­мый.

MM_1\parallel SO, где O  — центр ос­но­ва­ния, зна­чит, MM_1}  — сред­няя линия тре­уголь­ни­ка ASO по­это­му AM_1= дробь: чис­ли­тель: 1, зна­ме­на­тель: 2 конец дроби AO. Тогда AM_1= дробь: чис­ли­тель: 1, зна­ме­на­тель: 3 конец дроби AN=10 и M_1N= дробь: чис­ли­тель: 2, зна­ме­на­тель: 3 конец дроби AN=20. Из пря­мо­уголь­но­го тре­уголь­ни­ка AMM_1 на­хо­дим:

MM_1= ко­рень из: на­ча­ло ар­гу­мен­та: AM в квад­ра­те минус AM_1 в квад­ра­те конец ар­гу­мен­та = ко­рень из: на­ча­ло ар­гу­мен­та: дробь: чис­ли­тель: 841, зна­ме­на­тель: 4 конец дроби минус 100 конец ар­гу­мен­та = дробь: чис­ли­тель: 21, зна­ме­на­тель: 2 конец дроби .

Из пря­мо­уголь­но­го тре­уголь­ни­ка MM_1N на­хо­дим:

\operatorname тан­генс \angle MNM_1= дробь: чис­ли­тель: MM_1, зна­ме­на­тель: M_1N конец дроби = дробь: чис­ли­тель: 21, зна­ме­на­тель: 40 конец дроби .

Зна­чит, ис­ко­мый угол равен \operatorname арк­тан­генс дробь: чис­ли­тель: 21, зна­ме­на­тель: 40 конец дроби .

Ответ: \operatorname арк­тан­генс дробь: чис­ли­тель: 21, зна­ме­на­тель: 40 конец дроби .





При­мер 1.

Оцените это решение в баллах:



Задание № 505535

В пра­виль­ной тре­уголь­ной пи­ра­ми­де SABC с ос­но­ва­ни­ем ABC из­вест­ны ребра AB=15 ко­рень из: на­ча­ло ар­гу­мен­та: 3 конец ар­гу­мен­та , SC  =  17.

а)  До­ка­жи­те, что AS\perp BC.

б)  Най­ди­те угол, об­ра­зо­ван­ный плос­ко­стью ос­но­ва­ния и пря­мой, про­хо­дя­щей через се­ре­ди­ны ребер AS и BC.


Решение

а)  Спро­еци­ру­ем вер­ши­ну S на плос­кость ABC. По­лу­чит­ся точка O  — центр пра­виль­но­го тре­уголь­ни­ка ABC. Зна­чит, AO\perp BC, а тогда, по тео­ре­ме о трех пер­пен­ди­ку­ля­рах AS\perp BC.

 

б)  Пусть M и N  — се­ре­ди­ны ребер AS и BC со­от­вет­ствен­но. AN  — ме­ди­а­на пра­виль­но­го тре­уголь­ни­ка ABC, сле­до­ва­тель­но, на­хо­дит­ся по фор­му­ле AN = дробь: чис­ли­тель: ко­рень из 3 , зна­ме­на­тель: 2 конец дроби AB= дробь: чис­ли­тель: 45, зна­ме­на­тель: 2 конец дроби . Пря­мая AS про­еци­ру­ет­ся на плос­кость ос­но­ва­ния и пря­мую AN. По­это­му про­ек­ция точки M  — точка M_1  — лежит на от­рез­ке AN. Зна­чит, пря­мая AN яв­ля­ет­ся про­ек­ци­ей пря­мой MN, сле­до­ва­тель­но, угол MNM_1  — ис­ко­мый.

MM_1\parallel SO, где O  — центр ос­но­ва­ния, зна­чит, MM_1}  — сред­няя линия тре­уголь­ни­ка ASO по­это­му AM_1= дробь: чис­ли­тель: 1, зна­ме­на­тель: 2 конец дроби AO. Тогда AM_1= дробь: чис­ли­тель: 1, зна­ме­на­тель: 3 конец дроби AN= дробь: чис­ли­тель: 15, зна­ме­на­тель: 2 конец дроби и M_1N= дробь: чис­ли­тель: 2, зна­ме­на­тель: 3 конец дроби AN= дробь: чис­ли­тель: 30, зна­ме­на­тель: 2 конец дроби . Из пря­мо­уголь­но­го тре­уголь­ни­ка AMM_1 на­хо­дим:

MM_1= ко­рень из: на­ча­ло ар­гу­мен­та: AM в квад­ра­те минус AM_1 в квад­ра­те конец ар­гу­мен­та = ко­рень из: на­ча­ло ар­гу­мен­та: дробь: чис­ли­тель: 289, зна­ме­на­тель: 4 конец дроби минус дробь: чис­ли­тель: 225, зна­ме­на­тель: 4 конец дроби конец ар­гу­мен­та =4.

Из пря­мо­уголь­но­го тре­уголь­ни­ка MM_1N на­хо­дим:

\operatorname тан­генс \angle MNM_1= дробь: чис­ли­тель: MM_1, зна­ме­на­тель: M_1N конец дроби = дробь: чис­ли­тель: 4, зна­ме­на­тель: 15 конец дроби .

Зна­чит, ис­ко­мый угол равен \operatorname арк­тан­генс дробь: чис­ли­тель: 4, зна­ме­на­тель: 15 конец дроби .

 

Ответ: \operatorname арк­тан­генс дробь: чис­ли­тель: 4, зна­ме­на­тель: 15 конец дроби .





При­мер 1.

Оцените это решение в баллах:



Задание № 505548

В пра­виль­ной тре­уголь­ной пи­ра­ми­де SABC с ос­но­ва­ни­ем ABC из­вест­ны ребра AB=8 ко­рень из: на­ча­ло ар­гу­мен­та: 3 конец ар­гу­мен­та , SC=10.

а)  До­ка­жи­те, что AS\perp BC.

б)  Най­ди­те угол, об­ра­зо­ван­ный плос­ко­стью ос­но­ва­ния и пря­мой, про­хо­дя­щей через се­ре­ди­ны ребер AS и BC.


Решение

а)  Спро­еци­ру­ем вер­ши­ну S на плос­кость ABC. По­лу­чит­ся точка O  — центр пра­виль­но­го тре­уголь­ни­ка ABC. Зна­чит, AO\perp BC, а тогда, по тео­ре­ме о трех пер­пен­ди­ку­ля­рах AS\perp BC.

 

б)  Пусть M и N  — се­ре­ди­ны ребер AS и BC со­от­вет­ствен­но. AN  — ме­ди­а­на пра­виль­но­го тре­уголь­ни­ка ABC, сле­до­ва­тель­но, на­хо­дит­ся по фор­му­ле AN = дробь: чис­ли­тель: ко­рень из 3 , зна­ме­на­тель: 2 конец дроби AB=12. Пря­мая AS про­еци­ру­ет­ся на плос­кость ос­но­ва­ния и пря­мую AN. По­это­му про­ек­ция точки M  — точка M_1  — лежит на от­рез­ке AN. Зна­чит, пря­мая AN яв­ля­ет­ся про­ек­ци­ей пря­мой MN, сле­до­ва­тель­но, угол MNM_1  — ис­ко­мый.

MM_1\parallel SO, где O  — центр ос­но­ва­ния, зна­чит, MM_1}  — сред­няя линия тре­уголь­ни­ка ASO по­это­му AM_1= дробь: чис­ли­тель: 1, зна­ме­на­тель: 2 конец дроби AO. Тогда AM_1= дробь: чис­ли­тель: 1, зна­ме­на­тель: 3 конец дроби AN=4 и M_1N= дробь: чис­ли­тель: 2, зна­ме­на­тель: 3 конец дроби AN=8. Из пря­мо­уголь­но­го тре­уголь­ни­ка AMM_1 на­хо­дим:

MM_1= ко­рень из: на­ча­ло ар­гу­мен­та: AM в квад­ра­те минус AM_1 в квад­ра­те конец ар­гу­мен­та = ко­рень из: на­ча­ло ар­гу­мен­та: 25 минус 16 конец ар­гу­мен­та =3.

Из пря­мо­уголь­но­го тре­уголь­ни­ка MM_1N на­хо­дим:

 тан­генс \angle MNM_1= дробь: чис­ли­тель: MM_1, зна­ме­на­тель: M_1N конец дроби = дробь: чис­ли­тель: 3, зна­ме­на­тель: 8 конец дроби .

Зна­чит, ис­ко­мый угол равен  арк­тан­генс дробь: чис­ли­тель: 3, зна­ме­на­тель: 8 конец дроби .

 

Ответ: \operatorname арк­тан­генс дробь: чис­ли­тель: 3, зна­ме­на­тель: 8 конец дроби .





При­мер 1.

Оцените это решение в баллах:



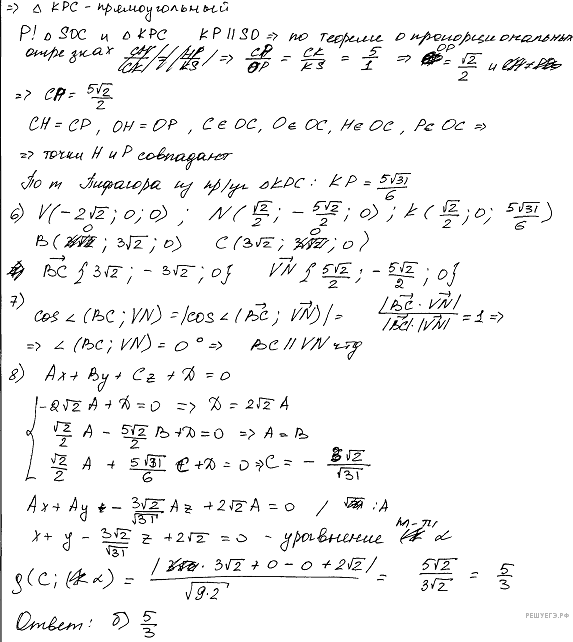
Задание № 505549

Дан куб ABCDA1B1C1D1.

а)  До­ка­жи­те, что плос­кость B_1CD_1 пер­пен­ди­ку­ляр­на пря­мой AC_1.

б)  Най­ди­те ко­си­нус угла между плос­ко­стя­ми AB1D1 и ACD1.


Решение

а)  Спро­еци­ру­ем пря­мую AC_1 на плос­ко­сти BCC_1 и DCC_1. По­лу­чат­ся пря­мые BC_1 и DC_1. Тогда, по тео­ре­ме о трех пер­пен­ди­ку­ля­рах, AC_1\perp B_1C и AC_1\perp D_1C. Тогда, по при­зна­ку пер­пен­ди­ку­ляр­но­сти пря­мой и плос­ко­сти, AC_1\perp B_1CD_1. Что и тре­бо­ва­лось до­ка­зать.

б)  Пусть точка M  — се­ре­ди­на от­рез­ка AD_1 При­мем длины ребер куба за a. Из пря­мо­уголь­но­го тре­уголь­ни­ка ABB_1 по тео­ре­ме Пи­фа­го­ра найдём AB_1:

AB_1= ко­рень из: на­ча­ло ар­гу­мен­та: AB в квад­ра­те плюс BB_1 в квад­ра­те конец ар­гу­мен­та =a ко­рень из: на­ча­ло ар­гу­мен­та: 2 конец ар­гу­мен­та .

Ана­ло­гич­но, B_1D_1=CD_1=AD_1=AC=B_1C=a ко­рень из: на­ча­ло ар­гу­мен­та: 2 конец ар­гу­мен­та . Опу­стим пер­пен­ди­ку­ля­ры B_1H и CK на сто­ро­ну AD_1 тре­уголь­ни­ки AB_1D_1 и ACD_1 рав­но­сто­рон­ние, по­это­му пер­пен­ди­ку­ля­ры B_1H и CK также яв­ля­ют­ся бис­сек­три­са­ми и ме­ди­а­на­ми, по­это­му точки H, K и M сов­па­да­ют. Угол B_1MC  — ис­ко­мый. Из пря­мо­уголь­но­го тре­уголь­ни­ка AB_1M:

B_1M= ко­рень из: на­ча­ло ар­гу­мен­та: AB_1 в квад­ра­те минус AM в квад­ра­те конец ар­гу­мен­та = ко­рень из: на­ча­ло ар­гу­мен­та: AB_1 в квад­ра­те минус левая круг­лая скоб­ка дробь: чис­ли­тель: AD_1, зна­ме­на­тель: 2 конец дроби пра­вая круг­лая скоб­ка в квад­ра­те конец ар­гу­мен­та = ко­рень из: на­ча­ло ар­гу­мен­та: 2a в квад­ра­те минус дробь: чис­ли­тель: a в квад­ра­те , зна­ме­на­тель: 2 конец дроби конец ар­гу­мен­та = дробь: чис­ли­тель: a ко­рень из: на­ча­ло ар­гу­мен­та: 3 конец ар­гу­мен­та , зна­ме­на­тель: ко­рень из: на­ча­ло ар­гу­мен­та: 2 конец ар­гу­мен­та конец дроби .

По тео­ре­ме ко­си­ну­сов из тре­уголь­ни­ка B_1MC:

 ко­си­нус \angle B_1MC= дробь: чис­ли­тель: B_1M в квад­ра­те плюс MC в квад­ра­те минус B_1C в квад­ра­те , зна­ме­на­тель: 2B_1M умно­жить на MC конец дроби = дробь: чис­ли­тель: \dfrac3a в квад­ра­те , зна­ме­на­тель: 2 конец дроби плюс \dfrac3a в квад­ра­те 2 минус 2a в квад­ра­те 2 умно­жить на \dfraca ко­рень из: на­ча­ло ар­гу­мен­та: 3 конец ар­гу­мен­та ко­рень из: на­ча­ло ар­гу­мен­та: 2 конец ар­гу­мен­та умно­жить на \dfraca ко­рень из: на­ча­ло ар­гу­мен­та: 3 конец ар­гу­мен­та ко­рень из: на­ча­ло ар­гу­мен­та: 2 конец ар­гу­мен­та }= дробь: чис­ли­тель: 1, зна­ме­на­тель: 3 конец дроби .

 

Ответ:  дробь: чис­ли­тель: 1, зна­ме­на­тель: 3 конец дроби .





При­мер 1.

Оцените это решение в баллах:

При­мер 2.

Оцените это решение в баллах:

При­мер 3.

Оцените это решение в баллах:



Задание № 507592

Дан па­рал­ле­ле­пи­пед ABCDA1B1C1D1.

а)  До­ка­жи­те, что плос­ко­сти A_1BD и B_1CD_1 па­рал­лель­ны.

б)  Пусть из­вест­но еще, что па­рал­ле­ле­пи­пед пря­мо­уголь­ный, а кроме того AB  =  6, BC  =  6, CC1  =  4. Най­ди­те тан­генс угла между плос­ко­стя­ми ACD1 и A1B1C1.


Решение

а)  За­ме­тим, что пря­мые A_1B и D_1C лежат в одной плос­ко­сти и не пе­ре­се­ка­ют­ся, так как лежат еще и в па­рал­лель­ных плос­ко­стях со­дер­жа­щих про­ти­во­по­лож­ные грани па­рал­ле­ле­пи­пе­да. Сле­до­ва­тель­но, они па­рал­лель­ны. Из ана­ло­гич­ных со­об­ра­же­ний па­рал­лель­ны пря­мые BD и B_1D_1. Но тогда, по при­зна­ку па­рал­лель­но­сти плос­ко­стей, по­лу­ча­ем па­рал­лель­ность A_1BD и B_1CD_1, что и тре­бо­ва­лось.

б)  Вме­сто плос­ко­сти A_1B_1C_1 возь­мем па­рал­лель­ную ей плос­кость ABC. Пусть E  — се­ре­ди­на AC.  D_1E\perp AC, DE \perp AC. Зна­чит, угол DED_1  — ли­ней­ный угол ис­ко­мо­го угла. Из пря­мо­уголь­но­го тре­уголь­ни­ка D_1DE на­хо­дим

 тан­генс \angleDED_1= дробь: чис­ли­тель: DD_1, зна­ме­на­тель: DE конец дроби = дробь: чис­ли­тель: 4, зна­ме­на­тель: 3 ко­рень из: на­ча­ло ар­гу­мен­та: 2 конец ар­гу­мен­та конец дроби = дробь: чис­ли­тель: 2 ко­рень из: на­ча­ло ар­гу­мен­та: 2 конец ар­гу­мен­та , зна­ме­на­тель: 3 конец дроби .

Ответ:  дробь: чис­ли­тель: 2 ко­рень из: на­ча­ло ар­гу­мен­та: 2 конец ар­гу­мен­та , зна­ме­на­тель: 3 конец дроби .





При­мер 5.

Оцените это решение в баллах:

При­мер 6.

Оцените это решение в баллах:



Задание № 513094

В пра­виль­ной тре­уголь­ной пи­ра­ми­де SABC сто­ро­на ос­но­ва­ния AB равна 12, а бо­ко­вое ребро SA равно 8. Точки M и N  — се­ре­ди­ны рёбер SA и SB со­от­вет­ствен­но. Плос­кость α со­дер­жит пря­мую MN и пер­пен­ди­ку­ляр­на плос­ко­сти ос­но­ва­ния пи­ра­ми­ды.

а)  До­ка­жи­те, что плос­кость α делит ме­ди­а­ну CE ос­но­ва­ния в от­но­ше­нии 5 : 1, счи­тая от точки C.

б)  Най­ди­те объём пи­ра­ми­ды, вер­ши­ной ко­то­рой яв­ля­ет­ся точка C, а ос­но­ва­ни­ем  — се­че­ние пи­ра­ми­ды SABC плос­ко­стью α.


Решение

а)  В ос­но­ва­нии пра­виль­ной тре­уголь­ной пи­ра­ми­ды лежит рав­но­сто­рон­ний тре­уголь­ник. Про­ек­ция вы­со­ты S пи­ра­ми­ды на ос­но­ва­ние дает точку O, ко­то­рая лежит на пе­ре­се­че­нии ме­ди­ан. Таким об­ра­зом, точка O делит ме­ди­а­ны в от­но­ше­нии 2 : 1, то есть OC= дробь: чис­ли­тель: 2, зна­ме­на­тель: 3 конец дроби CE.

Рас­смот­рим вы­со­ту SE тре­уголь­ни­ка SAB. Точка F1 яв­ля­ет­ся ее се­ре­ди­ной. Сле­до­ва­тель­но, ее про­ек­ция на ме­ди­а­ну CE делит от­ре­зок OE по­по­лам. В свою оче­редь, от­ре­зок OE= дробь: чис­ли­тель: 1, зна­ме­на­тель: 3 конец дроби CE, тогда EF=OF= дробь: чис­ли­тель: CE, зна­ме­на­тель: 3 конец дроби : 2= дробь: чис­ли­тель: 1, зна­ме­на­тель: 6 конец дроби CE.

В итоге по­лу­ча­ем, что точка F делит ме­ди­а­ну CE как CF= дробь: чис­ли­тель: 5, зна­ме­на­тель: 6 конец дроби CE или в со­от­но­ше­нии 5 : 1, на­чи­ная от точки C. Что и тре­бо­ва­лось до­ка­зать.

б)  Най­дем вы­со­ту ис­ко­мой пи­ра­ми­ды CF= дробь: чис­ли­тель: 5, зна­ме­на­тель: 6 конец дроби CE. Ме­ди­а­ну СЕ най­дем по тео­ре­ме Пи­фа­го­ра из пря­мо­уголь­но­го тре­уголь­ни­ка BCE:

CE= ко­рень из: на­ча­ло ар­гу­мен­та: 12 в квад­ра­те минус 6 в квад­ра­те конец ар­гу­мен­та =6 ко­рень из 3 ,OC= дробь: чис­ли­тель: 2, зна­ме­на­тель: 3 конец дроби умно­жить на 6 ко­рень из 3 =4 ко­рень из 3 ,CF= дробь: чис­ли­тель: 5, зна­ме­на­тель: 6 конец дроби умно­жить на 6 ко­рень из 3 =5 ко­рень из 3 .

Вы­чис­лим пло­щадь ос­но­ва­ния пи­ра­ми­ды (пло­щадь тра­пе­ции MNZK). От­ре­зок KZ= дробь: чис­ли­тель: 5, зна­ме­на­тель: 6 конец дроби умно­жить на 12=10, от­ре­зок MN= дробь: чис­ли­тель: 12, зна­ме­на­тель: 2 конец дроби =6 (по­сколь­ку это сред­няя линия тре­уголь­ни­ка ABS), вы­со­та тра­пе­ции FF_1= дробь: чис­ли­тель: 1, зна­ме­на­тель: 2 конец дроби SO. Най­дем вы­со­ту SO из пря­мо­уголь­но­го тре­уголь­ни­ка SOC:

SO= ко­рень из: на­ча­ло ар­гу­мен­та: SC в квад­ра­те минус OC в квад­ра­те конец ар­гу­мен­та = ко­рень из: на­ча­ло ар­гу­мен­та: 64 минус 48 конец ар­гу­мен­та =4,FF_1= дробь: чис­ли­тель: 4, зна­ме­на­тель: 2 конец дроби =2.

Пло­щадь тра­пе­ции (ос­но­ва­ния пи­ра­ми­ды) равна

S= дробь: чис­ли­тель: 10 плюс 6, зна­ме­на­тель: 2 конец дроби умно­жить на 2=16.

Объем пи­ра­ми­ды най­дем по фор­му­ле

V= дробь: чис­ли­тель: 1, зна­ме­на­тель: 3 конец дроби S умно­жить на h= дробь: чис­ли­тель: 1, зна­ме­на­тель: 3 конец дроби умно­жить на 16 умно­жить на 5 ко­рень из 3 = дробь: чис­ли­тель: 80 ко­рень из 3 , зна­ме­на­тель: 3 конец дроби .

Ответ: б)  дробь: чис­ли­тель: 80 ко­рень из 3 , зна­ме­на­тель: 3 конец дроби .





При­мер 1.

Оцените это решение в баллах:



Задание № 513095

В пра­виль­ной тре­уголь­ной пи­ра­ми­де SABC сто­ро­на ос­но­ва­ния AB равна 6, а бо­ко­вое ребро SA равно 4 ко­рень из 3 . Точки M и N  — се­ре­ди­ны рёбер SA и SB со­от­вет­ствен­но. Плос­кость α со­дер­жит пря­мую MN и пер­пен­ди­ку­ляр­на плос­ко­сти ос­но­ва­ния пи­ра­ми­ды.

а)  До­ка­жи­те, что плос­кость α делит ме­ди­а­ну CL ос­но­ва­ния в от­но­ше­нии 5 : 1, счи­тая от точки C.

б)  Най­ди­те пло­щадь мно­го­уголь­ни­ка, яв­ля­ю­ще­го­ся се­че­ни­ем пи­ра­ми­ды SABC плос­ко­стью α.


Решение

а)  От­ме­тим точку L  — се­ре­ди­ну AB, O  — ос­но­ва­ние вы­со­ты пи­ра­ми­ды, опу­щен­ной из вер­ши­ны S (точка пе­ре­се­че­ния ме­ди­ан тре­уголь­ни­ка ABC), K  — точку пе­ре­се­че­ния SL и MN (оче­вид­но, их общую се­ре­ди­ну) и O_1  — ос­но­ва­ние пер­пен­ди­ку­ля­ра из K на плос­кость ABC. По­сколь­ку KO_1\parallel SO и KL= дробь: чис­ли­тель: 1, зна­ме­на­тель: 2 конец дроби SL, то KO_1  — сред­няя линия тре­уголь­ни­ка SOL, по­это­му

LO_1=O_1O= дробь: чис­ли­тель: 1, зна­ме­на­тель: 2 конец дроби LO= дробь: чис­ли­тель: 1, зна­ме­на­тель: 6 конец дроби LC,

от­ку­да LO_1:O_1C=1:5. Оста­лось за­ме­тить, что O_1 это и есть ис­ко­мая точка пе­ре­се­че­ния пря­мой и плос­ко­сти.

б)  Про­ве­дем через O_1 пря­мую, па­рал­лель­ную AB. Обо­зна­чим ее точки пе­ре­се­че­ния со сто­ро­на­ми AC и BC за M_1 и N_1 со­от­вет­ствен­но. Тогда MNN_1M_1  — ис­ко­мое се­че­ние, при­чем MN\parallel AB\parallel M_1N_1, по­это­му это тра­пе­ция.

Ее ос­но­ва­ния равны MN= дробь: чис­ли­тель: 1, зна­ме­на­тель: 2 конец дроби AB и M_1N_1= дробь: чис­ли­тель: 5, зна­ме­на­тель: 6 конец дроби AB левая круг­лая скоб­ка M_1N_1:AB=M_1C:AC=O_1C:LC пра­вая круг­лая скоб­ка , а вы­со­та

KO_1= дробь: чис­ли­тель: 1, зна­ме­на­тель: 2 конец дроби SO= дробь: чис­ли­тель: 1, зна­ме­на­тель: 2 конец дроби ко­рень из: на­ча­ло ар­гу­мен­та: SC в квад­ра­те минус дробь: чис­ли­тель: 4, зна­ме­на­тель: 9 конец дроби LC в квад­ра­те конец ар­гу­мен­та = дробь: чис­ли­тель: 1, зна­ме­на­тель: 2 конец дроби ко­рень из: на­ча­ло ар­гу­мен­та: 48 минус дробь: чис­ли­тель: 4, зна­ме­на­тель: 9 конец дроби умно­жить на 34 AC в квад­ра­те конец ар­гу­мен­та = дробь: чис­ли­тель: 1, зна­ме­на­тель: 2 конец дроби ко­рень из: на­ча­ло ар­гу­мен­та: 48 минус дробь: чис­ли­тель: 1, зна­ме­на­тель: 3 конец дроби умно­жить на 36 конец ар­гу­мен­та =3.

Зна­чит S_MNN_1M_1= дробь: чис­ли­тель: 3 левая круг­лая скоб­ка 3 плюс 5 пра­вая круг­лая скоб­ка , зна­ме­на­тель: 2 конец дроби =12.

 

Ответ: 12.





При­мер 2.

Оцените это решение в баллах:



Задание № 513096

В пра­виль­ной тре­уголь­ной пи­ра­ми­де SABC сто­ро­на ос­но­ва­ния AB равна 6, а бо­ко­вое ребро SA равно 4. Точки M и N  — се­ре­ди­ны рёбер SA и SB со­от­вет­ствен­но. Плос­кость α со­дер­жит пря­мую MN и пер­пен­ди­ку­ляр­на плос­ко­сти ос­но­ва­ния пи­ра­ми­ды.

а)  До­ка­жи­те, что плос­кость α делит ме­ди­а­ну CE ос­но­ва­ния в от­но­ше­нии 5 : 1, счи­тая от точки C.

б)  Най­ди­те пе­ри­метр мно­го­уголь­ни­ка, яв­ля­ю­ще­го­ся се­че­ни­ем пи­ра­ми­ды SABC плос­ко­стью α.


Решение

Се­че­ние (плос­кость α) про­хо­дит через точки M и N, при­чем MN  — сред­няя линия. Это озна­ча­ет, что от­ре­зок MN || AB сле­до­ва­тель­но, MN || (ABC). По усло­вию се­ку­щая плос­кость пер­пен­ди­ку­ляр­на плос­ко­сти ABC, сле­до­ва­тель­но, она пе­ре­се­ка­ет плос­кость ABC по уров­ню PQ, при­чем PQ || MN. Таким об­ра­зом, се­ку­щая плос­кость пред­став­ля­ет собой тра­пе­цию PMNQ. Рас­смот­рим пря­мо­уголь­ный тре­уголь­ник SOE, где SO  — вы­со­та пра­виль­ной пи­ра­ми­ды. Точка O лежит на пе­ре­се­че­нии ме­ди­ан пра­виль­но­го тре­уголь­ни­ка (в ос­но­ва­нии пи­ра­ми­ды) и делит их в от­но­ше­нии 2 : 1, то есть

CO= дробь: чис­ли­тель: 2, зна­ме­на­тель: 3 конец дроби CE.

Точка K яв­ля­ет­ся се­ре­ди­ной от­рез­ка MN, при­чем KZCE, от­ку­да сле­ду­ет, что KZ || SO, сле­до­ва­тель­но, ZE  =  ZO. Так как EO= дробь: чис­ли­тель: 1, зна­ме­на­тель: 3 конец дроби CE, то

ZE= левая круг­лая скоб­ка дробь: чис­ли­тель: 1, зна­ме­на­тель: 3 конец дроби :2 пра­вая круг­лая скоб­ка умно­жить на CE= дробь: чис­ли­тель: 1, зна­ме­на­тель: 6 конец дроби CE.

Таким об­ра­зом, по­лу­ча­ем, что CZ : ZE  =  5 : 1.

б)  Най­дем пе­ри­метр тра­пе­ции MNPQ: P  =  MN + NQ + PQ + MP, где

MN= дробь: чис­ли­тель: 1, зна­ме­на­тель: 2 конец дроби AB=3,PQ= дробь: чис­ли­тель: 5, зна­ме­на­тель: 6 конец дроби AB= дробь: чис­ли­тель: 5, зна­ме­на­тель: 6 конец дроби умно­жить на 6=5.

Для вы­чис­ле­ния сто­рон MP  =  NQ, най­дем вы­со­ту

KZ= дробь: чис­ли­тель: 1, зна­ме­на­тель: 2 конец дроби SO= дробь: чис­ли­тель: 1, зна­ме­на­тель: 2 конец дроби умно­жить на 2=1.

(Ве­ли­чи­на SO  =  2, на­хо­дит­ся по тео­ре­ме Пи­фа­го­ра из пря­мо­уголь­но­го тре­уголь­ни­ка SOC, учи­ты­вая, что OC  — ра­ди­ус опи­сан­ной окруж­но­сти во­круг рав­но­сто­рон­не­го тре­уголь­ни­ка и равен OC= дробь: чис­ли­тель: 6, зна­ме­на­тель: ко­рень из 3 конец дроби . Длину от­рез­ка NQ най­дем из пря­мо­уголь­но­го тре­уголь­ни­ка NHQ (смот­ри ри­су­нок).)

Катет NH  =  KZ  =  1, а катет HQ равен

HQ= дробь: чис­ли­тель: PQ минус MN, зна­ме­на­тель: 2 конец дроби = дробь: чис­ли­тель: 5 минус 3, зна­ме­на­тель: 2 конец дроби =1,NQ= ко­рень из: на­ча­ло ар­гу­мен­та: 1 в квад­ра­те плюс 1 в квад­ра­те конец ар­гу­мен­та = ко­рень из 2 .

По­лу­ча­ем зна­че­ние пе­ри­мет­ра

P=5 плюс 3 плюс ко­рень из 2 плюс ко­рень из 2 =8 плюс 2 ко­рень из 2 .

 

Ответ: 8 плюс 2 ко­рень из 2 .





При­мер 3.

Оцените это решение в баллах:



Задание № 513097

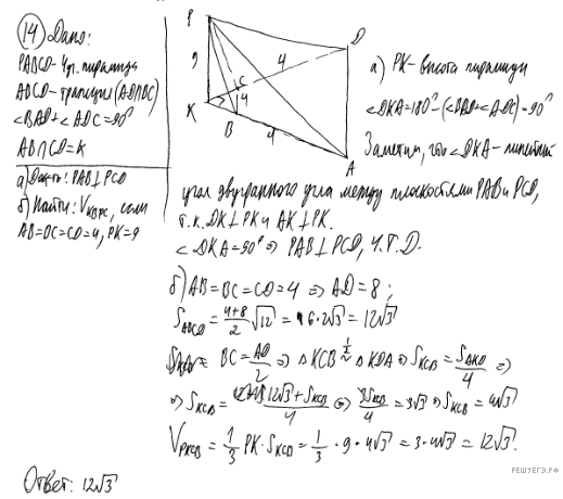
В ос­но­ва­нии четырёхуголь­ной пи­ра­ми­ды SABCD лежит пря­мо­уголь­ник ABCD со сто­ро­на­ми AB  =  12 и BC=5 ко­рень из 3 . Длины бо­ко­вых рёбер пи­ра­ми­ды SA  =  5, SB  =  13, SD  =  10.

а)  До­ка­жи­те, что SA  — вы­со­та пи­ра­ми­ды.

б)  Най­ди­те рас­сто­я­ние от вер­ши­ны A до плос­ко­сти SBC.


Решение

а)  За­ме­тим, что AB в квад­ра­те плюс SA в квад­ра­те =SB в квад­ра­те и SA в квад­ра­те плюс AD в квад­ра­те =SD в квад­ра­те , по­это­му сто­ро­ны SA и AB, SA и AD пер­пен­ди­ку­ляр­ны, зна­чит, ребро SA пер­пен­ди­ку­ляр­но плос­ко­сти ос­но­ва­ния пи­ра­ми­ды.

б)  Опу­стим из A пер­пен­ди­ку­ляр на SB. Он будет пер­пен­ди­ку­ля­рен также BC, по­сколь­ку сто­ро­на BC пер­пен­ди­ку­ляр­на плос­ко­сти ASB, так как сто­ро­ны SA и BC, AB и BC пер­пен­ди­ку­ляр­ны. По­это­му его длина и есть рас­сто­я­ние от A до плос­ко­сти SBC. Вы­чис­лим ее:

d левая круг­лая скоб­ка A,SB пра­вая круг­лая скоб­ка = дробь: чис­ли­тель: 2S_ASB, зна­ме­на­тель: SB конец дроби = дробь: чис­ли­тель: 5 умно­жить на 12, зна­ме­на­тель: 13 конец дроби = дробь: чис­ли­тель: 60, зна­ме­на­тель: 13 конец дроби .

Ответ:  дробь: чис­ли­тель: 60, зна­ме­на­тель: 13 конец дроби .





При­мер 4.

Оцените это решение в баллах:

При­мер 6.

Оцените это решение в баллах:



Задание № 513098

В ос­но­ва­нии четырёхуголь­ной пи­ра­ми­ды SABCD лежит пря­мо­уголь­ник ABCD со сто­ро­на­ми AB  =  4 и BC  =  3. Длины бо­ко­вых рёбер пи­ра­ми­ды SA= ко­рень из: на­ча­ло ар­гу­мен­та: 11 конец ар­гу­мен­та ,SB=3 ко­рень из 3 ,SD=2 ко­рень из 5 .

а)  До­ка­жи­те, что SA  — вы­со­та пи­ра­ми­ды.

б)  Най­ди­те угол между пря­мой SC и плос­ко­стью ASB.


Решение

а)  Рас­смот­рим тре­уголь­ник SAB, у ко­то­ро­го сто­ро­ны SA= ко­рень из: на­ча­ло ар­гу­мен­та: 11 конец ар­гу­мен­та , AB=4 и SB=3 ко­рень из 3 . Зна­че­ния этих сто­рон удо­вле­тво­ря­ют ра­вен­ству SB в квад­ра­те =SA в квад­ра­те плюс AB в квад­ра­те , сле­до­ва­тель­но, тре­уголь­ник SAB пря­мо­уголь­ный, SAAB.

Рас­смот­рим тре­уголь­ник SAD со сто­ро­на­ми SA= ко­рень из: на­ча­ло ар­гу­мен­та: 11 конец ар­гу­мен­та ,AD=3,SD=2 ко­рень из 5 . Длины сто­рон тре­уголь­ни­ка удо­вле­тво­ря­ют ра­вен­ству SD в квад­ра­те =SA в квад­ра­те плюс AD в квад­ра­те , то есть он яв­ля­ет­ся пря­мо­уголь­ным, SA ⊥ AD.

Из пер­пен­ди­ку­ляр­но­сти SA ⊥ AB и SA ⊥ AD сле­ду­ет, что SA ⊥ (ABC) и, сле­до­ва­тель­но, SA  — вы­со­та пи­ра­ми­ды.

б)  Из п а) CB\perp SA. Кроме того, CB\perp AB, сле­до­ва­тель­но, CB\perp SAB. Таким об­ра­зом, про­ек­ци­ей SC на плос­кость SAB будет пря­мая SB. Зна­чит, нужно найти угол между пря­мы­ми SC и SB, то есть угол φ = ∠CSB.

Рас­смот­рим пря­мо­уголь­ный тре­уголь­ник SCB. Тан­генс угла φ равен

 тан­генс \varphi= дробь: чис­ли­тель: CB, зна­ме­на­тель: SB конец дроби = дробь: чис­ли­тель: 3, зна­ме­на­тель: 3 ко­рень из 3 конец дроби = дробь: чис­ли­тель: 1, зна­ме­на­тель: ко­рень из 3 конец дроби рав­но­силь­но \varphi= арк­тан­генс дробь: чис­ли­тель: 1, зна­ме­на­тель: ко­рень из 3 конец дроби =30 гра­ду­сов.

Ответ: 30°.

 

При­ме­ча­ние.

Можно было бы найти ко­си­ну­сы углов DAS и BAS из тре­уголь­ни­ков DAS и BAS, при­ме­нив по тео­ре­му ко­си­ну­сов. Оба ко­си­ну­са равны нулю, из чего сле­ду­ет, что пря­мая SA пер­пен­ди­ку­ляр­на двух пе­ре­се­ка­ю­щим­ся пря­мым DA и BA, ле­жа­щим в одной плос­ко­сти. Тогда по при­зна­ку пер­пен­ди­ку­ляр­но­сти пря­мой и плос­ко­сти, пря­мая SA пер­пен­ди­ку­ляр­на плос­ко­сти ос­но­ва­ния, а ребро SA  — вы­со­та пи­ра­ми­ды.

 

При­ме­ча­ние 2.

Ре­ко­мен­ду­ем срав­нить эту за­да­чу с за­да­чей 637818.





При­мер 5.

Оцените это решение в баллах:



Задание № 515920

В ос­но­ва­нии четырёхуголь­ной пи­ра­ми­ды SABCD лежит пря­мо­уголь­ник ABCD со сто­ро­на­ми AB  =  8 и BC  =  6. Длины бо­ко­вых рёбер пи­ра­ми­ды SA= ко­рень из: на­ча­ло ар­гу­мен­та: 21 конец ар­гу­мен­та ,SB= ко­рень из: на­ча­ло ар­гу­мен­та: 85 конец ар­гу­мен­та ,SD= ко­рень из: на­ча­ло ар­гу­мен­та: 57 конец ар­гу­мен­та .

а)  До­ка­жи­те, что SA  — вы­со­та пи­ра­ми­ды.

б)  Най­ди­те угол между пря­мы­ми SC и BD.


Решение

В тре­уголь­ни­ке SAB имеем: SB в квад­ра­те =85=21 плюс 64=SA в квад­ра­те плюс AB в квад­ра­те , по­это­му тре­уголь­ник SAB пря­мо­уголь­ный с ги­по­те­ну­зой SB и пря­мым углом SAB. Ана­ло­гич­но, из ра­вен­ства SD в квад­ра­те =57=21 плюс 36=SA в квад­ра­те плюс AD в квад­ра­те по­лу­ча­ем, что \angle SAD=90 гра­ду­сов. Так как пря­мая SA пер­пен­ди­ку­ляр­ная пря­мым AB и AD, пря­мая SA пер­пен­ди­ку­ляр­на плос­ко­сти ABD.

б)  На пря­мой AB от­ме­тим такую точку E, что BDCE  — па­рал­ле­ло­грамм, тогда BE  =  DC  =  AB и DB  =  CE. Найдём угол SCE. По тео­ре­ме Пи­фа­го­ра: AC=BD= ко­рень из: на­ча­ло ар­гу­мен­та: AB в квад­ра­те плюс AD в квад­ра­те конец ар­гу­мен­та =10, SC= ко­рень из: на­ча­ло ар­гу­мен­та: SA в квад­ра­те плюс AC в квад­ра­те конец ар­гу­мен­та =11 и SE в квад­ра­те =SA в квад­ра­те плюс AE в квад­ра­те =277.

По тео­ре­ме ко­си­ну­сов:

SE в квад­ра­те =SC в квад­ра­те плюс CE в квад­ра­те минус 2SC умно­жить на CE умно­жить на ко­си­нус \angle SCE рав­но­силь­но 277=121 плюс 100 минус 220 ко­си­нус \angle SCE рав­но­силь­но ко­си­нус \angle SCE= минус дробь: чис­ли­тель: 14, зна­ме­на­тель: 55 конец дроби .

Ис­ко­мый угол равен  арк­ко­си­нус дробь: чис­ли­тель: 14, зна­ме­на­тель: 55 конец дроби .

 

Ответ: б)  арк­ко­си­нус дробь: чис­ли­тель: 14, зна­ме­на­тель: 55 конец дроби .





При­мер 1.

Оцените это решение в баллах:

При­мер 2.

Оцените это решение в баллах:

При­мер 3.

Оцените это решение в баллах:



Задание № 559482


Решение





При­мер 1

Оцените это решение в баллах:

Оцените это решение в баллах:

При­мер 3

Оцените это решение в баллах:



Задание № 559484


Решение





При­мер 1

Оцените это решение в баллах:

При­мер 2

Оцените это решение в баллах:

При­мер 3

Оцените это решение в баллах:



Задание № 559486


Решение





При­мер 1

Оцените это решение в баллах:

При­мер 2

Оцените это решение в баллах:



Наверх
Вернуться на основную страницу «Школы экспертов»