Школа экспертов
Вернуться на основную страницу «Школы экспертов»

Ниже представлены ученические решения экзаменационных заданий. Оцените каждое из них в соответствии с критериями проверки заданий ЕГЭ. После нажатия кнопки «Проверить» вы узнаете правильный балл за каждое из решений. В конце будут подведены итоги.

Задание 513106
Задание 513107
Задание 513108
Задание 513109
Задание 517449
Задание 559526
Задание 559535


Задание № 513106

15-го ян­ва­ря был выдан по­лу­го­до­вой кре­дит на раз­ви­тие биз­не­са. В таб­ли­це пред­став­лен гра­фик его по­га­ше­ния.

 

Дата15.0115.0215.0315.0415.0515.0615.07
Долг (в про­цен­тах от кре­ди­та)100%90%80%70%60%50%0%

 

В конце каж­до­го ме­ся­ца, на­чи­ная с ян­ва­ря, те­ку­щий долг уве­ли­чи­вал­ся на 5%, а вы­пла­ты по по­га­ше­нию кре­ди­та про­ис­хо­ди­ли в пер­вой по­ло­ви­не каж­до­го ме­ся­ца, на­чи­ная с фев­ра­ля. На сколь­ко про­цен­тов общая сумма вы­плат при таких усло­ви­ях боль­ше суммы са­мо­го кре­ди­та?


Решение

Не сни­жая общ­но­сти рас­суж­де­ний, при­мем на­чаль­ную сумму кре­ди­та за 100 руб. и будем счи­тать, что вы­пла­ты про­из­во­ди­лись 14 числа каж­до­го ме­ся­ца. Со­ста­вим таб­ли­цу вы­плат:

 

Дата14.0214.0314.0414.0514.0614.07
Долг, руб.10594,58473,56352,5
Вы­пла­та, руб.1514,51413,51352,5
Оста­ток долга на день вы­пла­ты, руб.90807060500
Оста­ток долга на день вы­пла­ты, %90%80%70%60%50%0%

 

Таким об­ра­зом, пол­ная сумма вы­плат равна 15 + 14,5 + 14 + 13,5 +13 + 52,5  =  122,5 руб., пе­ре­пла­та со­ста­ви­ла 22,5%.

 

Ответ: 22,5.



Кри­те­рии оце­ни­ва­ния вы­пол­не­ния за­да­нияБаллы
Обос­но­ван­но по­лу­чен вер­ный ответ2
Верно по­стро­е­на ма­те­ма­ти­че­ская мо­дель1
Ре­ше­ние не со­от­вет­ству­ет ни од­но­му из кри­те­ри­ев, пе­ре­чис­лен­ных выше0
Мак­си­маль­ный балл2


При­мер 3.

Оцените это решение в баллах:



Задание № 513107

В июле пла­ни­ру­ет­ся взять кре­дит в банке на сумму 28 млн руб­лей на не­ко­то­рый срок (целое число лет). Усло­вия его воз­вра­та та­ко­вы:

  — каж­дый ян­варь долг воз­рас­та­ет на 25% по срав­не­нию с кон­цом преды­ду­ще­го года;

  — с фев­ра­ля по июнь каж­до­го года не­об­хо­ди­мо вы­пла­тить часть долга;

  — в июле каж­до­го года долг дол­жен быть на одну и ту же сумму мень­ше долга на июль преды­ду­ще­го года.

Чему будет равна общая сумма вы­плат после пол­но­го по­га­ше­ния кре­ди­та, если наи­боль­ший го­до­вой платёж со­ста­вит 9 млн руб­лей?


Решение

Пусть кре­дит пла­ни­ру­ет­ся взять на n лет. Долг перед бан­ком (в млн руб­лей) по со­сто­я­нию на июль дол­жен умень­шать­ся до нуля рав­но­мер­но:

28, дробь: чис­ли­тель: 28 левая круг­лая скоб­ка n минус 1 пра­вая круг­лая скоб­ка , зна­ме­на­тель: n конец дроби ,..., дробь: чис­ли­тель: 28 умно­жить на 2, зна­ме­на­тель: n конец дроби , дробь: чис­ли­тель: 28, зна­ме­на­тель: n конец дроби ,0.

По усло­вию, каж­дый ян­варь долг воз­рас­та­ет на 25%, зна­чит, по­сле­до­ва­тель­ность раз­ме­ров долга (в млн руб­лей) в ян­ва­ре та­ко­ва:

35, дробь: чис­ли­тель: 35 левая круг­лая скоб­ка n минус 1 пра­вая круг­лая скоб­ка , зна­ме­на­тель: n конец дроби ,..., дробь: чис­ли­тель: 35 умно­жить на 2, зна­ме­на­тель: n конец дроби , дробь: чис­ли­тель: 35, зна­ме­на­тель: n конец дроби .

Сле­до­ва­тель­но, вы­пла­ты (в млн руб­лей) долж­ны быть сле­ду­ю­щи­ми:

7 плюс дробь: чис­ли­тель: 28, зна­ме­на­тель: n конец дроби , дробь: чис­ли­тель: 7 левая круг­лая скоб­ка n минус 1 пра­вая круг­лая скоб­ка плюс 28, зна­ме­на­тель: n конец дроби ,..., дробь: чис­ли­тель: 7 умно­жить на 2 плюс 28, зна­ме­на­тель: n конец дроби , дробь: чис­ли­тель: 7 плюс 28, зна­ме­на­тель: n конец дроби .

По­лу­ча­ем: 7 плюс дробь: чис­ли­тель: 28, зна­ме­на­тель: n конец дроби = 9, от­ку­да n=14. Зна­чит, всего сле­ду­ет вы­пла­тить

28 плюс 7 левая круг­лая скоб­ка 1 плюс дробь: чис­ли­тель: 13, зна­ме­на­тель: 14 конец дроби плюс ... плюс дробь: чис­ли­тель: 2, зна­ме­на­тель: 14 конец дроби плюс дробь: чис­ли­тель: 1, зна­ме­на­тель: 14 конец дроби пра­вая круг­лая скоб­ка =28 плюс 7 умно­жить на дробь: чис­ли­тель: 15, зна­ме­на­тель: 2 конец дроби =80,5 (млн. руб­лей).

 

Ответ: 80,5.

 

При­ведём дру­гое ре­ше­ние.

 

По усло­вию долг умень­ша­ет­ся по ариф­ме­ти­че­ской про­грес­сии:

28,28 минус d,28 минус 2d,...,0.

Пер­вая вы­пла­та равна 28 умно­жить на 1,25 минус левая круг­лая скоб­ка 28 минус d пра­вая круг­лая скоб­ка =7 плюс d.

Вто­рая вы­пла­та равна  левая круг­лая скоб­ка 28 минус d пра­вая круг­лая скоб­ка умно­жить на 1,25 минус левая круг­лая скоб­ка 28 минус 2d пра­вая круг­лая скоб­ка =7 плюс 0,75d.

Тре­тья вы­пла­та равна  левая круг­лая скоб­ка 28 минус 2d пра­вая круг­лая скоб­ка умно­жить на 1,25 минус левая круг­лая скоб­ка 28 минус 3d пра­вая круг­лая скоб­ка =7 плюс 0,5d.

Чет­вер­тая вы­пла­та равна  левая круг­лая скоб­ка 28 минус 3d пра­вая круг­лая скоб­ка умно­жить на 1,25 минус левая круг­лая скоб­ка 28 минус 4d пра­вая круг­лая скоб­ка =7 плюс 0,25d и так далее.

Зна­чит, наи­боль­шая вы­пла­та  — пер­вая, d  =  2, вы­плат  — 14 штук и они со­став­ля­ют ариф­ме­ти­че­скую про­грес­сию, но с раз­но­стью  минус 0,25d= минус 0,5.

Общая вы­пла­та равна 9 плюс 8,5 плюс 8 плюс ... плюс 2,5=11,5 умно­жить на 7=80,5.

 

Ответ: 80,5.





При­мер 4.

Оцените это решение в баллах:



Задание № 513108

В июле пла­ни­ру­ет­ся взять кре­дит в банке на сумму 9 млн руб­лей на не­ко­то­рый срок (целое число лет). Усло­вия его воз­вра­та та­ко­вы:

  — каж­дый ян­варь долг воз­рас­та­ет на 10% по срав­не­нию с кон­цом преды­ду­ще­го года;

  — с фев­ра­ля по июнь каж­до­го года не­об­хо­ди­мо вы­пла­тить часть долга;

  — в июле каж­до­го года долг дол­жен быть на одну и ту же сумму мень­ше долга на июль преды­ду­ще­го года.

Чему будет равна общая сумма вы­плат после пол­но­го по­га­ше­ния кре­ди­та, если наи­боль­ший го­до­вой платёж со­ста­вит 1,5 млн руб­лей?


Решение

Пусть кре­дит пла­ни­ру­ет­ся взять на n лет. Долг перед бан­ком (в млн руб­лей) по со­сто­я­нию на июль дол­жен умень­шать­ся до нуля рав­но­мер­но:

9, дробь: чис­ли­тель: 9 левая круг­лая скоб­ка n минус 1 пра­вая круг­лая скоб­ка , зна­ме­на­тель: n конец дроби ,..., дробь: чис­ли­тель: 9 умно­жить на 2, зна­ме­на­тель: n конец дроби , дробь: чис­ли­тель: 9, зна­ме­на­тель: n конец дроби ,0.

По усло­вию, каж­дый ян­варь долг воз­рас­та­ет на 10%, зна­чит, по­сле­до­ва­тель­ность раз­ме­ров долга (в млн руб­лей) в ян­ва­ре та­ко­ва:

 дробь: чис­ли­тель: 99, зна­ме­на­тель: 10 конец дроби , дробь: чис­ли­тель: 99 левая круг­лая скоб­ка n минус 1 пра­вая круг­лая скоб­ка , зна­ме­на­тель: 10n конец дроби ,..., дробь: чис­ли­тель: 99 умно­жить на 2, зна­ме­на­тель: 10n конец дроби , дробь: чис­ли­тель: 99, зна­ме­на­тель: 10n конец дроби .

Сле­до­ва­тель­но, вы­пла­ты (в млн руб­лей) долж­ны быть сле­ду­ю­щи­ми:

0,9 плюс дробь: чис­ли­тель: 9, зна­ме­на­тель: n конец дроби , дробь: чис­ли­тель: 0,9 левая круг­лая скоб­ка n минус 1 пра­вая круг­лая скоб­ка плюс 9, зна­ме­на­тель: n конец дроби ,..., дробь: чис­ли­тель: 0,9 умно­жить на 2 плюс 9, зна­ме­на­тель: n конец дроби , дробь: чис­ли­тель: 0,9 плюс 9, зна­ме­на­тель: n конец дроби .

По­лу­ча­ем: 0,9 плюс дробь: чис­ли­тель: 9, зна­ме­на­тель: n конец дроби = 1,5, от­ку­да n=15. Зна­чит, всего сле­ду­ет вы­пла­тить

9 плюс 0,9 левая круг­лая скоб­ка 1 плюс дробь: чис­ли­тель: 14, зна­ме­на­тель: 15 конец дроби плюс ... плюс дробь: чис­ли­тель: 2, зна­ме­на­тель: 15 конец дроби плюс дробь: чис­ли­тель: 1, зна­ме­на­тель: 15 конец дроби пра­вая круг­лая скоб­ка =9 плюс 0,9 умно­жить на дробь: чис­ли­тель: 16, зна­ме­на­тель: 2 конец дроби =16,2 (млн руб­лей).

 

При­ведём дру­гое ре­ше­ние:

По усло­вию долг умень­ша­ет­ся по ариф­ме­ти­че­ской про­грес­сии:

9,9 минус d,9 минус 2d,...,0.

Пер­вая вы­пла­та равна 9 умно­жить на 1,1 минус левая круг­лая скоб­ка 9 минус d пра­вая круг­лая скоб­ка =0,9 плюс d.

Вто­рая вы­пла­та равна  левая круг­лая скоб­ка 9 минус d пра­вая круг­лая скоб­ка умно­жить на 1,1 минус левая круг­лая скоб­ка 9 минус 2d пра­вая круг­лая скоб­ка =0,9 плюс 0,9d.

Тре­тья вы­пла­та равна  левая круг­лая скоб­ка 9 минус 2d пра­вая круг­лая скоб­ка умно­жить на 1,1 минус левая круг­лая скоб­ка 9 минус 3d пра­вая круг­лая скоб­ка =0,9 плюс 0,8d.

Чет­вер­тая вы­пла­та равна  левая круг­лая скоб­ка 9 минус 3d пра­вая круг­лая скоб­ка умно­жить на 1,1 минус левая круг­лая скоб­ка 9 минус 4d пра­вая круг­лая скоб­ка =0,9 плюс 0,7d и так далее.

Зна­чит, наи­боль­шая вы­пла­та  — пер­вая, d  =  0,6, то есь всего будет 15 вы­плат и они со­став­ля­ют ариф­ме­ти­че­скую про­грес­сию с раз­но­стью  минус 0,1d= минус 0,06.

Общая вы­пла­та равна 1,5 плюс 1,44 плюс 1,38 плюс ... плюс 0,66=2,16 умно­жить на дробь: чис­ли­тель: 15, зна­ме­на­тель: 2 конец дроби =16,2.

 

Ответ: 16,2 млн руб.





При­мер 5.

Оцените это решение в баллах:



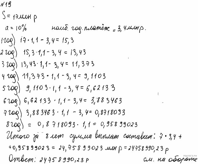
Задание № 513109

В июле пла­ни­ру­ет­ся взять кре­дит в банке на сумму 17 млн руб­лей на не­ко­то­рый срок (целое число лет). Усло­вия его воз­вра­та та­ко­вы:

  — каж­дый ян­варь долг воз­рас­та­ет на 10% по срав­не­нию с кон­цом преды­ду­ще­го года;

  — с фев­ра­ля по июнь каж­до­го года не­об­хо­ди­мо вы­пла­тить часть долга;

  — в июле каж­до­го года долг дол­жен быть на одну и ту же сумму мень­ше долга на июль преды­ду­ще­го года.

Чему будет равна общая сумма вы­плат после пол­но­го по­га­ше­ния кре­ди­та, если наи­боль­ший го­до­вой платёж со­ста­вит 3,4 млн руб­лей?


Решение

Пусть кре­дит пла­ни­ру­ет­ся взять на n лет. Долг перед бан­ком (в млн руб­лей) по со­сто­я­нию на июль дол­жен умень­шать­ся до нуля рав­но­мер­но:

17, дробь: чис­ли­тель: 17 левая круг­лая скоб­ка n минус 1 пра­вая круг­лая скоб­ка , зна­ме­на­тель: n конец дроби ,..., дробь: чис­ли­тель: 17 умно­жить на 2, зна­ме­на­тель: n конец дроби , дробь: чис­ли­тель: 17, зна­ме­на­тель: n конец дроби ,0.

По усло­вию, каж­дый ян­варь долг воз­рас­та­ет на 10%, зна­чит, по­сле­до­ва­тель­ность раз­ме­ров долга (в млн руб­лей) в ян­ва­ре та­ко­ва:

18,7, дробь: чис­ли­тель: 18,7 левая круг­лая скоб­ка n минус 1 пра­вая круг­лая скоб­ка , зна­ме­на­тель: n конец дроби ,..., дробь: чис­ли­тель: 18,7 умно­жить на 2, зна­ме­на­тель: n конец дроби , дробь: чис­ли­тель: 18,7, зна­ме­на­тель: n конец дроби .

Сле­до­ва­тель­но, вы­пла­ты (в млн руб­лей) долж­ны быть сле­ду­ю­щи­ми:

1,7 плюс дробь: чис­ли­тель: 17, зна­ме­на­тель: n конец дроби , дробь: чис­ли­тель: 1,7 левая круг­лая скоб­ка n минус 1 пра­вая круг­лая скоб­ка плюс 17, зна­ме­на­тель: n конец дроби ,..., дробь: чис­ли­тель: 1,7 умно­жить на 2 плюс 17, зна­ме­на­тель: n конец дроби , дробь: чис­ли­тель: 1,7 плюс 17, зна­ме­на­тель: n конец дроби .

По­лу­ча­ем: 1,7 плюс дробь: чис­ли­тель: 17, зна­ме­на­тель: n конец дроби = 3,4, от­ку­да n=10. Зна­чит, всего сле­ду­ет вы­пла­тить

17 плюс 1,7 левая круг­лая скоб­ка 1 плюс дробь: чис­ли­тель: 9, зна­ме­на­тель: 10 конец дроби плюс ... плюс дробь: чис­ли­тель: 2, зна­ме­на­тель: 10 конец дроби плюс дробь: чис­ли­тель: 1, зна­ме­на­тель: 10 конец дроби пра­вая круг­лая скоб­ка =17 плюс 1,7 умно­жить на дробь: чис­ли­тель: 11, зна­ме­на­тель: 2 конец дроби =26,35 (млн. руб­лей).

 

Ответ: 26,35.

 

При­ведём дру­гое ре­ше­ние.

 

По усло­вию долг умень­ша­ет­ся по ариф­ме­ти­че­ской про­грес­сии:

17,17 минус d,17 минус 2d,...,0.

Пер­вая вы­пла­та равна 17 умно­жить на 1,1 минус левая круг­лая скоб­ка 17 минус d пра­вая круг­лая скоб­ка =1,7 плюс d.

Вто­рая вы­пла­та равна  левая круг­лая скоб­ка 17 минус d пра­вая круг­лая скоб­ка умно­жить на 1,1 минус левая круг­лая скоб­ка 17 минус 2d пра­вая круг­лая скоб­ка =1,7 плюс 0,9d.

Тре­тья вы­пла­та равна  левая круг­лая скоб­ка 17 минус 2d пра­вая круг­лая скоб­ка умно­жить на 1,1 минус левая круг­лая скоб­ка 17 минус 3d пра­вая круг­лая скоб­ка =1,7 плюс 0,8d.

Чет­вер­тая вы­пла­та равна  левая круг­лая скоб­ка 17 минус 3d пра­вая круг­лая скоб­ка умно­жить на 1,17 минус левая круг­лая скоб­ка 17 минус 4d пра­вая круг­лая скоб­ка =1,7 плюс 0,7d и так далее.

Зна­чит, наи­боль­шая вы­пла­та  — пер­вая, d  =  1,7, вы­плат  — 10 штук и они со­став­ля­ют ариф­ме­ти­че­скую про­грес­сию, но с раз­но­стью  минус 0,1d= минус 0,17.

Общая вы­пла­та равна 3,4 плюс 3,23 плюс 3,06 плюс ... плюс 1,87=5,27 умно­жить на 5=26,35.

 

Ответ: 26,35.





При­мер 6.

Оцените это решение в баллах:

При­мер 1.

Оцените это решение в баллах:

При­мер 2.

Оцените это решение в баллах:

При­мер 3.

Оцените это решение в баллах:



Задание № 517449

В июле 2020 года пла­ни­ру­ет­ся взять кре­дит в банке на не­ко­то­рую сумму. Усло­вия его воз­вра­та та­ко­вы:

− каж­дый ян­варь долг уве­ли­чи­ва­ет­ся на r% по срав­не­нию с кон­цом преды­ду­ще­го года;

− с фев­ра­ля по июнь каж­до­го года не­об­хо­ди­мо вы­пла­чи­вать одним пла­те­жом часть долга.

Если еже­год­но вы­пла­чи­вать по 58 564 руб­лей, то кре­дит будет пол­но­стью по­га­шен за 4 года, а если еже­год­но вы­пла­чи­вать по 106 964 руб­лей, то кре­дит будет пол­но­стью по­га­шен за 2 года. Най­ди­те r.


Решение

Пусть сумма кре­ди­та S еже­год­ные вы­пла­ты x, k=1 плюс дробь: чис­ли­тель: r, зна­ме­на­тель: 100 конец дроби . По усло­вию долг на июль ме­ня­ет­ся так:

S,kS минус x,k в квад­ра­те S минус kx минус x,k в кубе S минус k в квад­ра­те x минус kx минус x,k в сте­пе­ни 4 S минус k в кубе x минус k в квад­ра­те x минус kx минус x.

Если долг вы­пла­чен двумя рав­ны­ми пла­те­жа­ми x2, то k в квад­ра­те S минус kx_2 минус x_2=0, от­ку­да

x_2= дробь: чис­ли­тель: k в квад­ра­те левая круг­лая скоб­ка k минус 1 пра­вая круг­лая скоб­ка , зна­ме­на­тель: k в квад­ра­те минус 1 конец дроби S=106964.

Если долг вы­пла­чен че­тырь­мя рав­ны­ми пла­те­жа­ми x4, то k в сте­пе­ни 4 S минус k в кубе x_4 минус k в квад­ра­те x_4 минус kx_4 минус x_4=0, от­ку­да

x_4= дробь: чис­ли­тель: k в сте­пе­ни 4 левая круг­лая скоб­ка k минус 1 пра­вая круг­лая скоб­ка , зна­ме­на­тель: k в сте­пе­ни 4 минус 1 конец дроби S=58564.

Тогда

 дробь: чис­ли­тель: x_4, зна­ме­на­тель: x_2 конец дроби = дробь: чис­ли­тель: k в квад­ра­те , зна­ме­на­тель: k в квад­ра­те плюс 1 конец дроби = дробь: чис­ли­тель: 58564, зна­ме­на­тель: 106964 конец дроби = дробь: чис­ли­тель: 121, зна­ме­на­тель: 221 конец дроби ,

от­ку­да  k в квад­ра­те = дробь: чис­ли­тель: 121, зна­ме­на­тель: 100 конец дроби рав­но­силь­но k=1,1. Сле­до­ва­тель­но, r=10.

 

Ответ: 10.





При­мер 1

Оцените это решение в баллах:

При­мер 2

Оцените это решение в баллах:



Задание № 559526


Решение





При­мер 1

Оцените это решение в баллах:

При­мер 2

Оцените это решение в баллах:

При­мер 3

Оцените это решение в баллах:

При­мер 4

Оцените это решение в баллах:



Задание № 559535


Решение





При­мер 1

Оцените это решение в баллах:

При­мер 2

Оцените это решение в баллах:



Наверх
Вернуться на основную страницу «Школы экспертов»