Школа экспертов
Вернуться на основную страницу «Школы экспертов»

Ниже представлены ученические решения экзаменационных заданий. Оцените каждое из них в соответствии с критериями проверки заданий ЕГЭ. После нажатия кнопки «Проверить» вы узнаете правильный балл за каждое из решений. В конце будут подведены итоги.

Задание 505536
Задание 505537
Задание 507204
Задание 507510
Задание 513103
Задание 513104
Задание 513105
Задание 559522
Задание 559524
Задание 559525


Задание № 505536

Ме­ди­а­ны AA1, BB1 и CC1 тре­уголь­ни­ка ABC пе­ре­се­ка­ют­ся в точке M. Точки A2, B2 и C2  — се­ре­ди­ны от­рез­ков MA, MB и MC со­от­вет­ствен­но.

а)  До­ка­жи­те, что пло­щадь ше­сти­уголь­ни­ка A1B2C1A2B1C2 вдвое мень­ше пло­ща­ди тре­уголь­ни­ка ABC.

б)  Най­ди­те сумму квад­ра­тов всех сто­рон этого ше­сти­уголь­ни­ка, если из­вест­но, что AB  =  4, BC  =  7 и AC  =  8.


Решение

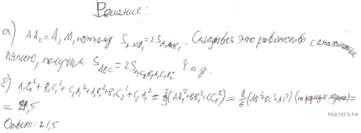
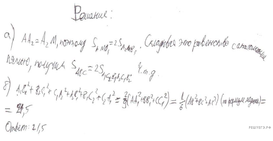
а)  Пусть S_ABC=S. Из ри­сун­ка видно, что пло­щадь ше­сти­уголь­ни­ка A_1B_2C_1A_2B_1C_2 равна сумме пло­ща­дей S_A_1B_1C_1 плюс S_B_1C_1A_2 плюс S_A_1C_1B_2 плюс S_A_1B_1C_2. По­сколь­ку тре­уголь­ник A1B1C1 по­до­бен тре­уголь­ни­ку ABC c ко­эф­фи­ци­ен­том по­до­бия k= дробь: чис­ли­тель: 1, зна­ме­на­тель: 2 конец дроби его пло­щадь S_A_1B_1C_1= дробь: чис­ли­тель: S, зна­ме­на­тель: 4 конец дроби . Пусть K  — точка пе­ре­се­че­ния ме­ди­а­ны AA1 и сред­ней линии B1C1. Ме­ди­а­на и сред­няя линия делят друг друга по­по­лам, по­сколь­ку они яв­ля­ют­ся диа­го­на­ля­ми па­рал­ле­ло­грам­ма AB1A1C1. От­ку­да AK= дробь: чис­ли­тель: 1, зна­ме­на­тель: 2 конец дроби AA_1, AK   — ме­ди­а­на тре­уголь­ни­ка AB1C1. За­ме­тим, что

AA_2:AK= дробь: чис­ли­тель: 1, зна­ме­на­тель: 2 конец дроби AM: дробь: чис­ли­тель: 1, зна­ме­на­тель: 2 конец дроби AA_1=AM:AA_1=2:3,

то есть точка A2 делит ме­ди­а­ну AK тре­уголь­ни­ка AB1C1 в от­но­ше­нии 2 : 1. Зна­чит, это точка пе­ре­се­че­ния ме­ди­ан тре­уголь­ни­ка AB1C1. Пло­щадь тре­уголь­ни­ка B1C1A2 равна трети пло­ща­ди тре­уголь­ни­ка AB1C1, то есть равна  дробь: чис­ли­тель: 1, зна­ме­на­тель: 3 конец дроби умно­жить на дробь: чис­ли­тель: 1, зна­ме­на­тель: 4 конец дроби S= дробь: чис­ли­тель: S, зна­ме­на­тель: 12 конец дроби . Ана­ло­гич­но пло­ща­ди тре­уголь­ни­ков A1C1B2 и A1B1C2 равны  дробь: чис­ли­тель: S, зна­ме­на­тель: 12 конец дроби . От­ку­да пло­щадь ше­сти­уголь­ни­ка A1B2C1A2B1C2 равна  дробь: чис­ли­тель: S, зна­ме­на­тель: 4 конец дроби плюс 3 умно­жить на дробь: чис­ли­тель: S, зна­ме­на­тель: 12 конец дроби = дробь: чис­ли­тель: S, зна­ме­на­тель: 2 конец дроби .

б)   Пусть длины сто­рон BC, AC, AB тре­уголь­ни­ка ABC равны a, b, c. До­ка­жем, что квад­рат ме­ди­а­ны AA1 равен  дробь: чис­ли­тель: 1, зна­ме­на­тель: 4 конец дроби левая круг­лая скоб­ка 2b в квад­ра­те плюс 2c в квад­ра­те минус a в квад­ра­те пра­вая круг­лая скоб­ка . Для до­ка­за­тель­ства на про­дол­же­нии от­рез­ка AA1 за точку A1 от­ло­жим от­ре­зок A1P  =  AA1. По­лу­чим па­рал­ле­ло­грамм ACPB со сто­ро­на­ми AC  =  PB  =  b и AB  =  CP  =  c и диа­го­на­ля­ми BC  =  a и AP  =  2AA1. Сумма квад­ра­тов диа­го­на­лей па­рал­ле­ло­грам­ма равна удво­ен­ной сумме квад­ра­тов его сто­рон:

2b в квад­ра­те плюс 2c в квад­ра­те =a в квад­ра­те плюс 4AA_1 в квад­ра­те рав­но­силь­но AA_1 в квад­ра­те = дробь: чис­ли­тель: 1, зна­ме­на­тель: 4 конец дроби левая круг­лая скоб­ка 2b в квад­ра­те плюс 2c в квад­ра­те минус a в квад­ра­те пра­вая круг­лая скоб­ка .

Ана­ло­гич­но BB_1 в квад­ра­те = дробь: чис­ли­тель: 1, зна­ме­на­тель: 4 конец дроби левая круг­лая скоб­ка 2a в квад­ра­те плюс 2c в квад­ра­те минус b в квад­ра­те пра­вая круг­лая скоб­ка , а CC_1 в квад­ра­те = дробь: чис­ли­тель: 1, зна­ме­на­тель: 4 конец дроби левая круг­лая скоб­ка 2a в квад­ра­те плюс 2b в квад­ра­те минус c в квад­ра­те пра­вая круг­лая скоб­ка . Пусть L  — се­ре­ди­на от­рез­ка AB1. По­сколь­ку A2  — точка пе­ре­се­че­ния ме­ди­ан тре­уголь­ни­ка AB1C1, она лежит на от­рез­ке C1L и делит его в от­но­ше­нии 2 : 1, счи­тая от точки C1. Зна­чит, C_1A_2= дробь: чис­ли­тель: 2, зна­ме­на­тель: 3 конец дроби C_1L. Но тре­уголь­ни­ки AB1C1 и ABC по­доб­ны с ко­эф­фи­ци­ен­том 1/2, по­это­му C_1L= дробь: чис­ли­тель: 1, зна­ме­на­тель: 2 конец дроби BB_1 и C_1A_2= дробь: чис­ли­тель: 1, зна­ме­на­тель: 3 конец дроби BB_1. По­вто­ряя те же рас­суж­де­ния для тре­уголь­ни­ка A1B1C по­лу­ча­ем, что от­ре­зок A1C2 равен  дробь: чис­ли­тель: 1, зна­ме­на­тель: 3 конец дроби BB_1. При­ме­няя ана­ло­гич­ные рас­суж­де­ния, по­лу­чим что сто­ро­ны ше­сти­уголь­ни­ка втрое мень­ше ме­ди­ан тре­уголь­ни­ка ABC: B_2C_1=B_1C_2= дробь: чис­ли­тель: 1, зна­ме­на­тель: 3 конец дроби AA_1, A_2B_1=A_1B_2= дробь: чис­ли­тель: 1, зна­ме­на­тель: 3 конец дроби CC_1. Сле­до­ва­тель­но, сумма квад­ра­тов сто­рон ше­сти­уголь­ни­ка равна:

2 левая круг­лая скоб­ка B_1C_2 в квад­ра­те плюс A_1C_2 в квад­ра­те плюс A_1B_2 в квад­ра­те пра­вая круг­лая скоб­ка = дробь: чис­ли­тель: 2, зна­ме­на­тель: 9 конец дроби левая круг­лая скоб­ка AA_1 в квад­ра­те плюс BB_1 в квад­ра­те плюс CC_1 в квад­ра­те пра­вая круг­лая скоб­ка =
= дробь: чис­ли­тель: 2, зна­ме­на­тель: 9 конец дроби умно­жить на дробь: чис­ли­тель: 1, зна­ме­на­тель: 4 конец дроби умно­жить на левая круг­лая скоб­ка 2b в квад­ра­те плюс 2c в квад­ра­те минус a в квад­ра­те плюс 2a в квад­ра­те плюс 2c в квад­ра­те минус b в квад­ра­те плюс 2a в квад­ра­те плюс 2b в квад­ра­те минус c в квад­ра­те пра­вая круг­лая скоб­ка =

= дробь: чис­ли­тель: 1, зна­ме­на­тель: 18 конец дроби умно­жить на 3 левая круг­лая скоб­ка a в квад­ра­те плюс b в квад­ра­те плюс c в квад­ра­те пра­вая круг­лая скоб­ка = дробь: чис­ли­тель: 1, зна­ме­на­тель: 6 конец дроби левая круг­лая скоб­ка a в квад­ра­те плюс b в квад­ра­те плюс c в квад­ра­те пра­вая круг­лая скоб­ка .

Под­став­ляя чис­ло­вые зна­че­ния по­лу­ча­ем, что сумма квад­ра­тов шести сто­рон тре­уголь­ни­ка равна  дробь: чис­ли­тель: 43, зна­ме­на­тель: 2 конец дроби .

 

Ответ: 21,5.



Кри­те­рии оце­ни­ва­ния вы­пол­не­ния за­да­нияБаллы
Име­ет­ся вер­ное до­ка­за­тель­ство утвер­жде­ния пунк­та a) и обос­но­ван­но по­лу­чен вер­ный ответ в пунк­те б)3
По­лу­чен обос­но­ван­ный ответ в пунк­те б)

ИЛИ

име­ет­ся вер­ное до­ка­за­тель­ство утвер­жде­ния пунк­та а) и при обос­но­ван­ном ре­ше­нии пунк­та б) по­лу­чен не­вер­ный ответ из-за ариф­ме­ти­че­ской ошиб­ки

2
Име­ет­ся вер­ное до­ка­за­тель­ство утвер­жде­ния пунк­та а)

ИЛИ

при обос­но­ван­ном ре­ше­нии пунк­та б) по­лу­чен не­вер­ный ответ из-за ариф­ме­ти­че­ской ошиб­ки,

ИЛИ

обос­но­ван­но по­лу­чен вер­ный ответ в пунк­те б) с ис­поль­зо­ва­ни­ем утвер­жде­ния пунк­та а), при этом пункт а) не вы­пол­нен

1
Ре­ше­ние не со­от­вет­ству­ет ни од­но­му из кри­те­ри­ев, при­ведённых выше0
Мак­си­маль­ный балл3


При­мер 1.

Оцените это решение в баллах:



Задание № 505537

Ме­ди­а­ны AA1, BB1 и CC1 тре­уголь­ни­ка ABC пе­ре­се­ка­ют­ся в точке M. Из­вест­но, что AC  =  3MB.

а)  До­ка­жи­те, что тре­уголь­ник ABC пря­мо­уголь­ный.

б)  Най­ди­те сумму квад­ра­тов ме­ди­ан AA1 и CC1, если из­вест­но, что AC  =  10.


Решение

Из­вест­но, что ме­ди­а­ны де­лят­ся точ­кой пе­ре­се­че­ния в от­но­ше­нии 2 : 1, счи­тая от вер­ши­ны. Зна­чит,

BB_1= дробь: чис­ли­тель: 3, зна­ме­на­тель: 2 конец дроби BM= дробь: чис­ли­тель: 3, зна­ме­на­тель: 2 конец дроби умно­жить на дробь: чис­ли­тель: 1, зна­ме­на­тель: 3 конец дроби AC= дробь: чис­ли­тель: 1, зна­ме­на­тель: 2 конец дроби AC.

По­это­му тре­уголь­ни­ки AB1B и CB1B рав­но­бед­рен­ные, причём ∠B1AB = ∠ABB1 и ∠B1CB = ∠CBB1. Сумма всех этих четырёх углов равна 180°. Тогда ∠ABC = ∠ABB1 + ∠CBB1  =  90°. Сле­до­ва­тель­но, тре­уголь­ник ABC пря­мо­уголь­ный.

б)  Тре­уголь­ник A1BA пря­мо­уголь­ный. По­это­му

AA_1 в квад­ра­те =A_1B в квад­ра­те плюс BA в квад­ра­те = дробь: чис­ли­тель: 1, зна­ме­на­тель: 4 конец дроби CB в квад­ра­те плюс BA в квад­ра­те .

Ана­ло­гич­но из пря­мо­уголь­но­го тре­уголь­ни­ка C1BC на­хо­дим:

CC_1 в квад­ра­те =C_1B в квад­ра­те плюс BC в квад­ра­те = дробь: чис­ли­тель: 1, зна­ме­на­тель: 4 конец дроби AB в квад­ра­те плюс BC в квад­ра­те .

Тогда AA_1 в квад­ра­те плюс CC_1 в квад­ра­те = дробь: чис­ли­тель: 5, зна­ме­на­тель: 4 конец дроби AB в квад­ра­те плюс дробь: чис­ли­тель: 5, зна­ме­на­тель: 4 конец дроби BC в квад­ра­те = дробь: чис­ли­тель: 5, зна­ме­на­тель: 4 конец дроби левая круг­лая скоб­ка AB в квад­ра­те плюс BC в квад­ра­те пра­вая круг­лая скоб­ка = дробь: чис­ли­тель: 5, зна­ме­на­тель: 4 конец дроби AC в квад­ра­те =125.

 

Ответ: 125.

 

При­ведём дру­гое ре­ше­ние пунк­та а).

По­ка­жем, что ме­ди­а­на, про­ве­ден­ная к сто­ро­не AC, равна по­ло­ви­не этой сто­ро­ны. Тогда угол, про­ти­во­ле­жа­щий сто­ро­не AC, равен 90°, что и тре­бу­ет­ся до­ка­зать. Дей­стви­тель­но, ме­ди­а­ны де­лят­ся точ­кой пе­ре­се­че­ния в от­но­ше­нии 2 : 1, счи­тая от вер­ши­ны. Зна­чит, BB_1= дробь: чис­ли­тель: 3, зна­ме­на­тель: 2 конец дроби BM= дробь: чис­ли­тель: 3, зна­ме­на­тель: 2 конец дроби умно­жить на дробь: чис­ли­тель: 1, зна­ме­на­тель: 3 конец дроби AC= дробь: чис­ли­тель: 1, зна­ме­на­тель: 2 конец дроби AC.

 

При­ведём еще одно ре­ше­ние пунк­та а).

Тре­уголь­ник AB_1B  — рав­но­бед­рен­ный, AB_1=B_1C=B_1B. От­ре­зок B_1C_1  — вы­со­та тре­уголь­ни­ка AB_1B, от­ре­зок B_1C_1  — сред­няя линия тре­уголь­ни­ка ABC, тогда пря­мые B_1B и CB па­рал­лель­ны. Зна­чит, пря­мые BC и AB пер­пен­ди­ку­ляр­ны по тео­ре­ме о пер­пен­ди­ку­ляр­но­сти пря­мой, па­рал­лель­ной пер­пен­ди­ку­ля­ру.

 

При­ведём еще одно ре­ше­ние пунк­та а).

По­сколь­ку AB_1=BB_1=CB_1, точка B_1  — центр опи­сан­ной окруж­но­сти, а AC  — ее диа­метр. Тогда угол B пря­мой как опи­ра­ю­щий­ся на диа­метр.





При­мер 2.

Оцените это решение в баллах:



Задание № 507204

Ме­ди­а­ны АА1 и ВВ1 и CC1 тре­уголь­ни­ка ABC пе­ре­се­ка­ют­ся в точке М. Точки А2, В2 и С2  — се­ре­ди­ны от­рез­ков MA, MB и МС со­от­вет­ствен­но.

а)  До­ка­жи­те, что пло­щадь ше­сти­уголь­ни­ка A1B2C1A2B1C2 вдвое мень­ше пло­ща­ди тре­уголь­ни­ка ABC.

б)  Най­ди­те сумму квад­ра­тов всех сто­рон этого ше­сти­уголь­ни­ка, если из­вест­но, что АВ = 4, ВС = 7 и АС = 8.


Решение

а)  Пло­щадь тре­уголь­ни­ка А1МВ2 в два раза мень­ше пло­ща­ди тре­уголь­ни­ка А1МВ, по­сколь­ку MB = 2MB2, а вы­со­та, про­ведённая из вер­ши­ны А1 у этих тре­уголь­ни­ков общая: S_A_1MB = 2S_A_1MB_1.

Ана­ло­гич­но по­лу­ча­ем еще 5 ра­венств:

S_A_1MC = 2S_A_1MC_2, S_B_1MC = 2S_B_1MC_2, S_B_1MA = 2S_B_1MA_2, S_C_1MA = 2S_C_1MA_2, S_C_1MB = 2S_C_1MB_2.

Скла­ды­вая эти ра­вен­ства почлен­но, по­лу­ча­ем S_ABC = 2S_A_1C_2B_1A_2C_1B_2.

б)  Обо­зна­чим длины сто­рон ВС, АС, АВ тре­уголь­ни­ка ABC через а, b, с.

До­ка­жем, что квад­рат ме­ди­а­ны AA1 равен  дробь: чис­ли­тель: 1, зна­ме­на­тель: 4 конец дроби левая круг­лая скоб­ка 2b в квад­ра­те плюс 2с в квад­ра­те минус а в квад­ра­те пра­вая круг­лая скоб­ка .

Для до­ка­за­тель­ства на про­дол­же­нии от­рез­ка AA1 за точку А1 от­ло­жим от­ре­зок А1Р = AA1. По­лу­чим па­рал­ле­ло­грамм АСРВ со сто­ро­на­ми АС  =  РВ  =  b и АВ  =  CP  =  с и диа­го­на­ля­ми ВС  =  а и АР  =  2AA1. Сумма квад­ра­тов диа­го­на­лей па­рал­ле­ло­грам­ма равна сумме квад­ра­тов его сто­рон:

2b в квад­ра­те плюс 2с в квад­ра­те = а в квад­ра­те плюс 4AA в квад­ра­те _1 рав­но­силь­но AA в квад­ра­те _1 = дробь: чис­ли­тель: 1, зна­ме­на­тель: 4 конец дроби левая круг­лая скоб­ка 2b в квад­ра­те плюс 2с в квад­ра­те минус а в квад­ра­те пра­вая круг­лая скоб­ка .

Ана­ло­гич­но до­ка­зы­ва­ет­ся, что BB в квад­ра­те _1 = дробь: чис­ли­тель: 1, зна­ме­на­тель: 4 конец дроби левая круг­лая скоб­ка 2a в квад­ра­те плюс 2c в квад­ра­те минус b в квад­ра­те пра­вая круг­лая скоб­ка , a CC в квад­ра­те _1 = дробь: чис­ли­тель: 1, зна­ме­на­тель: 4 конец дроби левая круг­лая скоб­ка 2a в квад­ра­те плюс 2b в квад­ра­те минус c в квад­ра­те пра­вая круг­лая скоб­ка . От­ре­зок C1A2  — сред­няя линия тре­уголь­ни­ка АВМ, зна­чит,

C_1A_2 = дробь: чис­ли­тель: 1, зна­ме­на­тель: 2 конец дроби BM = дробь: чис­ли­тель: 1, зна­ме­на­тель: 2 конец дроби умно­жить на дробь: чис­ли­тель: 2, зна­ме­на­тель: 3 конец дроби BB_1 = дробь: чис­ли­тель: 1, зна­ме­на­тель: 3 конец дроби BB_1.

Рас­суж­дая ана­ло­гич­но, мы по­лу­чим, что сто­ро­ны ше­сти­уголь­ни­ка втрое мень­ше ме­ди­ан тре­уголь­ни­ка ABC: B_2C_1 = B_1C_2 = дробь: чис­ли­тель: 1, зна­ме­на­тель: 3 конец дроби AA_1, A_2B_1 = A_1B_2 = дробь: чис­ли­тель: 1, зна­ме­на­тель: 3 конец дроби CC_1. Сле­до­ва­тель­но, сумма квад­ра­тов сто­рон ше­сти­уголь­ни­ка равна

2 умно­жить на левая круг­лая скоб­ка B_1C в квад­ра­те _2 плюс A_1C в квад­ра­те _2 плюс A_1B в квад­ра­те _2 пра­вая круг­лая скоб­ка = дробь: чис­ли­тель: 2, зна­ме­на­тель: 9 конец дроби левая круг­лая скоб­ка AA в квад­ра­те _1 плюс BB в квад­ра­те _1 плюс CC в квад­ра­те _1 пра­вая круг­лая скоб­ка =
= дробь: чис­ли­тель: 2, зна­ме­на­тель: 9 конец дроби умно­жить на дробь: чис­ли­тель: 1, зна­ме­на­тель: 4 конец дроби умно­жить на левая круг­лая скоб­ка 2b в квад­ра­те плюс 2c в квад­ра­те минус a в квад­ра­те плюс 2a в квад­ра­те плюс 2c в квад­ра­те минус b в квад­ра­те плюс 2a в квад­ра­те плюс 2b в квад­ра­те минус c в квад­ра­те пра­вая круг­лая скоб­ка =

 дробь: чис­ли­тель: 1, зна­ме­на­тель: конец дроби 18 умно­жить на 3 умно­жить на левая круг­лая скоб­ка a в квад­ра­те плюс b в квад­ра­те плюс c в квад­ра­те пра­вая круг­лая скоб­ка = дробь: чис­ли­тель: 1, зна­ме­на­тель: 6 конец дроби умно­жить на левая круг­лая скоб­ка a в квад­ра­те плюс b в квад­ра­те плюс c в квад­ра­те пра­вая круг­лая скоб­ка .

Под­став­ляя в эту фор­му­лу длины сто­рон тре­уголь­ни­ка ABC, по­лу­ча­ем ответ: сумма квад­ра­тов сто­рон ше­сти­уголь­ни­ка равна  дробь: чис­ли­тель: 43, зна­ме­на­тель: 2 конец дроби .

 

Ответ:  дробь: чис­ли­тель: 43, зна­ме­на­тель: 2 конец дроби .

 

 

----------

Дуб­ли­ру­ет за­да­ние 505536.





При­мер 1.

Оцените это решение в баллах:



Задание № 507510

Ме­ди­а­ны AA1, BB1 и CC1 тре­уголь­ни­ка ABC пе­ре­се­ка­ют­ся в точке M. Точки A2, B2 и C2  — се­ре­ди­ны от­рез­ков MA, MB и MC со­от­вет­ствен­но.

а)  До­ка­жи­те, что пло­щадь ше­сти­уголь­ни­ка A1B2C1A2B1C2 вдвое мень­ше пло­ща­ди тре­уголь­ни­ка ABC.

б)  Най­ди­те сумму квад­ра­тов всех сто­рон этого ше­сти­уголь­ни­ка, если из­вест­но, что AB = 5, BC = 8 и AC = 10.


Решение

а)  Пло­щадь тре­уголь­ни­ка A1MB2 в два раза мень­ше пло­ща­ди тре­уголь­ни­ка A1MB, по­сколь­ку MB = 2MB2, а вы­со­та, про­ведённая из вер­ши­ны A1, у этих тре­уголь­ни­ков общая:

S_A_1MB=2S_A_1MB_2.

Ана­ло­гич­но по­лу­ча­ем ещё 5 ра­венств:

S_A_1MC=2S_A_1MC_2, S_B_1MC=2S_B_1MC_2, S_B_1MA=2S_B_1MA_2, S_C_1MA=2S_C_1MA_2 и S_C_1MB=2S_C_1MB_2.

Скла­ды­вая эти ра­вен­ства почлен­но, по­лу­ча­ем

S_ABC=2S_A_1C_2B_1A_2C_1B_2.

б)  Обо­зна­чим длины сто­рон BC, AC, AB тре­уголь­ни­ка ABC через a, b, c.

До­ка­жем, фор­му­лу для квад­ра­та ме­ди­а­ны AA_1 в квад­ра­те = дробь: чис­ли­тель: 1, зна­ме­на­тель: 4 конец дроби левая круг­лая скоб­ка 2b в квад­ра­те плюс 2c в квад­ра­те минус a в квад­ра­те пра­вая круг­лая скоб­ка . Для до­ка­за­тель­ства на про­дол­же­нии от­рез­ка AA1 за точку A1 от­ло­жим от­ре­зок A1P = AA1. По­лу­чим па­рал­ле­ло­грамм ACPB со сто­ро­на­ми AC = PB = b и AB = CP = c и диа­го­на­ля­ми BC = a и AP = 2AA1. Сумма квад­ра­тов диа­го­на­лей па­рал­ле­ло­грам­ма равна сумме квад­ра­тов его сто­рон: 2b в квад­ра­те плюс 2c в квад­ра­те =a в квад­ра­те плюс 4AA_1 в квад­ра­те , от­ку­да AA_1 в квад­ра­те = дробь: чис­ли­тель: 1, зна­ме­на­тель: 4 конец дроби левая круг­лая скоб­ка 2b в квад­ра­те плюс 2c в квад­ра­те минус a в квад­ра­те пра­вая круг­лая скоб­ка . Ана­ло­гич­но до­ка­зы­ва­ет­ся, что BB_1 в квад­ра­те = дробь: чис­ли­тель: 1, зна­ме­на­тель: 4 конец дроби левая круг­лая скоб­ка 2a в квад­ра­те плюс 2c в квад­ра­те минус b в квад­ра­те пра­вая круг­лая скоб­ка , а CC_1 в квад­ра­те = дробь: чис­ли­тель: 1, зна­ме­на­тель: 4 конец дроби левая круг­лая скоб­ка 2a в квад­ра­те плюс 2b в квад­ра­те минус c в квад­ра­те пра­вая круг­лая скоб­ка .

От­ре­зок C1A2  — сред­няя линия тре­уголь­ни­ка ABM, зна­чит,

C_1A_2= дробь: чис­ли­тель: 1, зна­ме­на­тель: 2 конец дроби BM= дробь: чис­ли­тель: 1, зна­ме­на­тель: 2 конец дроби умно­жить на дробь: чис­ли­тель: 2, зна­ме­на­тель: 3 конец дроби BB_1= дробь: чис­ли­тель: 1, зна­ме­на­тель: 3 конец дроби BB_1.

Рас­суж­дая ана­ло­гич­но, мы по­лу­чим, что сто­ро­ны ше­сти­уголь­ни­ка втрое мень­ше ме­ди­ан тре­уголь­ни­ка

ABC : B_2C_1=B_1C_2= дробь: чис­ли­тель: 1, зна­ме­на­тель: 3 конец дроби AA_1, A_2B_1=A_1B_2= дробь: чис­ли­тель: 1, зна­ме­на­тель: 3 конец дроби CC_1.

Сле­до­ва­тель­но, сумма квад­ра­тов сто­рон ше­сти­уголь­ни­ка равна

2 умно­жить на левая круг­лая скоб­ка B_1C_2 в квад­ра­те плюс A_1C_2 в квад­ра­те плюс A_1B_2 в квад­ра­те пра­вая круг­лая скоб­ка = дробь: чис­ли­тель: 2, зна­ме­на­тель: 9 конец дроби левая круг­лая скоб­ка AA_1 в квад­ра­те плюс BB_1 в квад­ра­те плюс CC_1 в квад­ра­те пра­вая круг­лая скоб­ка =

= дробь: чис­ли­тель: 2, зна­ме­на­тель: 9 конец дроби умно­жить на дробь: чис­ли­тель: 1, зна­ме­на­тель: 4 конец дроби умно­жить на левая круг­лая скоб­ка 2b в квад­ра­те плюс 2c в квад­ра­те минус a в квад­ра­те плюс 2a в квад­ра­те плюс 2c в квад­ра­те минус b в квад­ра­те плюс 2a в квад­ра­те плюс 2b в квад­ра­те минус c в квад­ра­те пра­вая круг­лая скоб­ка =

= дробь: чис­ли­тель: 1, зна­ме­на­тель: конец дроби 18 умно­жить на 3 умно­жить на левая круг­лая скоб­ка a в квад­ра­те плюс b в квад­ра­те плюс c в квад­ра­те пра­вая круг­лая скоб­ка = дробь: чис­ли­тель: 1, зна­ме­на­тель: 6 конец дроби умно­жить на левая круг­лая скоб­ка a в квад­ра­те плюс b в квад­ра­те плюс c в квад­ра­те пра­вая круг­лая скоб­ка .

Под­став­ляя в эту фор­му­лу длины сто­рон тре­уголь­ни­ка ABC, по­лу­ча­ем  дробь: чис­ли­тель: 63, зна­ме­на­тель: 2 конец дроби .

 

Ответ:  дробь: чис­ли­тель: 63, зна­ме­на­тель: 2 конец дроби .





При­мер 2.

Оцените это решение в баллах:



Задание № 513103

Точка B лежит на от­рез­ке AC. Пря­мая, про­хо­дя­щая через точку A, ка­са­ет­ся окруж­но­сти с диа­мет­ром BC в точке M и вто­рой раз пе­ре­се­ка­ет окруж­ность с диа­мет­ром  AB в точке  K. Про­дол­же­ние от­рез­ка  MB пе­ре­се­ка­ет окруж­ность с диа­мет­ром  AB в точке  D.

а)  До­ка­жи­те, что пря­мые AD и MC па­рал­лель­ны.

б)  Най­ди­те пло­щадь тре­уголь­ни­ка DBC, если AK  =  3 и MK  =  12.


Решение

а)  Точки M и D лежат на окруж­но­стях с диа­мет­ра­ми BC и AB со­от­вет­ствен­но, по­это­му

\angle BMC=\angle BDA=90 гра­ду­сов.

Пря­мые AD и MC пер­пен­ди­ку­ляр­ны одной и той же пря­мой MD, сле­до­ва­тель­но, пря­мые AD и MC па­рал­лель­ны.

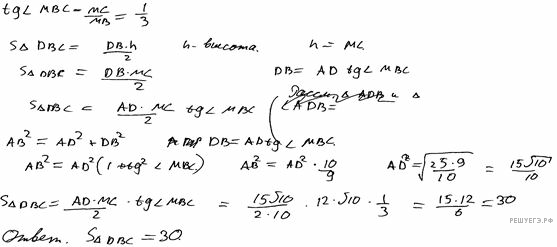
б)  Пусть точка  O  — центр окруж­но­сти с диа­мет­ром BC. Тогда пря­мые OM и AM вза­им­но пер­пен­ди­ку­ляр­ны. Пря­мые BK и AM также вза­им­но пер­пен­ди­ку­ляр­ны. Таким об­ра­зом, пря­мые OM и BK па­рал­лель­ны. Обо­зна­чим BK через x. Тре­уголь­ник AMO по­до­бен тре­уголь­ни­ку AKB с ко­эф­фи­ци­ен­том 5, по­это­му OB  =  OM  =  5x. Опу­стим пер­пен­ди­ку­ляр BP из точки B на пря­мую OM. Четырёхуголь­ник BKMP  — пря­мо­уголь­ник, по­это­му по­лу­ча­ем:

BP=KM=12,

OP=OM минус MP=OM минус BK=5x минус x=4x.

По тео­ре­ме Пи­фа­го­ра OB2  =  BP2 + OP2, от­ку­да 25x2  =  144 + 16x2. По­лу­ча­ем, что x  =  4. По­сколь­ку пря­мые AD и MC па­рал­лель­ны, имеем:

S_DBC=S_MDC минус S_MBC=S_MAC минус S_MBC=S_ABM.

Зна­чит, тре­уголь­ни­ки DBC и AMB рав­но­ве­ли­ки. Сле­до­ва­тель­но,

S_DBC=S_AMB= дробь: чис­ли­тель: 1, зна­ме­на­тель: 2 конец дроби AM умно­жить на BK= дробь: чис­ли­тель: 1, зна­ме­на­тель: 2 конец дроби умно­жить на 15x= дробь: чис­ли­тель: 1, зна­ме­на­тель: 2 конец дроби умно­жить на 15 умно­жить на 4=30.

Ответ: 30.





При­мер 2.

Оцените это решение в баллах:

При­мер 3.

Оцените это решение в баллах:

При­мер 1.

Оцените это решение в баллах:

При­мер 2.

Оцените это решение в баллах:

При­мер 3.

Оцените это решение в баллах:



Задание № 513104

Точка B лежит на от­рез­ке AC. Пря­мая, про­хо­дя­щая через точку A, ка­са­ет­ся окруж­но­сти с диа­мет­ром BC в точке M и вто­рой раз пе­ре­се­ка­ет окруж­ность с диа­мет­ром AB в точке K. Про­дол­же­ние от­рез­ка MB пе­ре­се­ка­ет окруж­ность с диа­мет­ром AB в точке D.

а)  До­ка­жи­те, что пря­мые AD и MC па­рал­лель­ны.

б)  Най­ди­те пло­щадь тре­уголь­ни­ка DBC, если AK  =  3 и MK  =  14.


Решение

а)  Точки M и D лежат на окруж­но­стях с диа­мет­ра­ми BC и AB со­от­вет­ствен­но, по­это­му

\angle BMC=\angle BDA=90 гра­ду­сов.

Пря­мые AD и MC пер­пен­ди­ку­ляр­ны одной и той же пря­мой MD, сле­до­ва­тель­но, пря­мые AD и MC па­рал­лель­ны.

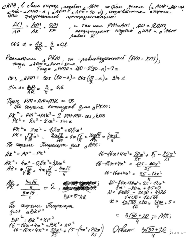
б)  Пусть O  — центр окруж­но­сти с диа­мет­ром BC. Тогда пря­мые OM и AM пер­пен­ди­ку­ляр­ны. Учи­ты­вая, что пря­мые BK и AM пер­пен­ди­ку­ляр­ны, по­лу­ча­ем, что пря­мые OM и BK па­рал­лель­ны. Обо­зна­чим BK через x. Тре­уголь­ник AMO по­до­бен тре­уголь­ни­ку AKB с ко­эф­фи­ци­ен­том  дробь: чис­ли­тель: 17, зна­ме­на­тель: 3 конец дроби , по­это­му OB  =  OM  =   дробь: чис­ли­тель: 17, зна­ме­на­тель: 3 конец дроби x. Опу­стим пер­пен­ди­ку­ляр BP из точки B на пря­мую OM. Так как четырёхуголь­ник BKMP  — пря­мо­уголь­ник,

BP=KM=14,

OP=OM минус MP=OM минус BK= дробь: чис­ли­тель: 17, зна­ме­на­тель: 3 конец дроби x минус x= дробь: чис­ли­тель: 14, зна­ме­на­тель: 3 конец дроби x.

По тео­ре­ме Пи­фа­го­ра OB2  =  BP2 + OP2, от­ку­да  дробь: чис­ли­тель: 289, зна­ме­на­тель: 9 конец дроби x в квад­ра­те =196 плюс дробь: чис­ли­тель: 196, зна­ме­на­тель: 9 конец дроби x в квад­ра­те . По­лу­ча­ем, что x = дробь: чис­ли­тель: 42, зна­ме­на­тель: ко­рень из: на­ча­ло ар­гу­мен­та: 93 конец ар­гу­мен­та конец дроби .

По­сколь­ку пря­мые AD и MC па­рал­лель­ны,

S_DBC=S_MDC минус S_MBC=S_MAC минус S_MBC=S_ABM.

Зна­чит, тре­уголь­ни­ки DBC и AMB рав­но­ве­ли­ки. Сле­до­ва­тель­но,

S_DBC=S_AMB= дробь: чис­ли­тель: 1, зна­ме­на­тель: 2 конец дроби AM умно­жить на BK= дробь: чис­ли­тель: 1, зна­ме­на­тель: 2 конец дроби умно­жить на 17x= дробь: чис­ли­тель: 1, зна­ме­на­тель: 2 конец дроби умно­жить на 17 умно­жить на дробь: чис­ли­тель: 42, зна­ме­на­тель: ко­рень из: на­ча­ло ар­гу­мен­та: 93 конец ар­гу­мен­та конец дроби = дробь: чис­ли­тель: 357, зна­ме­на­тель: ко­рень из: на­ча­ло ар­гу­мен­та: 93 конец ар­гу­мен­та конец дроби .

 

Ответ:  дробь: чис­ли­тель: 357, зна­ме­на­тель: ко­рень из: на­ча­ло ар­гу­мен­та: 93 конец ар­гу­мен­та конец дроби .





При­мер 4.

Оцените это решение в баллах:



Задание № 513105

Точка B лежит на от­рез­ке AC. Пря­мая, про­хо­дя­щая через точку A, ка­са­ет­ся окруж­но­сти с диа­мет­ром BC в точке M и вто­рой раз пе­ре­се­ка­ет окруж­ность с диа­мет­ром AB в точке K. Про­дол­же­ние от­рез­ка MB пе­ре­се­ка­ет окруж­ность с диа­мет­ром AB в точке D.

а)  До­ка­жи­те, что пря­мые AD и MC па­рал­лель­ны.

б)  Най­ди­те пло­щадь тре­уголь­ни­ка DBC, если AK  =  4 и MK  =  12.


Решение

а)  Точки M и D лежат на окруж­но­стях с диа­мет­ра­ми BC и AB со­от­вет­ствен­но, по­это­му

\angle BMC=\angle BDA=90 гра­ду­сов.

Пря­мые AD и MC пер­пен­ди­ку­ляр­ны одной и той же пря­мой MD, сле­до­ва­тель­но, пря­мые AD и MC па­рал­лель­ны.

б)  Пусть O  — центр окруж­но­сти с диа­мет­ром BC. Тогда пря­мые OM и AM пер­пен­ди­ку­ляр­ны. Учи­ты­вая, что пря­мые BK и AM пер­пен­ди­ку­ляр­ны, по­лу­ча­ем, что пря­мые OM и BK па­рал­лель­ны. Обо­зна­чим BK через x. Тре­уголь­ник AMO по­до­бен тре­уголь­ни­ку AKB с ко­эф­фи­ци­ен­том 4, по­это­му OB  =  OM  =  4x. Опу­стим пер­пен­ди­ку­ляр BP из точки B на пря­мую OM. Так как четырёхуголь­ник BKMP  — пря­мо­уголь­ник,

BP=KM=12,

OP=OM минус MP=OM минус BK=4x минус x=3x.

По тео­ре­ме Пи­фа­го­ра OB2  =  BP2 + OP2, от­ку­да 16x2  =  144 + 9x2. По­лу­ча­ем, что x= дробь: чис­ли­тель: 12, зна­ме­на­тель: ко­рень из 7 конец дроби .

По­сколь­ку пря­мые AD и MC па­рал­лель­ны,

S_DBC=S_MDC минус S_MBC=S_MAC минус S_MBC=S_ABM.

Зна­чит, тре­уголь­ни­ки DBC и AMB рав­но­ве­ли­ки. Сле­до­ва­тель­но,

S_DBC=S_AMB= дробь: чис­ли­тель: 1, зна­ме­на­тель: 2 конец дроби AM умно­жить на BK= дробь: чис­ли­тель: 1, зна­ме­на­тель: 2 конец дроби умно­жить на 16x= дробь: чис­ли­тель: 1, зна­ме­на­тель: 2 конец дроби умно­жить на 16 умно­жить на дробь: чис­ли­тель: 12, зна­ме­на­тель: ко­рень из 7 конец дроби = дробь: чис­ли­тель: 96, зна­ме­на­тель: ко­рень из 7 конец дроби .

 

Ответ:  дробь: чис­ли­тель: 96, зна­ме­на­тель: ко­рень из 7 конец дроби .





При­мер 5.

Оцените это решение в баллах:



Задание № 559522


Решение





При­мер 1

Оцените это решение в баллах:

При­мер 2

Оцените это решение в баллах:

При­мер 3

Оцените это решение в баллах:



Задание № 559524


Решение





При­мер 1

Оцените это решение в баллах:

При­мер 2

Оцените это решение в баллах:

При­мер 3

Оцените это решение в баллах:



Задание № 559525


Решение





При­мер 1

Оцените это решение в баллах:

При­мер 2

Оцените это решение в баллах:



Наверх
Вернуться на основную страницу «Школы экспертов»