Школа экспертов
Вернуться на основную страницу «Школы экспертов»

Ниже представлены ученические решения экзаменационных заданий. Оцените каждое из них в соответствии с критериями проверки заданий ЕГЭ. После нажатия кнопки «Проверить» вы узнаете правильный балл за каждое из решений. В конце будут подведены итоги.

Задание 484645
Задание 500135
Задание 500370
Задание 501988
Задание 505420
Задание 505538
Задание 507185
Задание 507186
Задание 507187
Задание 507188
Задание 507189
Задание 507190
Задание 513110
Задание 513111
Задание 559536
Задание 559538
Задание 559545


Задание № 484645

Най­ди­те все зна­че­ния па­ра­мет­ра a, при каж­дом из ко­то­рых си­сте­ма

 си­сте­ма вы­ра­же­ний  новая стро­ка y в квад­ра­те плюс xy минус 4x минус 9y плюс 20=0,  новая стро­ка y=ax плюс 1,  новая стро­ка x боль­ше 2 конец си­сте­мы .

имеет един­ствен­ное ре­ше­ние.


Решение

Пре­об­ра­зу­ем ис­ход­ную си­сте­му:

 си­сте­ма вы­ра­же­ний  новая стро­ка левая круг­лая скоб­ка y минус 4 пра­вая круг­лая скоб­ка x плюс y в квад­ра­те минус 9y плюс 20=0,  новая стро­ка y=ax плюс 1,  новая стро­ка x боль­ше 2 конец си­сте­мы . рав­но­силь­но си­сте­ма вы­ра­же­ний  новая стро­ка левая круг­лая скоб­ка y минус 4 пра­вая круг­лая скоб­ка x плюс левая круг­лая скоб­ка y минус 4 пра­вая круг­лая скоб­ка левая круг­лая скоб­ка y минус 5 пра­вая круг­лая скоб­ка =0,  новая стро­ка y=ax плюс 1,  новая стро­ка x боль­ше 2 конец си­сте­мы . рав­но­силь­но си­сте­ма вы­ра­же­ний  новая стро­ка левая круг­лая скоб­ка y минус 4 пра­вая круг­лая скоб­ка левая круг­лая скоб­ка x плюс y минус 5 пра­вая круг­лая скоб­ка =0,  новая стро­ка y=ax плюс 1,  новая стро­ка x боль­ше 2. конец си­сте­мы .

Урав­не­ние  левая круг­лая скоб­ка y минус 4 пра­вая круг­лая скоб­ка левая круг­лая скоб­ка x плюс y минус 5 пра­вая круг­лая скоб­ка =0 за­да­ет пару пе­ре­се­ка­ю­щих­ся пря­мых y=4 и y=5 минус x.

Си­сте­ма

 си­сте­ма вы­ра­же­ний  новая стро­ка x боль­ше 2,  новая стро­ка левая круг­лая скоб­ка y минус 4 пра­вая круг­лая скоб­ка левая круг­лая скоб­ка y плюс x минус 5 пра­вая круг­лая скоб­ка =0 конец си­сте­мы .

за­да­ет части этих пря­мых, рас­по­ло­жен­ные пра­вее пря­мой x=2, то есть лучи BD и CE (без точек B и C), см. рис.

Урав­не­ние y=ax плюс 1 за­да­ет пря­мую m с уг­ло­вым ко­эф­фи­ци­ен­том a, про­хо­дя­щую через точку A левая круг­лая скоб­ка 0, 1 пра­вая круг­лая скоб­ка . Сле­ду­ет найти все зна­че­ния a, при каж­дом из ко­то­рых пря­мая m имеет един­ствен­ную общую точку с объ­еди­не­ни­ем лучей BD и CE.

а)  Пря­мая AB за­да­ет­ся урав­не­ни­ем y=1,5x плюс 1. По­это­му при a боль­ше или равно 1,5 пря­мая m не пе­ре­се­чет ни луч BD, ни луч CE.

б)  Пря­мая AC за­да­ет­ся урав­не­ни­ем y=x плюс 1. По­это­му при 1 мень­ше или равно a мень­ше 1,5 пря­мая m пе­ре­се­чет луч BD, но не пе­ре­се­чет луч CE.

в)  При 0 мень­ше a мень­ше 1 пря­мая m пре­се­чет и луч BD, и луч CE.

г)  На­ко­нец, при  минус 1 мень­ше a мень­ше или равно 0 пря­мая m пе­ре­се­чет толь­ко луч CE, а при a мень­ше или равно минус 1 она не пе­ре­се­чет ни луч BD, ни луч CE.

 

Ответ: a при­над­ле­жит левая круг­лая скоб­ка минус 1,0 пра­вая квад­рат­ная скоб­ка \cup левая квад­рат­ная скоб­ка 1,1,5 пра­вая круг­лая скоб­ка .



Кри­те­рии оце­ни­ва­ния вы­пол­не­ния за­да­нияБаллы
Обос­но­ван­но по­лу­чен пра­виль­ный ответ4
По­лу­чен вер­ный ответ. Ре­ше­ние в целом вер­ное. Обос­но­ва­но най­де­ны оба про­ме­жут­ка зна­че­ний па­ра­мет­ра из от­ве­та к за­да­че, при этом воз­мож­ны не­точ­но­сти с (не)вклю­че­ни­ем кон­цов и(или) вы­чис­ли­тель­ная по­греш­ность3
Обос­но­ва­но най­ден хотя бы один про­ме­жу­ток зна­че­ний па­ра­мет­ра из от­ве­та к за­да­че, при этом воз­мож­ны не­точ­но­сти с (не)вклю­че­ни­ем кон­цов и(или) вы­чис­ли­тель­ная по­греш­ность2
Ре­ше­ние со­дер­жит:

−  или вер­ное опи­са­ние рас­по­ло­же­ния двух лучей и пря­мой из усло­вия за­да­чи;

−  или вер­ное по­лу­че­ние квад­рат­но­го урав­не­ния с па­ра­мет­ром a от­но­си­тель­но одной из пе­ре­мен­ных

1
Ре­ше­ние не со­от­вет­ству­ет ни од­но­му из кри­те­ри­ев, пе­ре­чис­лен­ных выше0
Мак­си­маль­ный балл4


При­мер 1.

Оцените это решение в баллах:

При­мер 2.

Оцените это решение в баллах:

При­мер 3.

Оцените это решение в баллах:

При­мер 4.

Оцените это решение в баллах:



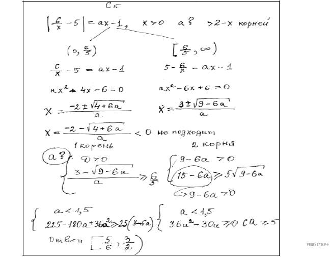
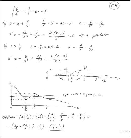
Задание № 500135

Най­ди­те все зна­че­ния а при каж­дом из ко­то­рых урав­не­ние

\left| дробь: чис­ли­тель: 6, зна­ме­на­тель: x конец дроби минус 5|=ax минус 1

на про­ме­жут­ке  левая круг­лая скоб­ка 0; плюс бес­ко­неч­ность пра­вая круг­лая скоб­ка имеет более двух кор­ней.


Решение

Рас­смот­рим функ­ции f левая круг­лая скоб­ка x пра­вая круг­лая скоб­ка =ax минус 1 и g левая круг­лая скоб­ка x пра­вая круг­лая скоб­ка =\left| дробь: чис­ли­тель: 6, зна­ме­на­тель: x конец дроби минус 5|. Ис­сле­ду­ем урав­не­ние f левая круг­лая скоб­ка x пра­вая круг­лая скоб­ка =g левая круг­лая скоб­ка x пра­вая круг­лая скоб­ка на про­ме­жут­ке  левая круг­лая скоб­ка 0; плюс бес­ко­неч­ность пра­вая круг­лая скоб­ка .

 

При a мень­ше или равно 0 все зна­че­ния функ­ции f левая круг­лая скоб­ка x пра­вая круг­лая скоб­ка на про­ме­жут­ке  левая круг­лая скоб­ка 0; плюс бес­ко­неч­ность пра­вая круг­лая скоб­ка от­ри­ца­тель­ны, а все зна­че­ния функ­ции g левая круг­лая скоб­ка x пра­вая круг­лая скоб­ка   — не­от­ри­ца­тель­ны, по­это­му при a мень­ше или равно 0 урав­не­ние f левая круг­лая скоб­ка x пра­вая круг­лая скоб­ка =g левая круг­лая скоб­ка x пра­вая круг­лая скоб­ка не имеет ре­ше­ний на про­ме­жут­ке  левая круг­лая скоб­ка 0; плюс бес­ко­неч­ность пра­вая круг­лая скоб­ка .

 

При a боль­ше 0 функ­ция f левая круг­лая скоб­ка x пра­вая круг­лая скоб­ка воз­рас­та­ет. Функ­ция g левая круг­лая скоб­ка x пра­вая круг­лая скоб­ка убы­ва­ет на про­ме­жут­ке  левая круг­лая скоб­ка 0; дробь: чис­ли­тель: 6, зна­ме­на­тель: 5 конец дроби пра­вая квад­рат­ная скоб­ка , по­это­му урав­не­ние f левая круг­лая скоб­ка x пра­вая круг­лая скоб­ка =g левая круг­лая скоб­ка x пра­вая круг­лая скоб­ка имеет не более од­но­го ре­ше­ния на про­ме­жут­ке  левая круг­лая скоб­ка 0; дробь: чис­ли­тель: 6, зна­ме­на­тель: 5 конец дроби пра­вая квад­рат­ная скоб­ка , при­чем ре­ше­ние будет су­ще­ство­вать тогда и толь­ко тогда, когда, f левая круг­лая скоб­ка дробь: чис­ли­тель: 6, зна­ме­на­тель: 5 конец дроби пра­вая круг­лая скоб­ка боль­ше или равно g левая круг­лая скоб­ка дробь: чис­ли­тель: 6, зна­ме­на­тель: 5 конец дроби пра­вая круг­лая скоб­ка , от­ку­да по­лу­ча­ем a умно­жить на дробь: чис­ли­тель: 6, зна­ме­на­тель: 5 конец дроби минус 1 боль­ше или равно 0, то есть a боль­ше или равно дробь: чис­ли­тель: 5, зна­ме­на­тель: 6 конец дроби .

 

На про­ме­жут­ке  левая круг­лая скоб­ка дробь: чис­ли­тель: 6, зна­ме­на­тель: 5 конец дроби ; плюс бес­ко­неч­ность пра­вая круг­лая скоб­ка урав­не­ние f левая круг­лая скоб­ка x пра­вая круг­лая скоб­ка =g левая круг­лая скоб­ка x пра­вая круг­лая скоб­ка при­ни­ма­ет вид ax минус 1=5 минус дробь: чис­ли­тель: 6, зна­ме­на­тель: x конец дроби . Это урав­не­ние сво­дит­ся к урав­не­нию ax в квад­ра­те минус 6x плюс 6=0. Будем счи­тать, что a боль­ше 0, по­сколь­ку слу­чай a мень­ше или равно 0 был рас­смот­рен ранее. Дис­кри­ми­нант квад­рат­но­го урав­не­ния D=36 минус 24a, по­это­му при a боль­ше дробь: чис­ли­тель: 3, зна­ме­на­тель: 2 конец дроби это урав­не­ние не имеет кор­ней; при a= дробь: чис­ли­тель: 3, зна­ме­на­тель: 2 конец дроби урав­не­ние имеет един­ствен­ный ко­рень, рав­ный 2; при 0 мень­ше a мень­ше дробь: чис­ли­тель: 3, зна­ме­на­тель: 2 конец дроби урав­не­ние имеет два корня.

 

Если урав­не­ние имеет два корня x_1 и x_2, то есть 0 мень­ше a мень­ше дробь: чис­ли­тель: 3, зна­ме­на­тель: 2 конец дроби , то боль­ший ко­рень x_2= дробь: чис­ли­тель: 6 плюс ко­рень из: на­ча­ло ар­гу­мен­та: D конец ар­гу­мен­та , зна­ме­на­тель: 2a конец дроби боль­ше дробь: чис­ли­тель: 3, зна­ме­на­тель: a конец дроби боль­ше 2 боль­ше дробь: чис­ли­тель: 6, зна­ме­на­тель: 5 конец дроби , по­это­му он при­над­ле­жит про­ме­жут­ку  левая круг­лая скоб­ка дробь: чис­ли­тель: 6, зна­ме­на­тель: 5 конец дроби ; плюс бес­ко­неч­ность пра­вая круг­лая скоб­ка . Мень­ший ко­рень x_1 при­над­ле­жит про­ме­жут­ку  левая круг­лая скоб­ка дробь: чис­ли­тель: 6, зна­ме­на­тель: 5 конец дроби ; плюс бес­ко­неч­ность пра­вая круг­лая скоб­ка тогда и толь­ко тогда, когда

 

 a левая круг­лая скоб­ка x_1 минус дробь: чис­ли­тель: 6, зна­ме­на­тель: 5 конец дроби пра­вая круг­лая скоб­ка левая круг­лая скоб­ка x_2 минус дробь: чис­ли­тель: 6, зна­ме­на­тель: 5 конец дроби пра­вая круг­лая скоб­ка =a дробь: чис­ли­тель: 6, зна­ме­на­тель: 5 конец дроби в квад­ра­те минус 6 умно­жить на дробь: чис­ли­тель: 6, зна­ме­на­тель: 5 конец дроби плюс 6= дробь: чис­ли­тель: 36a минус 30, зна­ме­на­тель: 25 конец дроби боль­ше 0, то есть a боль­ше дробь: чис­ли­тель: 5, зна­ме­на­тель: 6 конец дроби

Таким об­ра­зом, урав­не­ние \left| дробь: чис­ли­тель: 6, зна­ме­на­тель: x конец дроби минус 5|=ax минус 1 имеет сле­ду­ю­щее ко­ли­че­ство кор­ней на про­ме­жут­ке  левая круг­лая скоб­ка 0; плюс бес­ко­неч­ность пра­вая круг­лая скоб­ка :

 

- нет кор­ней при a мень­ше или равно 0;

- один ко­рень при 0 мень­ше a мень­ше дробь: чис­ли­тель: 5, зна­ме­на­тель: 6 конец дроби и a боль­ше дробь: чис­ли­тель: 3, зна­ме­на­тель: 2 конец дроби ;

- два корня при a= дробь: чис­ли­тель: 5, зна­ме­на­тель: 6 конец дроби и a= дробь: чис­ли­тель: 3, зна­ме­на­тель: 2 конец дроби ;

- три корня при  дробь: чис­ли­тель: 5, зна­ме­на­тель: 6 конец дроби мень­ше a мень­ше дробь: чис­ли­тель: 3, зна­ме­на­тель: 2 конец дроби .

 

Ответ:  дробь: чис­ли­тель: 5, зна­ме­на­тель: 6 конец дроби мень­ше a мень­ше дробь: чис­ли­тель: 3, зна­ме­на­тель: 2 конец дроби .

 

Решим за­да­чу гра­фи­че­ски.

При a мень­ше или равно 0 нет ре­ше­ний, так как левая часть не­от­ри­ца­тель­ная, а пра­вая часть мень­ше −1. По­стро­им гра­фи­ки функ­ций f левая круг­лая скоб­ка x пра­вая круг­лая скоб­ка =\left| дробь: чис­ли­тель: 6, зна­ме­на­тель: x конец дроби минус 5| (толь­ко по­ло­жи­тель­ную часть) и g левая круг­лая скоб­ка x пра­вая круг­лая скоб­ка =ax минус 1. От­ме­тим, что g левая круг­лая скоб­ка x пра­вая круг­лая скоб­ка =ax минус 1  — это пря­мые, про­хо­дя­щие через точку (0; −1).

Три ре­ше­ния это урав­не­ние будет иметь, когда пря­мые y=ax минус 1 будут ле­жать между пря­мы­ми m и n. Уг­ло­вой ко­эф­фи­ци­ент пря­мой n равен a= дробь: чис­ли­тель: 5, зна­ме­на­тель: 6 конец дроби . Для точек пе­ре­се­че­ния пря­мой m с вет­вью ги­пер­бо­лы на­хо­дим:

5 минус дробь: чис­ли­тель: 6, зна­ме­на­тель: x конец дроби =ax минус 1 рав­но­силь­но 5x минус 6=ax в квад­ра­те минус x рав­но­силь­но ax в квад­ра­те минус 6x плюс 6=0.

Для точки ка­са­ния дис­кри­ми­нант D=9 минус 6a дол­жен быть равен нулю, от­ку­да a= дробь: чис­ли­тель: 3, зна­ме­на­тель: 2 конец дроби . Таким об­ра­зом,  дробь: чис­ли­тель: 5, зна­ме­на­тель: 6 конец дроби мень­ше a мень­ше дробь: чис­ли­тель: 3, зна­ме­на­тель: 2 конец дроби .

 

Ответ:  дробь: чис­ли­тель: 5, зна­ме­на­тель: 6 конец дроби мень­ше a мень­ше дробь: чис­ли­тель: 3, зна­ме­на­тель: 2 конец дроби .





При­мер 1.

Оцените это решение в баллах:

При­мер 2.

Оцените это решение в баллах:

При­мер 2.

Оцените это решение в баллах:

При­мер 3.

Оцените это решение в баллах:



Задание № 500370

Най­ди­те все зна­че­ния а, при каж­дом из ко­то­рых урав­не­ние \left| дробь: чис­ли­тель: 5, зна­ме­на­тель: x конец дроби минус 4|=ax минус 1 на про­ме­жут­ке  левая круг­лая скоб­ка 0, плюс бес­ко­неч­ность пра­вая круг­лая скоб­ка имеет более двух кор­ней.


Решение

От­ме­тим, что при a мень­ше или равно 0 урав­не­ние не имеет по­ло­жи­тель­ных кор­ней, по­сколь­ку его левая часть не­от­ри­ца­тель­на, а пра­вая от­ри­ца­тель­на. Опре­де­лим, для каких по­ло­жи­тель­ных a гра­фи­ки функ­ций y=\left| дробь: чис­ли­тель: 5, зна­ме­на­тель: x конец дроби минус 4 |и y=ax минус 1 имеют более двух точек пе­ре­се­че­ния на об­ла­сти x > 0.

Урав­не­ние y  =  ax − 1 задаёт се­мей­ство пря­мых, про­хо­дя­щих через точку  левая круг­лая скоб­ка 0; минус 1 пра­вая круг­лая скоб­ка . Если их уг­ло­вой ко­эф­фи­ци­ент мень­ше чем у пря­мой р или боль­ше чем у пря­мой m (см. рис.), то на про­ме­жут­ке  левая круг­лая скоб­ка 0; плюс бес­ко­неч­ность пра­вая круг­лая скоб­ка гра­фи­ки будут иметь ровно одну общую точку. Если пря­мая сов­па­да­ет с пря­мой р или с пря­мой m, то гра­фи­ки будут иметь ровно две общие точки. Гра­фи­ки имеют три общие точки, а ис­ход­ное урав­не­ние имеет три по­ло­жи­тель­ных ре­ше­ния, если пря­мые y  =  ax − 1 лежат внут­ри остро­го угла, об­ра­зо­ван­но­го пря­мы­ми p и m.

Найдём гра­нич­ные зна­че­ния па­ра­мет­ров, со­от­вет­ству­ю­щие этим пря­мым.

Для пря­мой p:

y левая круг­лая скоб­ка дробь: чис­ли­тель: 5, зна­ме­на­тель: 4 конец дроби пра­вая круг­лая скоб­ка =0 рав­но­силь­но a умно­жить на дробь: чис­ли­тель: 5, зна­ме­на­тель: 4 конец дроби минус 1=0 рав­но­силь­но a= дробь: чис­ли­тель: 4, зна­ме­на­тель: 5 конец дроби .

Найдём зна­че­ние па­ра­мет­ра, со­от­вет­ству­ю­щее ка­са­нию. Имеем:

4 минус дробь: чис­ли­тель: 5, зна­ме­на­тель: x конец дроби =ax минус 1 рав­но­силь­но 4x минус 5=ax в квад­ра­те минус x рав­но­силь­но ax в квад­ра­те минус 5x плюс 5=0.

Ка­са­тель­ная к ги­пер­бо­ле имеет с ней един­ствен­ную общую точку, по­это­му дис­кри­ми­нант по­лу­чен­но­го квад­рат­но­го урав­не­ния долж­но быть равен нулю:

25 минус 4 умно­жить на a умно­жить на 5=0 рав­но­силь­но a= дробь: чис­ли­тель: 5, зна­ме­на­тель: 4 конец дроби .

Итак, ка­са­нию со­от­вет­ству­ет зна­че­ние па­ра­мет­ра a= дробь: чис­ли­тель: 5, зна­ме­на­тель: 4 конец дроби .

При най­ден­ных зна­че­ни­ях па­ра­мет­ров пря­мая p пе­ре­се­ка­ет­ся с гра­фи­ком функ­ции y=\left| дробь: чис­ли­тель: 5, зна­ме­на­тель: x конец дроби минус 4 | в точ­ках A левая круг­лая скоб­ка дробь: чис­ли­тель: 5, зна­ме­на­тель: 4 конец дроби ;0 пра­вая круг­лая скоб­ка и B левая круг­лая скоб­ка 5;3 пра­вая круг­лая скоб­ка , а пря­мая m ка­са­ет­ся гра­фи­ка в точке C левая круг­лая скоб­ка 2; дробь: чис­ли­тель: 3, зна­ме­на­тель: 2 конец дроби пра­вая круг­лая скоб­ка . За­ме­тим, что точка С дей­стви­тель­но лежит левее точки В в силу того, что гра­фик вы­пукл вверх и что ор­ди­на­та точки С по­ло­жи­тель­на, иначе ока­за­лось бы, что наш ри­су­нок не­ве­рен и по­тре­бо­ва­лось рас­смот­реть со­от­вет­ству­ю­щую кон­фи­гу­ра­цию.

Таким об­ра­зом, ис­ко­мы­ми зна­че­ни­я­ми па­ра­мет­ра яв­ля­ют­ся  дробь: чис­ли­тель: 4, зна­ме­на­тель: 5 конец дроби мень­ше a мень­ше дробь: чис­ли­тель: 5, зна­ме­на­тель: 4 конец дроби .

 

Ответ:  дробь: чис­ли­тель: 4, зна­ме­на­тель: 5 конец дроби мень­ше a мень­ше дробь: чис­ли­тель: 5, зна­ме­на­тель: 4 конец дроби .

 

При­ведём ав­тор­ское ре­ше­ние.

Рас­смот­рим функ­ции f левая круг­лая скоб­ка x пра­вая круг­лая скоб­ка =ax минус 1 и g левая круг­лая скоб­ка x пра­вая круг­лая скоб­ка =\left| дробь: чис­ли­тель: 5, зна­ме­на­тель: x конец дроби минус 4|. Ис­сле­ду­ем урав­не­ние f левая круг­лая скоб­ка x пра­вая круг­лая скоб­ка =g левая круг­лая скоб­ка x пра­вая круг­лая скоб­ка на про­ме­жут­ке  левая круг­лая скоб­ка 0, плюс бес­ко­неч­ность пра­вая круг­лая скоб­ка .

При a мень­ше или равно 0 все зна­че­ния функ­ции f левая круг­лая скоб­ка x пра­вая круг­лая скоб­ка на про­ме­жут­ке  левая круг­лая скоб­ка 0, плюс бес­ко­неч­ность пра­вая круг­лая скоб­ка от­ри­ца­тель­ны, а все зна­че­ния функ­ции g левая круг­лая скоб­ка x пра­вая круг­лая скоб­ка   — не­от­ри­ца­тель­ны, по­это­му при a мень­ше или равно 0 урав­не­ние f левая круг­лая скоб­ка x пра­вая круг­лая скоб­ка =g левая круг­лая скоб­ка x пра­вая круг­лая скоб­ка не имеет ре­ше­ний на про­ме­жут­ке  левая круг­лая скоб­ка 0, плюс бес­ко­неч­ность пра­вая круг­лая скоб­ка .

При a боль­ше 0 функ­ция f левая круг­лая скоб­ка x пра­вая круг­лая скоб­ка воз­рас­та­ет. Функ­ция g левая круг­лая скоб­ка x пра­вая круг­лая скоб­ка убы­ва­ет на про­ме­жут­ке  левая круг­лая скоб­ка 0, дробь: чис­ли­тель: 5, зна­ме­на­тель: 4 конец дроби пра­вая квад­рат­ная скоб­ка , по­это­му урав­не­ние f левая круг­лая скоб­ка x пра­вая круг­лая скоб­ка =g левая круг­лая скоб­ка x пра­вая круг­лая скоб­ка имеет не более од­но­го ре­ше­ния на про­ме­жут­ке  левая круг­лая скоб­ка 0, дробь: чис­ли­тель: 5, зна­ме­на­тель: 4 конец дроби пра­вая квад­рат­ная скоб­ка , при­чем ре­ше­ние будет су­ще­ство­вать тогда и толь­ко тогда, когда f левая круг­лая скоб­ка дробь: чис­ли­тель: 5, зна­ме­на­тель: 4 конец дроби пра­вая круг­лая скоб­ка боль­ше или равно g левая круг­лая скоб­ка дробь: чис­ли­тель: 5, зна­ме­на­тель: 4 конец дроби пра­вая круг­лая скоб­ка , от­ку­да по­лу­ча­ем a умно­жить на дробь: чис­ли­тель: 5, зна­ме­на­тель: 4 конец дроби минус 1 боль­ше или равно 0, то есть a боль­ше или равно дробь: чис­ли­тель: 4, зна­ме­на­тель: 5 конец дроби .

На про­ме­жут­ке  левая круг­лая скоб­ка дробь: чис­ли­тель: 5, зна­ме­на­тель: 4 конец дроби , плюс бес­ко­неч­ность пра­вая круг­лая скоб­ка урав­не­ние f левая круг­лая скоб­ка x пра­вая круг­лая скоб­ка =g левая круг­лая скоб­ка x пра­вая круг­лая скоб­ка при­ни­ма­ет вид ax минус 1=4 минус дробь: чис­ли­тель: 5, зна­ме­на­тель: x конец дроби . Это урав­не­ние сво­дит­ся к урав­не­нию ax в квад­ра­те минус 5x плюс 5=0. Будем счи­тать, что a боль­ше 0, по­сколь­ку слу­чай a мень­ше или равно 0 был рас­смот­рен ранее. Дис­кри­ми­нант квад­рат­но­го урав­не­ния D=25 минус 20a, по­это­му при a боль­ше дробь: чис­ли­тель: 5, зна­ме­на­тель: 4 конец дроби это урав­не­ние не имеет кор­ней, при a= дробь: чис­ли­тель: 5, зна­ме­на­тель: 4 конец дроби урав­не­ние имеет един­ствен­ный ко­рень, рав­ный  2, при 0 мень­ше a мень­ше дробь: чис­ли­тель: 5, зна­ме­на­тель: 4 конец дроби урав­не­ние имеет два корня.

Если урав­не­ние имеет два корня x_1 и x_2, то есть 0 мень­ше a мень­ше дробь: чис­ли­тель: 5, зна­ме­на­тель: 4 конец дроби , то боль­ший ко­рень x_2= дробь: чис­ли­тель: 5 плюс ко­рень из: на­ча­ло ар­гу­мен­та: D конец ар­гу­мен­та , зна­ме­на­тель: 2a конец дроби боль­ше дробь: чис­ли­тель: 5, зна­ме­на­тель: 2a конец дроби боль­ше 2 боль­ше дробь: чис­ли­тель: 5, зна­ме­на­тель: 4 конец дроби , по­это­му он при­над­ле­жит про­ме­жут­ку  левая круг­лая скоб­ка дробь: чис­ли­тель: 5, зна­ме­на­тель: 4 конец дроби , плюс бес­ко­неч­ность пра­вая круг­лая скоб­ка . Мень­ший ко­рень x_1 при­над­ле­жит про­ме­жут­ку  левая круг­лая скоб­ка дробь: чис­ли­тель: 5, зна­ме­на­тель: 4 конец дроби , плюс бес­ко­неч­ность пра­вая круг­лая скоб­ка тогда и толь­ко тогда, когда

 a левая круг­лая скоб­ка x_1 минус дробь: чис­ли­тель: 5, зна­ме­на­тель: 4 конец дроби пра­вая круг­лая скоб­ка левая круг­лая скоб­ка x_2 минус дробь: чис­ли­тель: 5, зна­ме­на­тель: 4 конец дроби пра­вая круг­лая скоб­ка =a умно­жить на левая круг­лая скоб­ка дробь: чис­ли­тель: 5, зна­ме­на­тель: 4 конец дроби пра­вая круг­лая скоб­ка в квад­ра­те минус 5 умно­жить на дробь: чис­ли­тель: 5, зна­ме­на­тель: 4 конец дроби плюс 5= дробь: чис­ли­тель: 25a минус 20, зна­ме­на­тель: 16 конец дроби боль­ше 0, то есть a боль­ше дробь: чис­ли­тель: 4, зна­ме­на­тель: 5 конец дроби .

Таким об­ра­зом, ис­ход­ное урав­не­ние \left| дробь: чис­ли­тель: 5, зна­ме­на­тель: x конец дроби минус 4|=ax минус 1 имеет сле­ду­ю­щее ко­ли­че­ство кор­ней на про­ме­жут­ке  левая круг­лая скоб­ка 0, плюс бес­ко­неч­ность пра­вая круг­лая скоб­ка :

—  нет кор­ней при a мень­ше или равно 0;

—  один ко­рень при 0 мень­ше a мень­ше дробь: чис­ли­тель: 4, зна­ме­на­тель: 5 конец дроби и a боль­ше дробь: чис­ли­тель: 5, зна­ме­на­тель: 4 конец дроби ;

—  два корня при a= дробь: чис­ли­тель: 4, зна­ме­на­тель: 5 конец дроби и a= дробь: чис­ли­тель: 5, зна­ме­на­тель: 4 конец дроби ;

—  три корня при  дробь: чис­ли­тель: 4, зна­ме­на­тель: 5 конец дроби мень­ше a мень­ше дробь: чис­ли­тель: 5, зна­ме­на­тель: 4 конец дроби .

 

Ответ:  дробь: чис­ли­тель: 4, зна­ме­на­тель: 5 конец дроби мень­ше a мень­ше дробь: чис­ли­тель: 5, зна­ме­на­тель: 4 конец дроби .





При­мер 1.

Оцените это решение в баллах:

При­мер 1.

Оцените это решение в баллах:



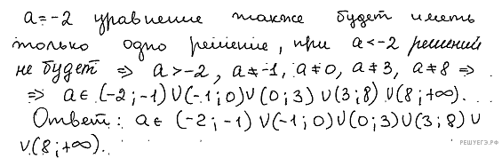
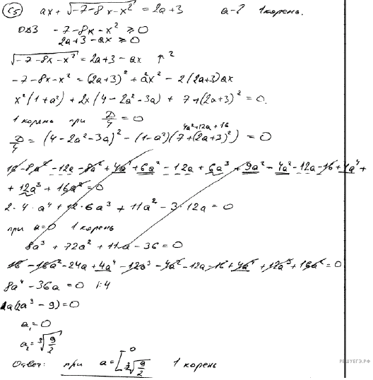
Задание № 501988

Най­ди­те все зна­че­ния a , при каж­дом из ко­то­рых урав­не­ние ax плюс ко­рень из: на­ча­ло ар­гу­мен­та: минус 7 минус 8x минус x в квад­ра­те конец ар­гу­мен­та =2a плюс 3 имеет един­ствен­ный ко­рень.


Решение

За­пи­шем урав­не­ние в виде  ко­рень из: на­ча­ло ар­гу­мен­та: минус 7 минус 8x минус x в квад­ра­те конец ар­гу­мен­та =2a плюс 3 минус ax. Рас­смот­рим две функ­ции: f левая круг­лая скоб­ка x пра­вая круг­лая скоб­ка = ко­рень из: на­ча­ло ар­гу­мен­та: минус 7 минус 8x минус x в квад­ра­те конец ар­гу­мен­та и g левая круг­лая скоб­ка x пра­вая круг­лая скоб­ка = минус ax плюс 2a плюс 3. Гра­фи­ком функ­ции  f левая круг­лая скоб­ка х пра­вая круг­лая скоб­ка = ко­рень из: на­ча­ло ар­гу­мен­та: 3 в квад­ра­те минус левая круг­лая скоб­ка x плюс 4 пра­вая круг­лая скоб­ка в квад­ра­те конец ар­гу­мен­та яв­ля­ет­ся по­лу­окруж­ность ра­ди­у­са 3 с цен­тром в точке  левая круг­лая скоб­ка минус 4; 0 пра­вая круг­лая скоб­ка , ле­жа­щая в верх­ней по­лу­плос­ко­сти (см. рис.). При каж­дом зна­че­нии a гра­фи­ком функ­ции g левая круг­лая скоб­ка x пра­вая круг­лая скоб­ка яв­ля­ет­ся пря­мая с уг­ло­вым ко­эф­фи­ци­ен­том  минус a, про­хо­дя­щая через точку M левая круг­лая скоб­ка 2; 3 пра­вая круг­лая скоб­ка .

Урав­не­ние имеет един­ствен­ный ко­рень, если гра­фи­ки функ­ций f левая круг­лая скоб­ка x пра­вая круг­лая скоб­ка и g левая круг­лая скоб­ка x пра­вая круг­лая скоб­ка имеют един­ствен­ную общую точку: либо пря­мая ка­са­ет­ся по­лу­окруж­но­сти, либо пе­ре­се­ка­ет её в един­ствен­ной точке.

Ка­са­тель­ная MC, про­ведённая из точки М к по­лу­окруж­но­сти, имеет уг­ло­вой ко­эф­фи­ци­ент, рав­ный нулю, то есть при a = 0 ис­ход­ное урав­не­ние имеет един­ствен­ный ко­рень. При  минус a мень­ше 0 пря­мая не имеет общих точек с по­лу­окруж­но­стью.

Пря­мая MA, за­дан­ная урав­не­ни­ем y = минус ax плюс 2a плюс 3, про­хо­дит через точки M левая круг­лая скоб­ка 2; 3 пра­вая круг­лая скоб­ка и A левая круг­лая скоб­ка минус 7;0 пра­вая круг­лая скоб­ка , сле­до­ва­тель­но, её уг­ло­вой ко­эф­фи­ци­ент  минус a = дробь: чис­ли­тель: 1, зна­ме­на­тель: 3 конец дроби .

При 0 мень­ше минус a мень­ше или равно дробь: чис­ли­тель: 1, зна­ме­на­тель: 3 конец дроби пря­мая, за­дан­ная урав­не­ни­ем y = минус aх плюс 2a плюс 3. имеет две общие точки с по­лу­окруж­но­стью. Пря­мая MB, за­дан­ная урав­не­ни­ем y = минус aх плюс 2a плюс 3. про­хо­дит через точки M левая круг­лая скоб­ка 2; 3 пра­вая круг­лая скоб­ка и B левая круг­лая скоб­ка минус 1; 0 пра­вая круг­лая скоб­ка , сле­до­ва­тель­но, её уг­ло­вой ко­эф­фи­ци­ент  минус a = 1. При  дробь: чис­ли­тель: 1, зна­ме­на­тель: 3 конец дроби мень­ше минус a мень­ше или равно 1 пря­мая, за­дан­ная урав­не­ни­ем y = минус aх плюс 2a плюс 3. имеет уг­ло­вой ко­эф­фи­ци­ент боль­ше, чем у пря­мой MA и не боль­ше, чем у пря­мой MB, и пе­ре­се­ка­ет по­лу­окруж­ность в един­ствен­ной точке. По­лу­ча­ем, что при  минус 1 мень­ше или равно a мень­ше минус дробь: чис­ли­тель: 1, зна­ме­на­тель: 3 конец дроби ис­ход­ное урав­не­ние имеет един­ствен­ный ко­рень. При  минус a боль­ше 1 пря­мая не имеет общих точек с по­лу­окруж­но­стью.

 

Ответ:  левая квад­рат­ная скоб­ка минус 1; минус дробь: чис­ли­тель: 1, зна­ме­на­тель: 3 конец дроби пра­вая круг­лая скоб­ка ; 0.





При­мер 1.

Оцените это решение в баллах:

При­мер 2.

Оцените это решение в баллах:

При­мер 3.

Оцените это решение в баллах:

При­мер 4.

Оцените это решение в баллах:



Задание № 505420

Най­ди­те все зна­че­ния a, при ко­то­рых урав­не­ние

 левая круг­лая скоб­ка ло­га­рифм по ос­но­ва­нию 2 левая круг­лая скоб­ка x плюс a пра­вая круг­лая скоб­ка минус ло­га­рифм по ос­но­ва­нию 2 левая круг­лая скоб­ка x минус a пра­вая круг­лая скоб­ка пра­вая круг­лая скоб­ка в квад­ра­те минус 3a левая круг­лая скоб­ка ло­га­рифм по ос­но­ва­нию 2 левая круг­лая скоб­ка x плюс a пра­вая круг­лая скоб­ка минус ло­га­рифм по ос­но­ва­нию 2 левая круг­лая скоб­ка x минус a пра­вая круг­лая скоб­ка пра­вая круг­лая скоб­ка плюс 2a в квад­ра­те минус a минус 1=0

имеет ровно два ре­ше­ния.


Решение

Пусть t= ло­га­рифм по ос­но­ва­нию 2 левая круг­лая скоб­ка x плюс a пра­вая круг­лая скоб­ка минус ло­га­рифм по ос­но­ва­нию 2 левая круг­лая скоб­ка x минус a пра­вая круг­лая скоб­ка , тогда по­лу­чим:

t в квад­ра­те минус 3at плюс 2a в квад­ра­те минус a минус 1=0 рав­но­силь­но со­во­куп­ность вы­ра­же­ний t=a минус 1, t=2a плюс 1. конец со­во­куп­но­сти

Зна­чит, ре­ше­ние ис­ход­но­го урав­не­ния  — это ре­ше­ние урав­не­ний  ло­га­рифм по ос­но­ва­нию 2 левая круг­лая скоб­ка x плюс a пра­вая круг­лая скоб­ка минус ло­га­рифм по ос­но­ва­нию 2 левая круг­лая скоб­ка x минус a пра­вая круг­лая скоб­ка =a минус 1 или  ло­га­рифм по ос­но­ва­нию 2 левая круг­лая скоб­ка x плюс a пра­вая круг­лая скоб­ка минус ло­га­рифм по ос­но­ва­нию 2 левая круг­лая скоб­ка x минус a пра­вая круг­лая скоб­ка =2a плюс 1.

Ис­сле­ду­ем сколь­ко ре­ше­ний имеет урав­не­ние  ло­га­рифм по ос­но­ва­нию 2 левая круг­лая скоб­ка x плюс a пра­вая круг­лая скоб­ка минус ло­га­рифм по ос­но­ва­нию 2 левая круг­лая скоб­ка x минус a пра­вая круг­лая скоб­ка =b в за­ви­си­мо­сти от a и b. При a не равно 0 и x боль­ше a, и x боль­ше минус a, то есть при x боль­ше |a|, левая часть опре­де­ле­на и при­ни­ма­ет вид

 ло­га­рифм по ос­но­ва­нию 2 левая круг­лая скоб­ка дробь: чис­ли­тель: x плюс a, зна­ме­на­тель: x минус a конец дроби пра­вая круг­лая скоб­ка = ло­га­рифм по ос­но­ва­нию 2 левая круг­лая скоб­ка 1 плюс дробь: чис­ли­тель: 2a, зна­ме­на­тель: x минус a конец дроби пра­вая круг­лая скоб­ка .

При x боль­ше |a| вы­ра­же­ние 1 плюс дробь: чис­ли­тель: 2a, зна­ме­на­тель: x минус a конец дроби при­ни­ма­ет по од­но­му все зна­че­ния из про­ме­жут­ка  левая круг­лая скоб­ка 1; плюс бес­ко­неч­ность пра­вая круг­лая скоб­ка для a боль­ше 0 и при­ни­ма­ет по од­но­му разу все зна­че­ния из про­ме­жут­ка  левая круг­лая скоб­ка 0;1 пра­вая круг­лая скоб­ка для a мень­ше 0. Зна­чит, при x боль­ше |a| вы­ра­же­ние  ло­га­рифм по ос­но­ва­нию 2 левая круг­лая скоб­ка 1 плюс дробь: чис­ли­тель: 2a, зна­ме­на­тель: x минус a конец дроби пра­вая круг­лая скоб­ка при­ни­ма­ет по од­но­му разу все зна­че­ния из про­ме­жут­ка  левая круг­лая скоб­ка 0; плюс бес­ко­неч­ность пра­вая круг­лая скоб­ка при a боль­ше 0 и при­ни­ма­ет по од­но­му разу все зна­че­ния из про­ме­жут­ка  левая круг­лая скоб­ка минус бес­ко­неч­ность ;0 пра­вая круг­лая скоб­ка при a мень­ше 0. Таким об­ра­зом, урав­не­ние  ло­га­рифм по ос­но­ва­нию 2 левая круг­лая скоб­ка x плюс a пра­вая круг­лая скоб­ка минус ло­га­рифм по ос­но­ва­нию 2 левая круг­лая скоб­ка x минус a пра­вая круг­лая скоб­ка =b имеет одно ре­ше­ние при ab боль­ше 0 и не имеет ре­ше­ний при a не равно 0 и ab мень­ше или равно 0. При a=0 и x боль­ше 0 урав­не­ние при­ни­ма­ет вид 0=b и либо имеет бес­ко­неч­но много ре­ше­ний, либо не имеет ре­ше­ний.

Урав­не­ние  ло­га­рифм по ос­но­ва­нию 2 левая круг­лая скоб­ка x плюс a пра­вая круг­лая скоб­ка минус ло­га­рифм по ос­но­ва­нию 2 левая круг­лая скоб­ка x минус a пра­вая круг­лая скоб­ка =a минус 1 и  ло­га­рифм по ос­но­ва­нию 2 левая круг­лая скоб­ка x плюс a пра­вая круг­лая скоб­ка минус ло­га­рифм по ос­но­ва­нию 2 левая круг­лая скоб­ка x минус a пра­вая круг­лая скоб­ка =2a плюс 1 могут иметь общие ре­ше­ния при a минус 1=2a плюс 1, то есть при a= минус 2. При a= минус 2 оба урав­не­ния при­ни­ма­ют вид  ло­га­рифм по ос­но­ва­нию 2 левая круг­лая скоб­ка x минус 2 пра­вая круг­лая скоб­ка минус ло­га­рифм по ос­но­ва­нию 2 левая круг­лая скоб­ка x плюс 2 пра­вая круг­лая скоб­ка = минус 3 и имеют одно ре­ше­ние.

При дру­гих зна­че­ни­ях па­ра­мет­ра a ис­ход­ное урав­не­ние имеет два ре­ше­ния, если оба урав­не­ния  ло­га­рифм по ос­но­ва­нию 2 левая круг­лая скоб­ка x плюс a пра­вая круг­лая скоб­ка минус ло­га­рифм по ос­но­ва­нию 2 левая круг­лая скоб­ка x минус a пра­вая круг­лая скоб­ка =a минус 1 и  ло­га­рифм по ос­но­ва­нию 2 левая круг­лая скоб­ка x плюс a пра­вая круг­лая скоб­ка минус ло­га­рифм по ос­но­ва­нию 2 левая круг­лая скоб­ка x минус a пра­вая круг­лая скоб­ка =2a плюс 1 имеют по од­но­му ре­ше­нию. По­лу­ча­ем си­сте­му не­ра­венств:

 си­сте­ма вы­ра­же­ний левая круг­лая скоб­ка a минус 1 пра­вая круг­лая скоб­ка a боль­ше 0, левая круг­лая скоб­ка 2a плюс 1 пра­вая круг­лая скоб­ка a боль­ше 0 конец си­сте­мы рав­но­силь­но со­во­куп­ность вы­ра­же­ний a мень­ше минус дробь: чис­ли­тель: 1, зна­ме­на­тель: 2 конец дроби ,a боль­ше 1. конец со­во­куп­но­сти

Таким об­ра­зом, ис­ход­ное урав­не­ние имеет ровно два ре­ше­ния при a при­над­ле­жа­щем мно­же­ству  левая круг­лая скоб­ка минус бес­ко­неч­ность ; минус 2 пра­вая круг­лая скоб­ка \cup левая круг­лая скоб­ка минус 2; минус дробь: чис­ли­тель: 1, зна­ме­на­тель: 2 конец дроби пра­вая круг­лая скоб­ка \cup левая круг­лая скоб­ка 1; плюс бес­ко­неч­ность пра­вая круг­лая скоб­ка .

 

Ответ:  левая круг­лая скоб­ка минус бес­ко­неч­ность ; минус 2 пра­вая круг­лая скоб­ка \cup левая круг­лая скоб­ка минус 2; минус дробь: чис­ли­тель: 1, зна­ме­на­тель: 2 конец дроби пра­вая круг­лая скоб­ка \cup левая круг­лая скоб­ка 1; плюс бес­ко­неч­ность пра­вая круг­лая скоб­ка .





При­мер 1.

Оцените это решение в баллах:

При­мер 2.

Оцените это решение в баллах:



Задание № 505538

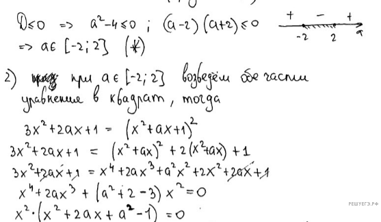
Най­ди­те все зна­че­ния а. при каж­дом из ко­то­рых урав­не­ние \left| дробь: чис­ли­тель: 6, зна­ме­на­тель: x конец дроби минус 2|=ax минус 1 на про­ме­жут­ке  левая круг­лая скоб­ка 0; плюс бес­ко­неч­ность пра­вая круг­лая скоб­ка имеет более двух кор­ней.


Решение

Рас­смот­рим функ­ции f левая круг­лая скоб­ка x пра­вая круг­лая скоб­ка =ax минус 1 и g левая круг­лая скоб­ка x пра­вая круг­лая скоб­ка =\left| дробь: чис­ли­тель: 6, зна­ме­на­тель: x конец дроби минус 2|. Ис­сле­ду­ем урав­не­ние f левая круг­лая скоб­ка x пра­вая круг­лая скоб­ка =g левая круг­лая скоб­ка x пра­вая круг­лая скоб­ка на про­ме­жут­ке  левая круг­лая скоб­ка 0; плюс бес­ко­неч­ность пра­вая круг­лая скоб­ка .

 

При a мень­ше или равно 0 все зна­че­ния функ­ции f левая круг­лая скоб­ка x пра­вая круг­лая скоб­ка на про­ме­жут­ке  левая круг­лая скоб­ка 0; плюс бес­ко­неч­ность пра­вая круг­лая скоб­ка от­ри­ца­тель­ны, а все зна­че­ния функ­ции g левая круг­лая скоб­ка x пра­вая круг­лая скоб­ка   — не­от­ри­ца­тель­ны, по­это­му при a мень­ше или равно 0 урав­не­ние f левая круг­лая скоб­ка x пра­вая круг­лая скоб­ка =g левая круг­лая скоб­ка x пра­вая круг­лая скоб­ка не имеет ре­ше­ний на про­ме­жут­ке  левая круг­лая скоб­ка 0; плюс бес­ко­неч­ность пра­вая круг­лая скоб­ка .

 

При a боль­ше 0 функ­ция f левая круг­лая скоб­ка x пра­вая круг­лая скоб­ка воз­рас­та­ет. Функ­ция g левая круг­лая скоб­ка x пра­вая круг­лая скоб­ка убы­ва­ет на про­ме­жут­ке  левая круг­лая скоб­ка 0; 3 пра­вая квад­рат­ная скоб­ка , по­это­му урав­не­ние f левая круг­лая скоб­ка x пра­вая круг­лая скоб­ка =g левая круг­лая скоб­ка x пра­вая круг­лая скоб­ка имеет не более од­но­го ре­ше­ния на про­ме­жут­ке  левая круг­лая скоб­ка 0;3 пра­вая квад­рат­ная скоб­ка , при­чем ре­ше­ние будет су­ще­ство­вать тогда и толь­ко тогда, когда, f левая круг­лая скоб­ка 3 пра­вая круг­лая скоб­ка боль­ше или равно g левая круг­лая скоб­ка 3 пра­вая круг­лая скоб­ка , от­ку­да по­лу­ча­ем a умно­жить на 3 минус 1 боль­ше или равно 0, то есть a боль­ше или равно дробь: чис­ли­тель: 1, зна­ме­на­тель: 3 конец дроби .

 

На про­ме­жут­ке  левая круг­лая скоб­ка 3; плюс бес­ко­неч­ность пра­вая круг­лая скоб­ка урав­не­ние f левая круг­лая скоб­ка x пра­вая круг­лая скоб­ка =g левая круг­лая скоб­ка x пра­вая круг­лая скоб­ка при­ни­ма­ет вид ax минус 1=2 минус дробь: чис­ли­тель: 6, зна­ме­на­тель: x конец дроби . Это урав­не­ние сво­дит­ся к урав­не­нию ax в квад­ра­те минус 3x плюс 6=0. Будем счи­тать, что a боль­ше 0, по­сколь­ку слу­чай a мень­ше или равно 0 был рас­смот­рен ранее. Дис­кри­ми­нант квад­рат­но­го урав­не­ния D=9 минус 24a, по­это­му при a боль­ше дробь: чис­ли­тель: 3, зна­ме­на­тель: 8 конец дроби это урав­не­ние не имеет кор­ней, при a= дробь: чис­ли­тель: 3, зна­ме­на­тель: 8 конец дроби урав­не­ние имеет един­ствен­ный ко­рень, рав­ный 4, при 0 мень­ше a мень­ше дробь: чис­ли­тель: 3, зна­ме­на­тель: 8 конец дроби урав­не­ние имеет два корня.

 

Если урав­не­ние имеет два корня x_1 и x_2, то есть 0 мень­ше a мень­ше дробь: чис­ли­тель: 3, зна­ме­на­тель: 8 конец дроби , то боль­ший ко­рень x_2= дробь: чис­ли­тель: 3 плюс ко­рень из: на­ча­ло ар­гу­мен­та: D конец ар­гу­мен­та , зна­ме­на­тель: 2a конец дроби боль­ше дробь: чис­ли­тель: 3, зна­ме­на­тель: 2a конец дроби боль­ше 4 боль­ше 3, по­это­му он при­над­ле­жит про­ме­жут­ку  левая круг­лая скоб­ка 3; плюс бес­ко­неч­ность пра­вая круг­лая скоб­ка . Мень­ший ко­рень x_1 при­над­ле­жит про­ме­жут­ку  левая круг­лая скоб­ка 3; плюс бес­ко­неч­ность пра­вая круг­лая скоб­ка тогда и толь­ко тогда, когда

 a левая круг­лая скоб­ка x_1 минус 3 пра­вая круг­лая скоб­ка левая круг­лая скоб­ка x_2 минус 3 пра­вая круг­лая скоб­ка =9a минус 3 умно­жить на 3 плюс 6=9a минус 3 боль­ше 0, то есть a боль­ше дробь: чис­ли­тель: 1, зна­ме­на­тель: 3 конец дроби .

Таким об­ра­зом, урав­не­ние \left| дробь: чис­ли­тель: 6, зна­ме­на­тель: x конец дроби минус 2|=ax минус 1 имеет сле­ду­ю­щее ко­ли­че­ство кор­ней на про­ме­жут­ке  левая круг­лая скоб­ка 0; плюс бес­ко­неч­ность пра­вая круг­лая скоб­ка :

 

  — нет кор­ней при a мень­ше или равно 0,

  — один ко­рень при 0 мень­ше a мень­ше дробь: чис­ли­тель: 1, зна­ме­на­тель: 3 конец дроби и a боль­ше дробь: чис­ли­тель: 3, зна­ме­на­тель: 8 конец дроби ,

  — два корня при a= дробь: чис­ли­тель: 1, зна­ме­на­тель: 3 конец дроби и a= дробь: чис­ли­тель: 3, зна­ме­на­тель: 8 конец дроби ,

  — три корня при  дробь: чис­ли­тель: 1, зна­ме­на­тель: 3 конец дроби мень­ше a мень­ше дробь: чис­ли­тель: 3, зна­ме­на­тель: 8 конец дроби .

 

Ответ:  дробь: чис­ли­тель: 1, зна­ме­на­тель: 3 конец дроби мень­ше a мень­ше дробь: чис­ли­тель: 3, зна­ме­на­тель: 8 конец дроби .





При­мер 1.

Оцените это решение в баллах:

При­мер 1.

Оцените это решение в баллах:



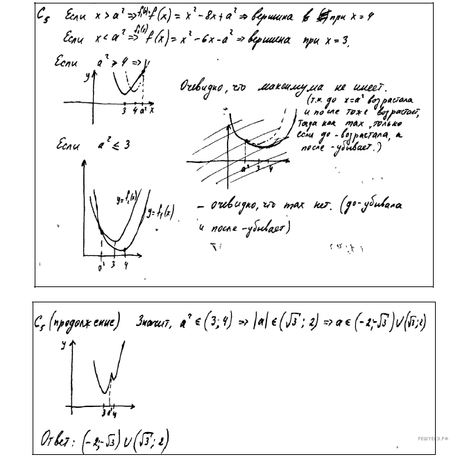
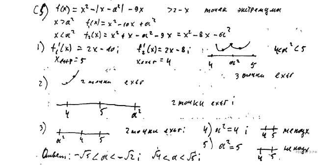
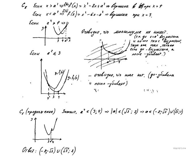
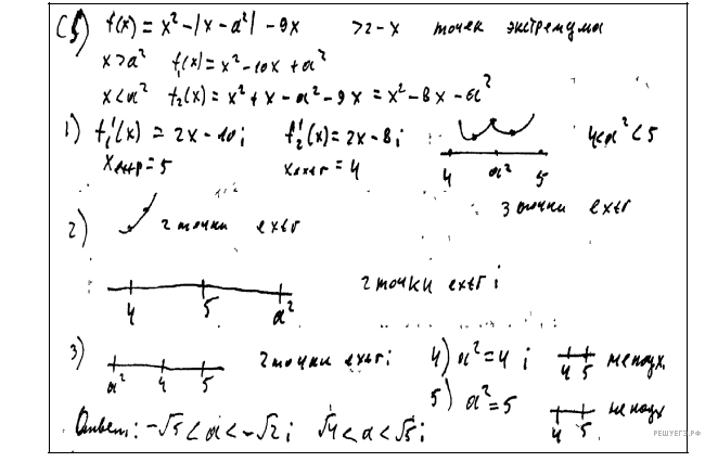
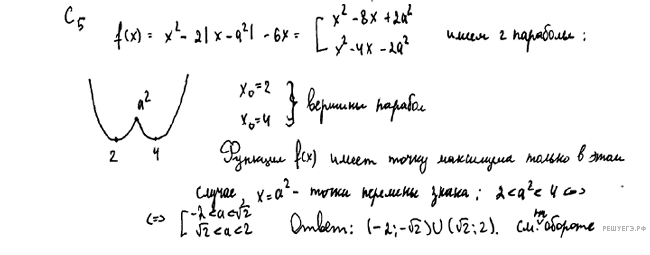
Задание № 507185

Най­ди­те все зна­че­ния a, при каж­дом из ко­то­рых функ­ция

f левая круг­лая скоб­ка x пра­вая круг­лая скоб­ка =x в квад­ра­те минус |x минус a в квад­ра­те | минус 9x

имеет более двух точек экс­тре­му­ма.


Решение

Рас­кро­ем мо­дуль:

f левая круг­лая скоб­ка x пра­вая круг­лая скоб­ка = си­сте­ма вы­ра­же­ний  новая стро­ка x в квад­ра­те минус 10x плюс a в квад­ра­те ,приx боль­ше или равно a в квад­ра­те , новая стро­ка x в квад­ра­те минус 8x минус a в квад­ра­те ,приx мень­ше a в квад­ра­те . конец си­сте­мы

Гра­фик функ­ции при x боль­ше или равно a в квад­ра­те пред­став­ля­ет собой па­ра­бо­лу с вет­вя­ми верх и вер­ши­ной с абс­цис­сой x=5. При x мень­ше a в квад­ра­те гра­фик пред­став­ля­ет собой па­ра­бо­лу с вет­вя­ми верх и вер­ши­ной с абс­цис­сой x=4. Рас­смот­рим все воз­мож­ные кон­фи­гу­ра­ции при раз­лич­ных зна­че­ни­ях a:

Из ри­сун­ка видно, что гра­фик имеет более двух точек экс­тре­му­ма при 4 мень­ше a в квад­ра­те мень­ше 5 рав­но­силь­но со­во­куп­ность вы­ра­же­ний  новая стро­ка минус ко­рень из: на­ча­ло ар­гу­мен­та: 5 конец ар­гу­мен­та мень­ше a мень­ше минус 2, новая стро­ка 2 мень­ше a мень­ше ко­рень из: на­ча­ло ар­гу­мен­та: 5 конец ар­гу­мен­та . конец со­во­куп­но­сти

 

Ответ:  левая круг­лая скоб­ка минус ко­рень из: на­ча­ло ар­гу­мен­та: 5 конец ар­гу­мен­та ; минус 2 пра­вая круг­лая скоб­ка \cup левая круг­лая скоб­ка 2; ко­рень из: на­ча­ло ар­гу­мен­та: 5 конец ар­гу­мен­та пра­вая круг­лая скоб­ка .





При­мер 1.

Оцените это решение в баллах:

При­мер 1.

Оцените это решение в баллах:



Задание № 507186

Най­ди­те все зна­че­ния a, при каж­дом из ко­то­рых функ­ция f левая круг­лая скоб­ка x пра­вая круг­лая скоб­ка =x в квад­ра­те минус 4|x минус a в квад­ра­те | минус 6 x имеет более двух точек экс­тре­му­ма.


Решение

Рас­кро­ем мо­дуль:

f левая круг­лая скоб­ка x пра­вая круг­лая скоб­ка = си­сте­ма вы­ра­же­ний  новая стро­ка x в квад­ра­те минус 10x плюс 4a в квад­ра­те ,приx боль­ше или равно a в квад­ра­те , новая стро­ка x в квад­ра­те минус 2x минус 4a в квад­ра­те ,приx мень­ше a в квад­ра­те . конец си­сте­мы

Гра­фик функ­ции при x боль­ше или равно a в квад­ра­те пред­став­ля­ет собой па­ра­бо­лу с вет­вя­ми вверх и вер­ши­ной с абс­цис­сой x=5. При x мень­ше a в квад­ра­те гра­фик пред­став­ля­ет собой па­ра­бо­лу с вет­вя­ми вверх и вер­ши­ной с абс­цис­сой x=1. Рас­смот­рим все воз­мож­ные кон­фи­гу­ра­ции при раз­лич­ных зна­че­ни­ях a:

Из ри­сун­ка видно, что гра­фик имеет более двух точек экс­тре­му­ма при 1 мень­ше a в квад­ра­те мень­ше 5 рав­но­силь­но со­во­куп­ность вы­ра­же­ний  новая стро­ка минус ко­рень из: на­ча­ло ар­гу­мен­та: 5 конец ар­гу­мен­та мень­ше a мень­ше минус 1, новая стро­ка 1 мень­ше a мень­ше ко­рень из: на­ча­ло ар­гу­мен­та: 5 конец ар­гу­мен­та . конец со­во­куп­но­сти

 

Ответ:  левая круг­лая скоб­ка минус ко­рень из: на­ча­ло ар­гу­мен­та: 5 конец ар­гу­мен­та ; минус 1 пра­вая круг­лая скоб­ка \cup левая круг­лая скоб­ка 1; ко­рень из: на­ча­ло ар­гу­мен­та: 5 конец ар­гу­мен­та пра­вая круг­лая скоб­ка .





При­мер 1.

Оцените это решение в баллах:



Задание № 507187

Най­ди­те все зна­че­ния a, при каж­дом из ко­то­рых функ­ция f левая круг­лая скоб­ка x пра­вая круг­лая скоб­ка =x в квад­ра­те минус 2|x минус a в квад­ра­те | минус 6x имеет более двух точек экс­тре­му­ма.


Решение

Рас­кро­ем мо­дуль:

f левая круг­лая скоб­ка x пра­вая круг­лая скоб­ка = си­сте­ма вы­ра­же­ний  новая стро­ка x в квад­ра­те минус 8x плюс 2a в квад­ра­те ,приx боль­ше или равно a в квад­ра­те , новая стро­ка x в квад­ра­те минус 4x минус 2a в квад­ра­те ,приx мень­ше a в квад­ра­те . конец си­сте­мы

Гра­фик функ­ции при x боль­ше или равно a в квад­ра­те пред­став­ля­ет собой па­ра­бо­лу с вет­вя­ми верх и вер­ши­ной с абс­цис­сой x=4. При x мень­ше a в квад­ра­те гра­фик пред­став­ля­ет собой па­ра­бо­лу с вет­вя­ми верх и вер­ши­ной с абс­цис­сой x=2. Рас­смот­рим все воз­мож­ные кон­фи­гу­ра­ции при раз­лич­ных зна­че­ни­ях a:

Из ри­сун­ка видно, что гра­фик имеет более двух точек экс­тре­му­ма при 2 мень­ше a в квад­ра­те мень­ше 4 рав­но­силь­но со­во­куп­ность вы­ра­же­ний  новая стро­ка минус 2 мень­ше a мень­ше минус ко­рень из: на­ча­ло ар­гу­мен­та: 2 конец ар­гу­мен­та , новая стро­ка ко­рень из: на­ча­ло ар­гу­мен­та: 2 конец ар­гу­мен­та мень­ше a мень­ше 2. конец со­во­куп­но­сти

 

Ответ:  левая круг­лая скоб­ка минус 2; минус ко­рень из: на­ча­ло ар­гу­мен­та: 2 конец ар­гу­мен­та пра­вая круг­лая скоб­ка \cup левая круг­лая скоб­ка ко­рень из: на­ча­ло ар­гу­мен­та: 2 конец ар­гу­мен­та ;2 пра­вая круг­лая скоб­ка .





Оцените это решение в баллах:



Задание № 507188

Най­ди­те все зна­че­ния a, при каж­дом из ко­то­рых функ­ция f левая круг­лая скоб­ка x пра­вая круг­лая скоб­ка =x в квад­ра­те минус |x минус a в квад­ра­те | минус 7x имеет более двух точек экс­тре­му­ма.


Решение

Рас­кро­ем мо­дуль:

f левая круг­лая скоб­ка x пра­вая круг­лая скоб­ка = си­сте­ма вы­ра­же­ний  новая стро­ка x в квад­ра­те минус 8x плюс a в квад­ра­те ,приx боль­ше или равно a в квад­ра­те , новая стро­ка x в квад­ра­те минус 6x минус a в квад­ра­те ,приx мень­ше a в квад­ра­те . конец си­сте­мы

Гра­фик функ­ции при x боль­ше или равно a в квад­ра­те пред­став­ля­ет собой па­ра­бо­лу с вет­вя­ми верх и вер­ши­ной с абс­цис­сой x=4. При x мень­ше a в квад­ра­те гра­фик пред­став­ля­ет собой па­ра­бо­лу с вет­вя­ми верх и вер­ши­ной с абс­цис­сой x=3. Рас­смот­рим все воз­мож­ные кон­фи­гу­ра­ции при раз­лич­ных зна­че­ни­ях a:

Из ри­сун­ка видно, что гра­фик имеет более двух точек экс­тре­му­ма при 3 мень­ше a в квад­ра­те мень­ше 4 рав­но­силь­но со­во­куп­ность вы­ра­же­ний  новая стро­ка минус 2 мень­ше a мень­ше минус ко­рень из: на­ча­ло ар­гу­мен­та: 3 конец ар­гу­мен­та , новая стро­ка ко­рень из: на­ча­ло ар­гу­мен­та: 3 конец ар­гу­мен­та мень­ше a мень­ше 2. конец со­во­куп­но­сти

 

Ответ:  левая круг­лая скоб­ка минус 2; минус ко­рень из: на­ча­ло ар­гу­мен­та: 3 конец ар­гу­мен­та пра­вая круг­лая скоб­ка \cup левая круг­лая скоб­ка ко­рень из: на­ча­ло ар­гу­мен­та: 3 конец ар­гу­мен­та ;2 пра­вая круг­лая скоб­ка .





При­мер 1.

Оцените это решение в баллах:

При­мер 2.

Оцените это решение в баллах:

При­мер 1.

Оцените это решение в баллах:



Задание № 507189

Най­ди­те все зна­че­ния a, при каж­дом из ко­то­рых функ­ция f левая круг­лая скоб­ка x пра­вая круг­лая скоб­ка =x в квад­ра­те минус 4|x минус a в квад­ра­те | минус 8x имеет более двух точек экс­тре­му­ма.


Решение

Рас­кро­ем мо­дуль:

f левая круг­лая скоб­ка x пра­вая круг­лая скоб­ка = си­сте­ма вы­ра­же­ний  новая стро­ка x в квад­ра­те минус 12x плюс 4a в квад­ра­те ,приx боль­ше или равно a в квад­ра­те , новая стро­ка x в квад­ра­те минус 4x минус 4a в квад­ра­те ,приx мень­ше a в квад­ра­те . конец си­сте­мы

Гра­фик функ­ции при x боль­ше или равно a в квад­ра­те пред­став­ля­ет собой па­ра­бо­лу с вет­вя­ми, на­прав­лен­ны­ми вверх, и вер­ши­ной с абс­цис­сой x=6. При x мень­ше a в квад­ра­те гра­фик пред­став­ля­ет собой па­ра­бо­лу с вет­вя­ми, на­прав­лен­ны­ми вверх, и вер­ши­ной с абс­цис­сой x=2. Рас­смот­рим все воз­мож­ные кон­фи­гу­ра­ции при раз­лич­ных зна­че­ни­ях a:

Из ри­сун­ка видно, что гра­фик имеет более двух точек экс­тре­му­ма при 2 мень­ше a в квад­ра­те мень­ше 6 рав­но­силь­но со­во­куп­ность вы­ра­же­ний  новая стро­ка минус ко­рень из: на­ча­ло ар­гу­мен­та: 6 конец ар­гу­мен­та мень­ше a мень­ше минус ко­рень из: на­ча­ло ар­гу­мен­та: 2 конец ар­гу­мен­та , новая стро­ка ко­рень из: на­ча­ло ар­гу­мен­та: 2 конец ар­гу­мен­та мень­ше a мень­ше ко­рень из: на­ча­ло ар­гу­мен­та: 6 конец ар­гу­мен­та . конец со­во­куп­но­сти

 

Ответ:  левая круг­лая скоб­ка минус ко­рень из: на­ча­ло ар­гу­мен­та: 6 конец ар­гу­мен­та ; минус ко­рень из: на­ча­ло ар­гу­мен­та: 2 конец ар­гу­мен­та пра­вая круг­лая скоб­ка \cup левая круг­лая скоб­ка ко­рень из: на­ча­ло ар­гу­мен­та: 2 конец ар­гу­мен­та ; ко­рень из: на­ча­ло ар­гу­мен­та: 6 конец ар­гу­мен­та пра­вая круг­лая скоб­ка .





При­мер 1.

Оцените это решение в баллах:



Задание № 507190

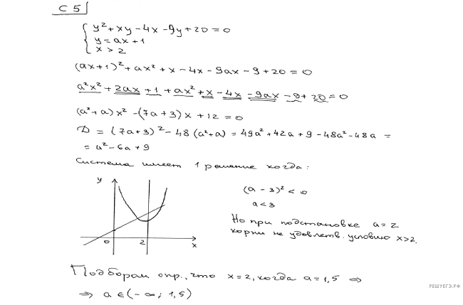
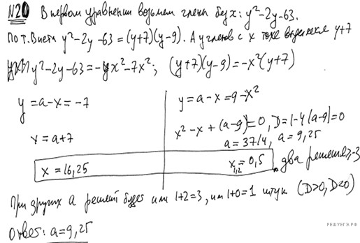
Най­ди­те все по­ло­жи­тель­ные зна­че­ния а, при каж­дом из ко­то­рых си­сте­ма

 си­сте­ма вы­ра­же­ний  новая стро­ка левая круг­лая скоб­ка |x| минус 6 пра­вая круг­лая скоб­ка в квад­ра­те плюс левая круг­лая скоб­ка y минус 12 пра­вая круг­лая скоб­ка в квад­ра­те =4,  новая стро­ка левая круг­лая скоб­ка x плюс 1 пра­вая круг­лая скоб­ка в квад­ра­те плюс y в квад­ра­те =a в квад­ра­те конец си­сте­мы .

имеет един­ствен­ное ре­ше­ние.

Решение

Если x боль­ше или равно 0, то урав­не­ние  левая круг­лая скоб­ка |x| минус 6 пра­вая круг­лая скоб­ка в квад­ра­те плюс левая круг­лая скоб­ка y минус 12 пра­вая круг­лая скоб­ка в квад­ра­те =4 задаёт окруж­ность \omega_1, с цен­тром в точке C_1 левая круг­лая скоб­ка 6;12 пра­вая круг­лая скоб­ка ра­ди­у­са 2, а если x мень­ше 0, то оно задаёт окруж­ность \omega_2 с цен­тром в точке C_2 левая круг­лая скоб­ка минус 6;12 пра­вая круг­лая скоб­ка того же ра­ди­у­са (см. рис.).

При по­ло­жи­тель­ных зна­че­ни­ях па­ра­мет­ра а урав­не­ние  левая круг­лая скоб­ка x плюс 1 пра­вая круг­лая скоб­ка в квад­ра­те плюс y в квад­ра­те =a в квад­ра­те за­да­ет окруж­ность \omega с цен­тром в точке C левая круг­лая скоб­ка минус 1;0 пра­вая круг­лая скоб­ка ра­ди­у­са а. По­это­му за­да­ча со­сто­ит в том, чтобы найти все зна­че­ния па­ра­мет­ра а, при каж­дом из ко­то­рых окруж­ность \omega имеет един­ствен­ную общую точку с объ­еди­не­ни­ем окруж­но­стей \omega_1 и \omega_2.

Из точки С про­ведём луч CC_1 и обо­зна­чим A_1 и B_1 точки его пе­ре­се­че­ния с окруж­но­стью \omega_1, где A_1 лежит между C и C_1. Так как CC_1= ко­рень из: на­ча­ло ар­гу­мен­та: левая круг­лая скоб­ка 1 плюс 6 пра­вая круг­лая скоб­ка в квад­ра­те плюс 12 в квад­ра­те конец ар­гу­мен­та = ко­рень из: на­ча­ло ар­гу­мен­та: 193 конец ар­гу­мен­та , то CA_1= ко­рень из: на­ча­ло ар­гу­мен­та: 193 конец ар­гу­мен­та минус 2,CB_1= ко­рень из: на­ча­ло ар­гу­мен­та: 193 конец ар­гу­мен­та плюс 2.

При a мень­ше CA_1 или a боль­ше CB_1 окруж­но­сти \omega_1 и \omega не пе­ре­се­ка­ют­ся. При CA_1 мень­ше a мень­ше CB_1 окруж­но­сти \omega_1 и \omega имеют две общие точки. При a=CA_1 или a=CB_1 окруж­но­сти \omega_1 и \omega ка­са­ют­ся.

Из точки С про­ведём луч CC_2 и обо­зна­чим A_2 и B_2 точки его пе­ре­се­че­ния с окруж­но­стью \omega_2, где A_2 лежит между C и C_2. Так как CC_2= ко­рень из: на­ча­ло ар­гу­мен­та: левая круг­лая скоб­ка 6 минус 1 пра­вая круг­лая скоб­ка в квад­ра­те плюс 12 в квад­ра­те конец ар­гу­мен­та =13, то CA_2=13 минус 2=11,CB_2=13 плюс 2=15.

При a мень­ше CA_2 или a боль­ше CB_2 окруж­но­сти \omega и \omega_2 не пе­ре­се­ка­ют­ся. При CA_2 мень­ше a мень­ше CB_2 окруж­но­сти \omega и \omega_2 имеют две общие точки. При a=CA_2 или a=CB_2 окруж­но­сти \omega и \omega_2 ка­са­ют­ся.

Ис­ход­ная си­сте­ма имеет един­ствен­ное ре­ше­ние тогда и толь­ко тогда, когда окруж­ность \omega ка­са­ет­ся ровно одной из двух окруж­но­стей \omega_1 и \omega_2, и не пе­ре­се­ка­ет­ся с дру­гой. Так как CA_2 мень­ше CA_1 мень­ше CB_2 мень­ше CB_1, то усло­вию за­да­чи удо­вле­тво­ря­ют толь­ко числа a=11 и a= ко­рень из: на­ча­ло ар­гу­мен­та: 193 конец ар­гу­мен­та плюс 2.

 

Ответ: 11,  ко­рень из: на­ча­ло ар­гу­мен­та: 193 конец ар­гу­мен­та плюс 2.





При­мер 1.

Оцените это решение в баллах:

При­мер 2.

Оцените это решение в баллах:



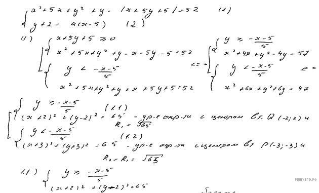
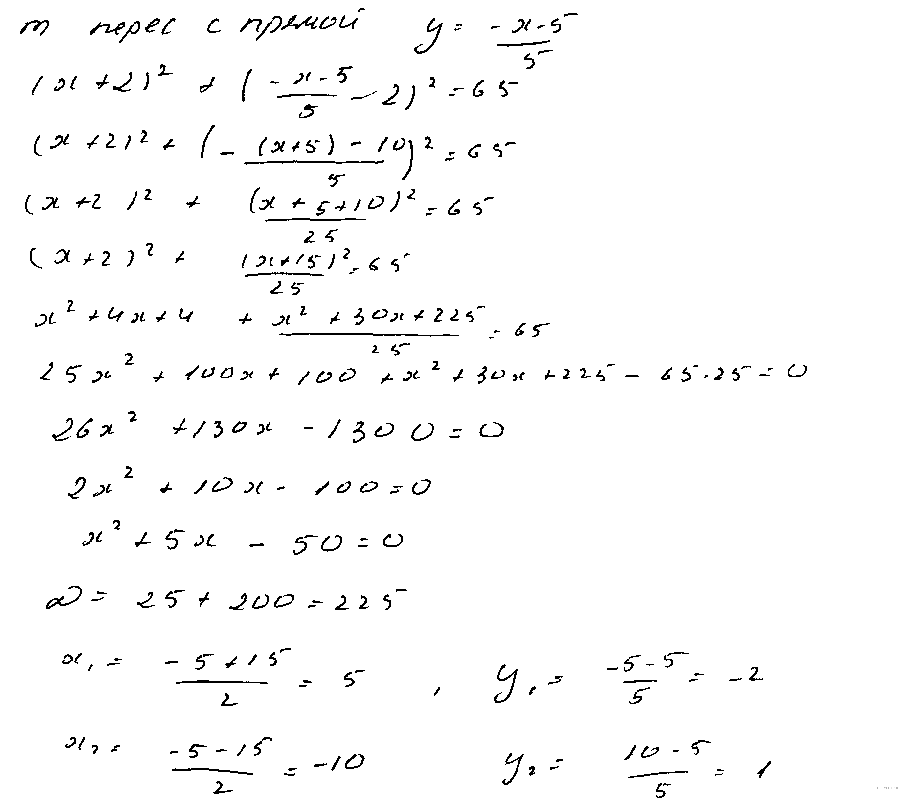
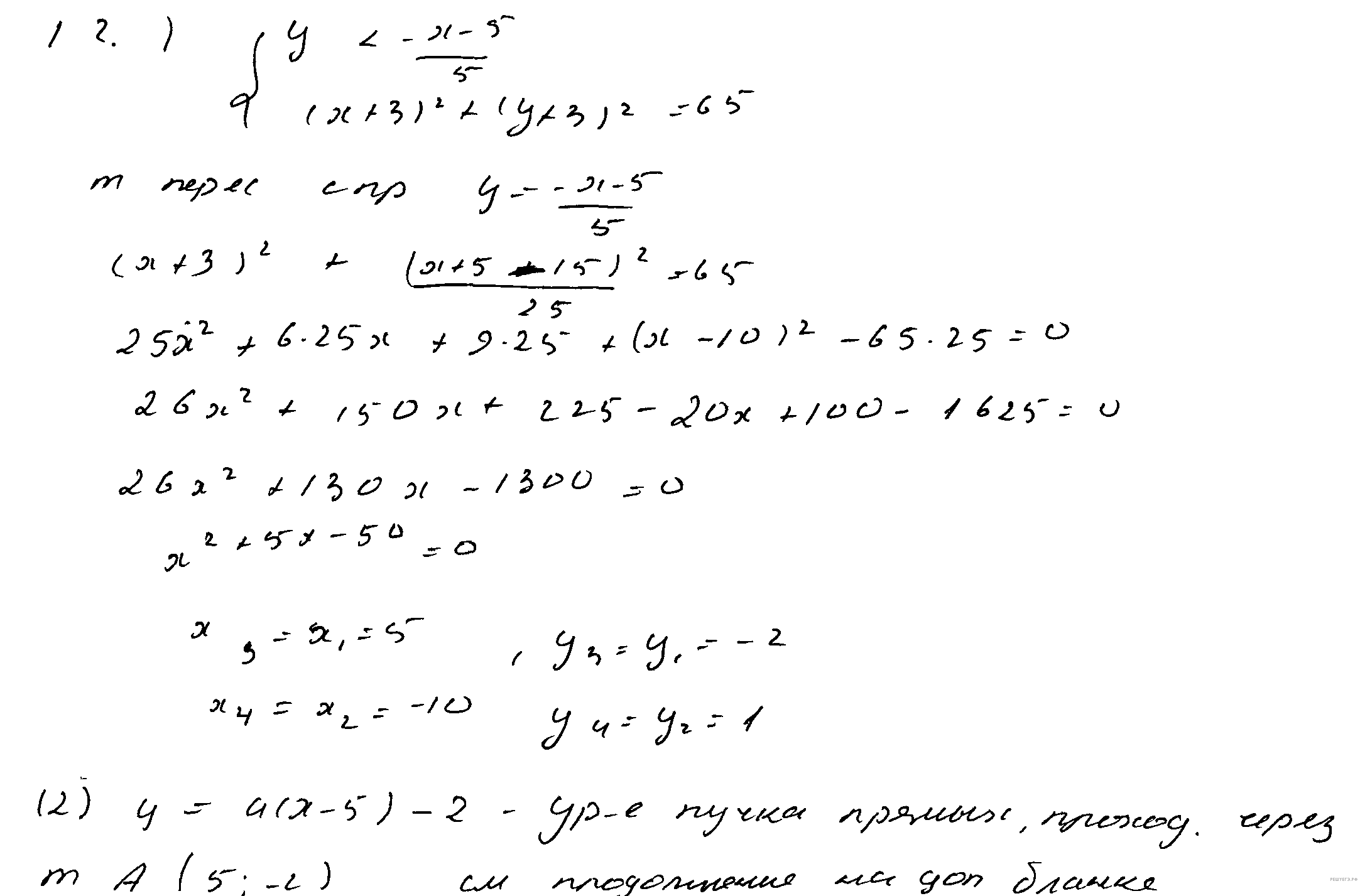
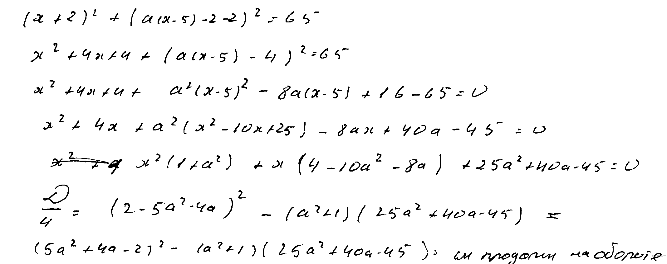
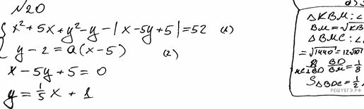
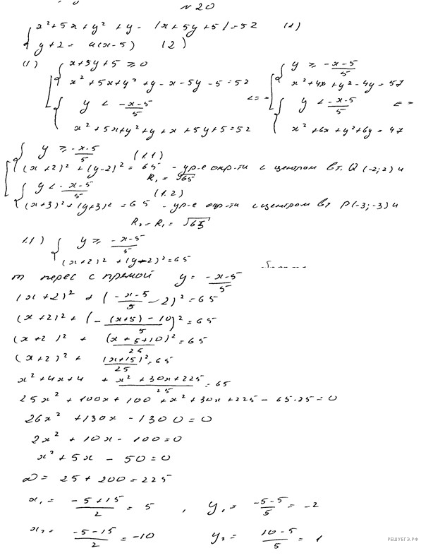
Задание № 513110

Най­ди­те все зна­че­ния a, при каж­дом из ко­то­рых си­сте­ма урав­не­ний

 си­сте­ма вы­ра­же­ний x в квад­ра­те плюс 5x плюс y в квад­ра­те минус y минус |x минус 5y плюс 5|=52,y минус 2=a левая круг­лая скоб­ка x минус 5 пра­вая круг­лая скоб­ка . конец си­сте­мы .

имеет ровно два ре­ше­ния.


Решение

Изоб­ра­зим на ко­ор­ди­нат­ной плос­ко­сти мно­же­ство точек, ко­ор­ди­на­ты ко­то­рых удо­вле­тво­ря­ют пер­во­му урав­не­нию си­сте­мы.

Рас­смот­рим два слу­чая:

1)  Если x минус 5y плюс 5\geqslant0, то по­лу­ча­ем урав­не­ние

x в квад­ра­те плюс 5x плюс y в квад­ра­те минус y минус x плюс 5y минус 5=52 рав­но­силь­но x в квад­ра­те плюс 4x плюс y в квад­ра­те плюс 4y минус 57=0 рав­но­силь­но

 рав­но­силь­но левая круг­лая скоб­ка x плюс 2 пра­вая круг­лая скоб­ка в квад­ра­те плюс левая круг­лая скоб­ка y плюс 2 пра­вая круг­лая скоб­ка в квад­ра­те =65.

По­лу­чен­ное урав­не­ние задаёт окруж­ность с цен­тром в точке O_1 левая круг­лая скоб­ка минус 2; минус 2 пра­вая круг­лая скоб­ка и ра­ди­у­сом  ко­рень из: на­ча­ло ар­гу­мен­та: 65 конец ар­гу­мен­та .

2)  Если x минус 5y плюс 5\leqslant0, то по­лу­ча­ем урав­не­ние

x в квад­ра­те плюс 5x плюс y в квад­ра­те минус y плюс x минус 5y плюс 5=52 рав­но­силь­но x в квад­ра­те плюс 6x плюс y в квад­ра­те минус 6y минус 47=0 рав­но­силь­но

 рав­но­силь­но левая круг­лая скоб­ка x плюс 3 пра­вая круг­лая скоб­ка в квад­ра­те плюс левая круг­лая скоб­ка y минус 3 пра­вая круг­лая скоб­ка в квад­ра­те =65.

По­лу­чен­ное урав­не­ние задаёт окруж­ность с цен­тром в точке O_2 левая круг­лая скоб­ка минус 3;3 пра­вая круг­лая скоб­ка и ра­ди­у­сом  ко­рень из: на­ча­ло ар­гу­мен­та: 65 конец ар­гу­мен­та .

По­лу­чен­ные окруж­но­сти пе­ре­се­ка­ют­ся в двух точ­ках A левая круг­лая скоб­ка минус 10; минус 1 пра­вая круг­лая скоб­ка и B левая круг­лая скоб­ка 5;2 пра­вая круг­лая скоб­ка , ле­жа­щих на пря­мой x минус 5y плюс 5=0, по­это­му в пер­вом слу­чае по­лу­ча­ем дугу \omega_1 с кон­ца­ми в точ­ках A и B, во вто­ром  — дугу \omega_2 с кон­ца­ми в тех же точ­ках (см. рис.).

Рас­смот­рим вто­рое урав­не­ние си­сте­мы. Оно задаёт пря­мую m, ко­то­рая про­хо­дит через точку B и уг­ло­вой ко­эф­фи­ци­ент ко­то­рой равен a.

При a= дробь: чис­ли­тель: 1, зна­ме­на­тель: 5 конец дроби пря­мая m про­хо­дит через точки A и B, то есть ис­ход­ная си­сте­ма имеет два ре­ше­ния.

При a= минус дробь: чис­ли­тель: 7, зна­ме­на­тель: 4 конец дроби пря­мая m пер­пен­ди­ку­ляр­на пря­мой O1B, уг­ло­вой ко­эф­фи­ци­ент ко­то­рой равен  дробь: чис­ли­тель: 4, зна­ме­на­тель: 7 конец дроби , зна­чит, пря­мая m ка­са­ет­ся дуги \omega_1 в точке B и пе­ре­се­ка­ет дугу \omega_2 в двух точ­ках (одна из ко­то­рых  — точка B), то есть ис­ход­ная си­сте­ма имеет два ре­ше­ния.

При a  =  8 пря­мая m пер­пен­ди­ку­ляр­на пря­мой O2B, уг­ло­вой ко­эф­фи­ци­ент ко­то­рой равен  минус дробь: чис­ли­тель: 1, зна­ме­на­тель: 8 конец дроби , зна­чит, пря­мая m ка­са­ет­ся дуги \omega_2 в точке B и пе­ре­се­ка­ет дугу \omega_1 в двух точ­ках (одна из ко­то­рых  — точка B), то есть ис­ход­ная си­сте­ма имеет два ре­ше­ния.

При a мень­ше минус дробь: чис­ли­тель: 7, зна­ме­на­тель: 4 конец дроби или a боль­ше 8 пря­мая m пе­ре­се­ка­ет каж­дую из дуг \omega_1 и \omega_2 в точке B и ещё в одной точке, от­лич­ной от точки A, то есть ис­ход­ная си­сте­ма имеет три ре­ше­ния.

При  минус дробь: чис­ли­тель: 7, зна­ме­на­тель: 4 конец дроби мень­ше a мень­ше дробь: чис­ли­тель: 1, зна­ме­на­тель: 5 конец дроби пря­мая m пе­ре­се­ка­ет дугу \omega_2 в двух точ­ках (одна из ко­то­рых  — точка B) и не пе­ре­се­ка­ет дугу \omega_1 в точ­ках, от­лич­ных от точки B, то есть ис­ход­ная си­сте­ма имеет два ре­ше­ния.

При  дробь: чис­ли­тель: 1, зна­ме­на­тель: 5 конец дроби мень­ше a мень­ше 8 пря­мая m пе­ре­се­ка­ет дугу \omega_1 в двух точ­ках (одна из ко­то­рых  — точка B) и не пе­ре­се­ка­ет дугу \omega_2 в точ­ках, от­лич­ных от точки B, то есть ис­ход­ная си­сте­ма имеет два ре­ше­ния.

Зна­чит, ис­ход­ная си­сте­ма имеет ровно два ре­ше­ния при  минус дробь: чис­ли­тель: 7, зна­ме­на­тель: 4 конец дроби мень­ше или равно a\leqslant8.

 

Ответ:  минус дробь: чис­ли­тель: 7, зна­ме­на­тель: 4 конец дроби мень­ше или равно a\leqslant8.





При­мер 1.

Оцените это решение в баллах:

При­мер 3.

Оцените это решение в баллах:

При­мер 1.

Оцените это решение в баллах:

При­мер 2.

Оцените это решение в баллах:

При­мер 3.

Оцените это решение в баллах:



Задание № 513111

Най­ди­те все зна­че­ния a, при каж­дом из ко­то­рых си­сте­ма

 си­сте­ма вы­ра­же­ний yx в квад­ра­те плюс y в квад­ра­те =2y плюс 63 минус 7x в квад­ра­те ,x\geqslant минус 3,x плюс y=a конец си­сте­мы .

имеет ровно два раз­лич­ных ре­ше­ния.


Решение

Решим пер­вое урав­не­ние:

yx в квад­ра­те плюс y в квад­ра­те =2y плюс 63 минус 7x в квад­ра­те рав­но­силь­но yx в квад­ра­те плюс 7x в квад­ра­те плюс y в квад­ра­те минус 2y минус 63=0 рав­но­силь­но

 рав­но­силь­но левая круг­лая скоб­ка y плюс 7 пра­вая круг­лая скоб­ка левая круг­лая скоб­ка y плюс x в квад­ра­те минус 9 пра­вая круг­лая скоб­ка =0 рав­но­силь­но со­во­куп­ность вы­ра­же­ний y= минус 7,y=9 минус x в квад­ра­те . конец со­во­куп­но­сти .

Рас­смот­рим слу­чай (1): y  =  −7. При любом a по­лу­ча­ем одно ре­ше­ние x  =  a + 7, для ко­то­ро­го не­ра­вен­ство x ≥ −3 верно толь­ко при a ≥ −10.

Рас­смот­рим слу­чай (2):

y=9 минус x в квад­ра­те рав­но­силь­но 9 минус x в квад­ра­те =a минус x рав­но­силь­но x в квад­ра­те минус x плюс левая круг­лая скоб­ка a минус 9 пра­вая круг­лая скоб­ка =0.

D=1 минус 4 левая круг­лая скоб­ка a минус 9 пра­вая круг­лая скоб­ка =37 минус 4a, по­это­му при a боль­ше 9,25 кор­ней нет, при a=9,25 по­лу­ча­ем один ко­рень x=0,5, при a мень­ше 9,25 по­лу­ча­ем два раз­лич­ных корня. У па­ра­бо­лы y=x в квад­ра­те минус x плюс левая круг­лая скоб­ка a минус 9 пра­вая круг­лая скоб­ка   — ветви вверх, абс­цис­са вер­ши­ны равна x_0=0,5 боль­ше 0.

Зна­чит, оба корня не мень­ше −3 при 3 плюс a боль­ше или равно 0, то есть при  минус 3 мень­ше или равно a мень­ше 9,25, а при a мень­ше минус 3 один ко­рень мень­ше −3, а дру­гой  — боль­ше −3.

Со­бе­рем све­де­ния о числе ре­ше­ний в слу­ча­ях (1) и (2) в таб­ли­це

 

aa < −10−10 ≤ a < −3−3 ≤ a < 9,25a  =  9,25a > 9,25
Число ре­ше­ний (1)01111
Число ре­ше­ний (2)11210

 

Остаётся учесть те зна­че­ния a, при ко­то­рых ре­ше­ние из слу­чая (1) сов­па­да­ет с одним из ре­ше­ний слу­чая (2). Тогда  минус 7=9 минус x в квад­ра­те рав­но­силь­но x=\pm4, с учётом x \geqslant минус 3 из x плюс y=a по­лу­ча­ем, что x  =  4, a  =  −3.

 

Ответ:  минус 10 мень­ше или равно a\leqslant минус 3,a=9,25.

 

При­ме­ча­ние.

Для ре­ше­ния за­да­чи можно ис­поль­зо­вать графо-ана­ли­ти­че­ский метод.





При­мер 4.

Оцените это решение в баллах:



Задание № 559536


Решение





При­мер 1

Оцените это решение в баллах:

При­мер 2

Оцените это решение в баллах:

При­мер 3

Оцените это решение в баллах:

При­мер 4

Оцените это решение в баллах:



Задание № 559538


Решение





При­мер 1

Оцените это решение в баллах:

При­мер 2

Оцените это решение в баллах:



Задание № 559545


Решение





При­мер 1

Оцените это решение в баллах:

При­мер 2

Оцените это решение в баллах:



Наверх
Вернуться на основную страницу «Школы экспертов»