Школа экспертов
Вернуться на основную страницу «Школы экспертов»

Ниже представлены ученические решения экзаменационных заданий. Оцените каждое из них в соответствии с критериями проверки заданий ЕГЭ. После нажатия кнопки «Проверить» вы узнаете правильный балл за каждое из решений. В конце будут подведены итоги.

Задание 501989
Задание 505421
Задание 505539
Задание 505540
Задание 505541
Задание 513112
Задание 515923
Задание 519408
Задание 559547
Задание 559549


Задание № 501989

За­ду­ма­но не­сколь­ко (не обя­за­тель­но раз­лич­ных) на­ту­раль­ных чисел. Эти числа и их все воз­мож­ные суммы (по 2, по 3 и т. д.) вы­пи­сы­ва­ют на доску в по­ряд­ке не­убы­ва­ния. Если какое-то число n, вы­пи­сан­ное на доску, по­вто­ря­ет­ся не­сколь­ко раз, то на доске остав­ля­ет­ся одно такое число n, а осталь­ные числа, рав­ные n, сти­ра­ют­ся. На­при­мер, если за­ду­ма­ны числа 1, 3, 3, 4, то на доске будет за­пи­сан набор 1, 3, 4, 5, 6, 7, 8, 10, 11.

а)  При­ве­ди­те при­мер за­ду­ман­ных чисел, для ко­то­рых на доске будет за­пи­сан набор 2, 4, 6, 8.

б)  Су­ще­ству­ет ли при­мер таких за­ду­ман­ных чисел, для ко­то­рых на доске будет за­пи­сан набор 1, 3, 4, 5, 6, 9, 10, 11, 12, 13, 14, 17, 18, 19, 20, 22?

в)  При­ве­ди­те все при­ме­ры за­ду­ман­ных чисел, для ко­то­рых на доске будет за­пи­сан набор 9, 10, 11, 19, 20, 21, 22, 30, 31, 32, 33, 41, 42, 43, 52.


Решение

а)  За­ду­ман­ные числа 2, 2, 2, 2 дают тре­бу­е­мый набор, за­пи­сан­ный на доске. Дру­гой ва­ри­ант: 2, 2, 4.

 

б)  По­сколь­ку за­ду­ман­ные числа на­ту­раль­ные, то наи­мень­шее число в на­бо­ре  — это наи­мень­шее из за­ду­ман­ных чисел, а наи­боль­шее число в на­бо­ре  — это сумма всех за­ду­ман­ных чисел. Среди чисел за­пи­сан­но­го на­бо­ра долж­на быть сумма всех чисел, кроме наи­мень­ше­го, то есть 22 – 1 = 21. Но этого числа нет в на­бо­ре, по­это­му не су­ще­ству­ет при­ме­ра таких за­ду­ман­ных чисел, для ко­то­ро­го на доске будет вы­пи­сан набор из усло­вия.

 

в)  Число 9  — наи­мень­шее число в на­бо­ре  — яв­ля­ет­ся наи­мень­шим из за­ду­ман­ных чисел, а наи­боль­шее число в на­бо­ре  — это сумма всех за­ду­ман­ных чисел. По­это­му ко­ли­че­ство за­ду­ман­ных чисел не пре­вос­хо­дит

целой части част­но­го 52 и 9, то есть 5. Кроме того, числа 10 и 11 мень­ше, чем сумма двух чисел 9, по­это­му они также яв­ля­ют­ся за­ду­ман­ны­ми. Зна­чит, сумма остав­ших­ся за­ду­ман­ных чисел равна 52 − 9 − 10 − 11 = 22. Таким об­ра­зом, так как наи­мень­шее за­ду­ман­ное число равно 9, остав­ши­е­ся за­ду­ман­ные числа  — это 11 и 11 или 22. Для за­ду­ман­ных чисел 9, 10, 11, 11, 11 и 9, 10, 11, 22 на доске будет за­пи­сан набор, дан­ный в усло­вии.

 

Ответ: а) 2, 2, 2, 2 (или 2, 2, 4): б) нет: в) 9, 10, 11, 11, 11 или 9, 10, 11, 22.



Кри­те­рии оце­ни­ва­ния вы­пол­не­ния за­да­нияБаллы
Верно вы­пол­не­ны: а), б), впри­мер), воцен­ка) 4
Верно вы­пол­не­ны три пунк­та из че­ты­рех: а), б), впри­мер), воцен­ка) 3
Верно вы­пол­не­ны два пунк­та из че­ты­рех: а), б), впри­мер), воцен­ка) 2
Верно вы­пол­не­ны один пункт из че­ты­рех: а), б), впри­мер), воцен­ка) 1
Ре­ше­ние не со­от­вет­ству­ет ни од­но­му из кри­те­ри­ев, пе­ре­чис­лен­ных выше0
Мак­си­маль­ный балл4


При­мер 1.

Оцените это решение в баллах:

При­мер 2.

Оцените это решение в баллах:

При­мер 3.

Оцените это решение в баллах:



Задание № 505421

Семь экс­пер­тов оце­ни­ва­ют ки­но­фильм. Каж­дый из них вы­став­ля­ет оцен­ку  — целое число бал­лов от 0 до 10 вклю­чи­тель­но. Из­вест­но, что все экс­пер­ты вы­ста­ви­ли раз­лич­ные оцен­ки. По ста­рой си­сте­ме оце­ни­ва­ния рей­тинг ки­но­филь­ма  — это сред­нее ариф­ме­ти­че­ское всех оце­нок экс­пер­тов. По новой си­сте­ме оце­ни­ва­ния рей­тинг ки­но­филь­ма оце­ни­ва­ют сле­ду­ю­щим об­ра­зом: от­бра­сы­ва­ют­ся наи­мень­шая и наи­боль­шая оцен­ки и под­счи­ты­ва­ет­ся сред­нее ариф­ме­ти­че­ское остав­ших­ся оце­нок.

а)  Может ли раз­ность рей­тин­гов, вы­чис­лен­ных по ста­рой и новой си­сте­мам оце­ни­ва­ния рав­нять­ся  дробь: чис­ли­тель: 1, зна­ме­на­тель: 30 конец дроби ?

б)  Может ли раз­ность рей­тин­гов, вы­чис­лен­ных по ста­рой и новой си­сте­мам оце­ни­ва­ния рав­нять­ся  дробь: чис­ли­тель: 1, зна­ме­на­тель: 35 конец дроби ?

в)  Най­ди­те наи­боль­шее воз­мож­ное зна­че­ние раз­но­сти рей­тин­гов, вы­чис­лен­ных по ста­рой и новой си­сте­мам оце­ни­ва­ния.


Решение

Обо­зна­чим рей­тинг ки­но­филь­ма, вы­чис­лен­ный по ста­рой си­сте­ме оце­ни­ва­ния, через A, а рей­тинг ки­но­филь­ма, вы­чис­лен­ный по новой си­сте­ме через B.

а)  За­ме­тим, что A= дробь: чис­ли­тель: m, зна­ме­на­тель: 7 конец дроби , B= дробь: чис­ли­тель: n, зна­ме­на­тель: 5 конец дроби , где m и n  — не­ко­то­рые на­ту­раль­ные числа. Зна­чит,

A минус B= дробь: чис­ли­тель: m, зна­ме­на­тель: 7 конец дроби минус дробь: чис­ли­тель: n, зна­ме­на­тель: 5 конец дроби = дробь: чис­ли­тель: 5m минус 7n, зна­ме­на­тель: 35 конец дроби .

Если A минус B= дробь: чис­ли­тель: 1, зна­ме­на­тель: 30 конец дроби , то 5m минус 7n= дробь: чис­ли­тель: 35, зна­ме­на­тель: 30 конец дроби , что не­воз­мож­но. Таким об­ра­зом, раз­ность рей­тин­гов, вы­чис­лен­ных по ста­рой и новой си­сте­мам, не может рав­нять­ся  дробь: чис­ли­тель: 1, зна­ме­на­тель: 30 конец дроби .

б)  На­при­мер, для оце­нок экс­пер­тов 0, 1, 2, 4, 7, 8, 9 раз­ность рей­тин­гов, вы­чис­лен­ных по ста­рой и новой си­сте­мам оце­ни­ва­ния равна

 дробь: чис­ли­тель: 0 плюс 1 плюс 2 плюс 4 плюс 7 плюс 8 плюс 9, зна­ме­на­тель: 7 конец дроби минус дробь: чис­ли­тель: 1 плюс 2 плюс 4 плюс 7 плюс 8, зна­ме­на­тель: 5 конец дроби = дробь: чис­ли­тель: 31, зна­ме­на­тель: 7 конец дроби минус дробь: чис­ли­тель: 22, зна­ме­на­тель: 5 конец дроби = дробь: чис­ли­тель: 1, зна­ме­на­тель: 35 конец дроби .

в)  Пусть x  — наи­мень­шая из оце­нок, z  — наи­боль­шая, а y  — сумма осталь­ных пяти оце­нок. Тогда

A минус B= дробь: чис­ли­тель: x плюс y плюс z, зна­ме­на­тель: 7 конец дроби минус дробь: чис­ли­тель: y, зна­ме­на­тель: 5 конец дроби = дробь: чис­ли­тель: 5x минус 2y плюс 5z, зна­ме­на­тель: 35 конец дроби мень­ше или равно дробь: чис­ли­тель: 5x плюс 5z минус 2 левая круг­лая скоб­ка левая круг­лая скоб­ка x плюс 1 пра­вая круг­лая скоб­ка плюс левая круг­лая скоб­ка x плюс 2 пра­вая круг­лая скоб­ка плюс ... плюс левая круг­лая скоб­ка x плюс 5 пра­вая круг­лая скоб­ка пра­вая круг­лая скоб­ка , зна­ме­на­тель: 35 конец дроби =

 

= дробь: чис­ли­тель: 5z минус 5x минус 30, зна­ме­на­тель: 35 конец дроби мень­ше или равно дробь: чис­ли­тель: 5 умно­жить на 10 минус 5 умно­жить на 0 минус 30, зна­ме­на­тель: 35 конец дроби = дробь: чис­ли­тель: 4, зна­ме­на­тель: 7 конец дроби .

Для оце­нок экс­пер­тов 0, 1, 2, 3, 4, 5, 10 раз­ность A минус B равна  дробь: чис­ли­тель: 4, зна­ме­на­тель: 7 конец дроби . Зна­чит, наи­боль­шее воз­мож­ное зна­че­ние раз­но­сти рей­тин­гов, вы­чис­лен­ных по ста­рой и новой си­сте­мам оце­ни­ва­ния, равно  дробь: чис­ли­тель: 4, зна­ме­на­тель: 7 конец дроби .

 

Ответ: а)  нет; б)  да; в)   дробь: чис­ли­тель: 4, зна­ме­на­тель: 7 конец дроби .





При­мер 5.

Оцените это решение в баллах:



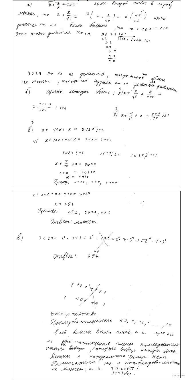
Задание № 505539

Все члены ко­неч­ной по­сле­до­ва­тель­но­сти яв­ля­ют­ся на­ту­раль­ны­ми чис­ла­ми. Каж­дый член этой по­сле­до­ва­тель­но­сти, на­чи­ная со вто­ро­го, либо в 10 раз боль­ше, либо в 10 раз мень­ше преды­ду­ще­го. Сумма всех чле­нов по­сле­до­ва­тель­но­сти равна 3024.

а)  Может ли по­сле­до­ва­тель­ность со­сто­ять из двух чле­нов?

б)  Может ли по­сле­до­ва­тель­ность со­сто­ять из трёх чле­нов?

в)  Какое наи­боль­шее ко­ли­че­ство чле­нов может быть в по­сле­до­ва­тель­но­сти?


Решение

а)  Если по­сле­до­ва­тель­ность со­сто­ит из двух чле­нов, a и 10a (в про­из­воль­ном по­ряд­ке), то a плюс 10a = 3024. Урав­не­ние 11a = 3024 не имеет ре­ше­ний в на­ту­раль­ных чис­лах. По­это­му по­сле­до­ва­тель­ность не может со­сто­ять из двух чле­нов.

б)  По­сле­до­ва­тель­ность может со­сто­ять из трёх чле­нов: 252, 2520, 252.

в)  При­ведём при­мер по­сле­до­ва­тель­но­сти из 549 чле­нов: 10, \underbrace1,10,1,10,...,1,10_548чле­нов. Сумма её чле­нов равна 10 плюс 11 умно­жить на 274 = 3024.

До­пу­стим, что в по­сле­до­ва­тель­но­сти более чем 549 чле­нов. Разобьём пер­вые 550 чле­нов по­сле­до­ва­тель­но­сти на 275 пар со­сед­них чле­нов: пер­вый и вто­рой, тре­тий и четвёртый, пятый и ше­стой и т. д. Сумма двух чле­нов в каж­дой паре де­лит­ся на 11 и по­это­му не мень­ше 11. Зна­чит, сумма всех чле­нов по­сле­до­ва­тель­но­сти не мень­ше, чем 275 умно­жить на 11= 3025 боль­ше 3024. По­лу­чи­ли про­ти­во­ре­чие.

 

Ответ: а)  нет; б)  да; в)  549.





При­мер 1.

Оцените это решение в баллах:

При­мер 2.

Оцените это решение в баллах:

При­мер 1.

Оцените это решение в баллах:

При­мер 2.

Оцените это решение в баллах:

При­мер 3.

Оцените это решение в баллах:

При­мер 4.

Оцените это решение в баллах:



Задание № 505540

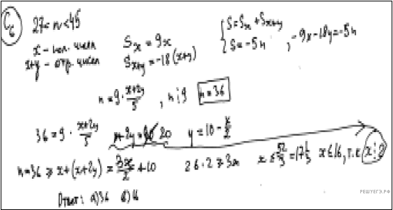
На доске на­пи­са­но более 27, но менее 45 целых чисел. Сред­нее ариф­ме­ти­че­ское этих чисел равно −5, сред­нее ариф­ме­ти­че­ское всех по­ло­жи­тель­ных из них равно 9, а сред­нее ариф­ме­ти­че­ское всех от­ри­ца­тель­ных из них равно −18.

а)  Сколь­ко чисел на­пи­са­но на доске?

б)  Каких чисел на­пи­са­но боль­ше: по­ло­жи­тель­ных или от­ри­ца­тель­ных?

в)  Какое наи­боль­шее ко­ли­че­ство по­ло­жи­тель­ных чисел может быть среди них?


Решение

Пусть среди на­пи­сан­ных чисел k по­ло­жи­тель­ных, l от­ри­ца­тель­ных и m нулей. Сумма на­бо­ра чисел равна ко­ли­че­ству чисел в этом на­бо­ре, умно­жен­но­му на его сред­нее ариф­ме­ти­че­ское, по­это­му

9k минус 18l плюс 0 умно­жить на m= минус 5 левая круг­лая скоб­ка k плюс l плюс m пра­вая круг­лая скоб­ка .

а)  За­ме­тим, что в левой части каж­дое сла­га­е­мое де­лит­ся на 9, по­это­му k плюс l плюс m  — ко­ли­че­ство целых чисел  — де­лит­ся на 9. По усло­вию 27 мень­ше k плюс l плюс m мень­ше 45, по­это­му

k плюс l плюс m=36.

Таким об­ра­зом, на­пи­са­но 36 чисел.

 

б)  При­ведём ра­вен­ство 9k минус 18l= минус 5 левая круг­лая скоб­ка k плюс l плюс m пра­вая круг­лая скоб­ка к виду

13l=14k плюс 5m.

Так как m боль­ше или равно 0, по­лу­ча­ем, что 13l боль­ше или равно 14k, от­ку­да l боль­ше k. Сле­до­ва­тель­но, от­ри­ца­тель­ных чисел боль­ше, чем по­ло­жи­тель­ных.

 

в)  (оцен­ка) Под­ста­вим k плюс l плюс m=36 в пра­вую часть ра­вен­ства

9k минус 18l= минус 5 левая круг­лая скоб­ка k плюс l плюс m пра­вая круг­лая скоб­ка :9k минус 18l= минус 180,

от­ку­да

k=2l минус 20.

По­сколь­ку k плюс l мень­ше или равно 36, по­лу­ча­ем:

3l минус 20 мень­ше или равно 36, 3l мень­ше или равно 56, l мень­ше или равно 18, k=2l минус 20 мень­ше или равно 16,

то есть по­ло­жи­тель­ных чисел не более 16.

 

в)  (при­мер) При­ведём при­мер, когда по­ло­жи­тель­ных чисел ровно 16. Пусть на доске 16 раз на­пи­са­но число 9, 18 раз на­пи­са­но число −18 и два раза на­пи­сан 0.

Тогда

 дробь: чис­ли­тель: 9 умно­жить на 16 минус 18 умно­жить на 18, зна­ме­на­тель: 36 конец дроби = дробь: чис­ли­тель: 144 минус 324, зна­ме­на­тель: 36 конец дроби = минус 5.

Ука­зан­ный набор удо­вле­тво­ря­ет всем усло­ви­ям за­да­чи.

 

Ответ: а)  36; б)  от­ри­ца­тель­ных; в)  16.





При­мер 1.

Оцените это решение в баллах:

При­мер 1.

Оцените это решение в баллах:

При­мер 2.

Оцените это решение в баллах:

При­мер 2.

Оцените это решение в баллах:



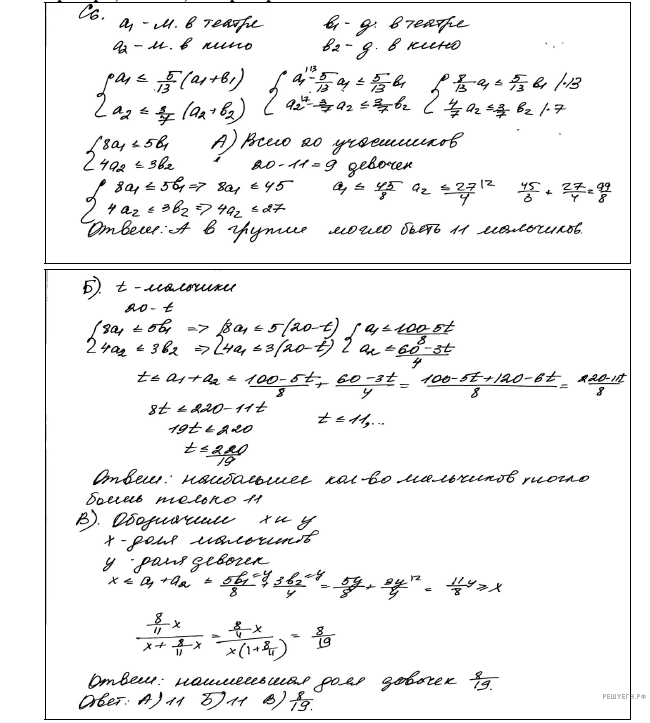
Задание № 505541

Каж­дый из груп­пы уча­щих­ся схо­дил в кино или в театр, при этом воз­мож­но, что кто-⁠то из них мог схо­дить и в кино, и в театр. Из­вест­но, что в те­ат­ре маль­чи­ков было не более  дробь: чис­ли­тель: 4, зна­ме­на­тель: 13 конец дроби от об­ще­го числа уча­щих­ся груп­пы, по­се­тив­ших театр, а в кино маль­чи­ков было не более  дробь: чис­ли­тель: 2, зна­ме­на­тель: 5 конец дроби от об­ще­го числа уча­щих­ся груп­пы, по­се­тив­ших кино.

 

а)  Могло ли быть в груп­пе 10 маль­чи­ков, если до­пол­ни­тель­но из­вест­но, что всего в груп­пе было 20 уча­щих­ся?

б)  Какое наи­боль­шее ко­ли­че­ство маль­чи­ков могло быть в груп­пе, если до­пол­ни­тель­но из­вест­но, что всего в груп­пе было 20 уча­щих­ся?

в)  Какую наи­мень­шую долю могли со­став­лять де­воч­ки от об­ще­го числа уча­щих­ся в груп­пе без до­пол­ни­тель­но­го усло­вия пунк­тов а) и б)?


Решение

а)  Если груп­па со­сто­ит из 4 маль­чи­ков, по­се­тив­ших толь­ко театр, 6 маль­чи­ков, по­се­тив­ших толь­ко кино, и 10 де­во­чек, схо­див­ших и в театр, и в кино, то усло­вие за­да­чи вы­пол­не­но. Зна­чит, в груп­пе из 20 уча­щих­ся могло быть 10 маль­чи­ков.

 

б)  Пред­по­ло­жим, что маль­чи­ков было 11 или боль­ше. Тогда де­во­чек было 9 или мень­ше. Театр по­се­ти­ло не более 4 маль­чи­ков, по­сколь­ку если бы их было 5 или боль­ше, то доля маль­чи­ков в те­ат­ре была бы не мень­ше  дробь: чис­ли­тель: 5, зна­ме­на­тель: 5 плюс 9 конец дроби = дробь: чис­ли­тель: 5, зна­ме­на­тель: 14 конец дроби , что боль­ше  дробь: чис­ли­тель: 4, зна­ме­на­тель: 13 конец дроби . Ана­ло­гич­но, кино по­се­ти­ло не более 6 маль­чи­ков, по­сколь­ку  дробь: чис­ли­тель: 7, зна­ме­на­тель: 7 плюс 9 конец дроби = дробь: чис­ли­тель: 7, зна­ме­на­тель: 16 конец дроби боль­ше дробь: чис­ли­тель: 2, зна­ме­на­тель: 5 конец дроби , но тогда хотя бы один маль­чик не по­се­тил ни те­ат­ра, ни кино, что про­ти­во­ре­чит усло­вию.

 

В преды­ду­щем пунк­те было по­ка­за­но, что в груп­пе из 20 уча­щих­ся могло быть 10 маль­чи­ков. Зна­чит, наи­боль­шее ко­ли­че­ство маль­чи­ков в груп­пе  — 10.

 

в)  Пред­по­ло­жим, что не­ко­то­рый маль­чик схо­дил и в театр, и в кино. Если бы вме­сто него в груп­пе при­сут­ство­ва­ло два маль­чи­ка, один из ко­то­рых по­се­тил толь­ко театр, а дру­гой  — толь­ко кино, то доля маль­чи­ков и в те­ат­ре, и в кино оста­лась бы преж­ней, а общая доля де­во­чек стала бы мень­ше. Зна­чит, для оцен­ки наи­мень­шей доли де­во­чек в груп­пе можно счи­тать, что каж­дый маль­чик схо­дил или толь­ко в театр, или толь­ко в кино.

Пусть в груп­пе m_1 маль­чи­ков, по­се­тив­ших театр, m_2маль­чи­ков, по­се­тив­ших кино, и d де­во­чек. Оце­ним долю де­во­чек в этой груп­пе. Будем счи­тать, что все де­воч­ки хо­ди­ли и в театр, и в кино, по­сколь­ку их доля в груп­пе от этого не из­ме­нит­ся, а доля в те­ат­ре и в кино не умень­шит­ся.

Из усло­вия:

 дробь: чис­ли­тель: m_1, зна­ме­на­тель: m_1 плюс d конец дроби мень­ше или равно дробь: чис­ли­тель: 4, зна­ме­на­тель: 13 конец дроби , дробь: чис­ли­тель: m_2, зна­ме­на­тель: m_2 плюс d конец дроби мень­ше или равно дробь: чис­ли­тель: 2, зна­ме­на­тель: 5 конец дроби ,

зна­чит,  дробь: чис­ли­тель: m_1, зна­ме­на­тель: d конец дроби мень­ше или равно дробь: чис­ли­тель: 4, зна­ме­на­тель: 9 конец дроби , дробь: чис­ли­тель: m_2, зна­ме­на­тель: d конец дроби мень­ше или равно дробь: чис­ли­тель: 2, зна­ме­на­тель: 3 конец дроби . Тогда  дробь: чис­ли­тель: m_1 плюс m_2, зна­ме­на­тель: d конец дроби мень­ше или равно дробь: чис­ли­тель: 10, зна­ме­на­тель: 9 конец дроби , по­это­му доля де­во­чек в груп­пе:

 дробь: чис­ли­тель: d, зна­ме­на­тель: m_1 плюс m_2 плюс d конец дроби = дробь: чис­ли­тель: 1, зна­ме­на­тель: дробь: чис­ли­тель: m_1 плюс m_2, зна­ме­на­тель: d конец дроби плюс 1 конец дроби боль­ше или равно дробь: чис­ли­тель: 1, зна­ме­на­тель: дробь: чис­ли­тель: 10, зна­ме­на­тель: 9 конец дроби плюс 1 конец дроби = дробь: чис­ли­тель: 9, зна­ме­на­тель: 19 конец дроби .

Если груп­па со­сто­ит из 4 маль­чи­ков, по­се­тив­ших толь­ко театр, 6 маль­чи­ков, по­се­тив­ших толь­ко кино, и 9 де­во­чек, схо­див­ших и в театр, и в кино, то усло­вие за­да­чи вы­пол­не­но, а доля де­во­чек в груп­пе равна  дробь: чис­ли­тель: 9, зна­ме­на­тель: 19 конец дроби .

 

Ответ: а)  да; б)  10; в)  дробь: чис­ли­тель: 9, зна­ме­на­тель: 19 конец дроби .





При­мер 1.

Оцените это решение в баллах:



Задание № 513112

Семь экс­пер­тов оце­ни­ва­ют ки­но­фильм. Каж­дый из них вы­став­ля­ет оцен­ку  — целое число бал­лов от 1 до 15 вклю­чи­тель­но. Из­вест­но, что все экс­пер­ты вы­ста­ви­ли раз­лич­ные оцен­ки. По ста­рой си­сте­ме оце­ни­ва­ния рей­тинг ки­но­филь­ма  — это сред­нее ариф­ме­ти­че­ское всех оце­нок экс­пер­тов. По новой си­сте­ме оце­ни­ва­ния рей­тинг ки­но­филь­ма вы­чис­ля­ет­ся сле­ду­ю­щим об­ра­зом: от­бра­сы­ва­ют­ся наи­мень­шая и наи­боль­шая оцен­ки и под­счи­ты­ва­ет­ся сред­нее ариф­ме­ти­че­ское пяти остав­ших­ся оце­нок.

а)  Может ли раз­ность рей­тин­гов, вы­чис­лен­ных по ста­рой и новой си­сте­мам оце­ни­ва­ния, рав­нять­ся  —  дробь: чис­ли­тель: 2, зна­ме­на­тель: конец дроби 45?

б)  Может ли эта раз­ность рей­тин­гов, вы­чис­лен­ных по ста­рой и новой си­сте­мам оце­ни­ва­ния, рав­нять­ся  —  дробь: чис­ли­тель: 2, зна­ме­на­тель: конец дроби 35?

в)  Най­ди­те наи­боль­шее воз­мож­ное зна­че­ние раз­но­сти рей­тин­гов, вы­чис­лен­ных по ста­рой и новой си­сте­мам оце­ни­ва­ния.


Решение

Обо­зна­чим рей­тинг ки­но­филь­ма, вы­чис­лен­ный по ста­рой си­сте­ме оце­ни­ва­ния, через A, а рей­тинг ки­но­филь­ма, вы­чис­лен­ный по новой си­сте­ме оце­ни­ва­ния, через B.

а)  За­ме­тим, что A = дробь: чис­ли­тель: m, зна­ме­на­тель: 7 конец дроби ,B = дробь: чис­ли­тель: n, зна­ме­на­тель: 5 конец дроби , где m и n  — не­ко­то­рые на­ту­раль­ные числа.

Зна­чит, A минус B= дробь: чис­ли­тель: m, зна­ме­на­тель: 7 конец дроби минус дробь: чис­ли­тель: n, зна­ме­на­тель: 5 конец дроби = дробь: чис­ли­тель: 5m минус 7n, зна­ме­на­тель: 35 конец дроби . Если A минус B= дробь: чис­ли­тель: 2, зна­ме­на­тель: конец дроби 45, то 5m минус 7n = дробь: чис­ли­тель: 14, зна­ме­на­тель: 9 конец дроби , что не­воз­мож­но.

Таким об­ра­зом, раз­ность рей­тин­гов, вы­чис­лен­ных по ста­рой и новой си­сте­мам оце­ни­ва­ния, не может рав­нять­ся  дробь: чис­ли­тель: 2, зна­ме­на­тель: конец дроби 45.

б)  На­при­мер, для оце­нок экс­пер­тов 1, 2, 4, 5, 6, 7, 9 раз­ность рей­тин­гов, вы­чис­лен­ных по ста­рой и новой си­сте­мам оце­ни­ва­ния, равна

 дробь: чис­ли­тель: 1 плюс 2 плюс 4 плюс 5 плюс 6 плюс 7 плюс 9, зна­ме­на­тель: 7 конец дроби минус дробь: чис­ли­тель: 2 плюс 4 плюс 5 плюс 6 плюс 7, зна­ме­на­тель: 5 конец дроби = дробь: чис­ли­тель: 34, зна­ме­на­тель: 7 конец дроби минус дробь: чис­ли­тель: 24, зна­ме­на­тель: 5 конец дроби = дробь: чис­ли­тель: 2, зна­ме­на­тель: конец дроби 35.

в)  Пусть x  — наи­мень­шая из оце­нок, z  — наи­боль­шая, а y  — сумма осталь­ных пяти оце­нок. Тогда

A минус B= дробь: чис­ли­тель: x плюс y плюс z, зна­ме­на­тель: 7 конец дроби минус дробь: чис­ли­тель: y, зна­ме­на­тель: 5 конец дроби = дробь: чис­ли­тель: 5x минус 2y плюс 5z, зна­ме­на­тель: 35 конец дроби мень­ше или равно дробь: чис­ли­тель: 5x плюс 5z минус 2 левая круг­лая скоб­ка левая круг­лая скоб­ка x плюс 1 пра­вая круг­лая скоб­ка плюс левая круг­лая скоб­ка x плюс 2 пра­вая круг­лая скоб­ка плюс ... плюс левая круг­лая скоб­ка x плюс 5 пра­вая круг­лая скоб­ка пра­вая круг­лая скоб­ка , зна­ме­на­тель: 35 конец дроби =
= дробь: чис­ли­тель: 5z минус 5x минус 30, зна­ме­на­тель: 35 конец дроби мень­ше или равно дробь: чис­ли­тель: 5 умно­жить на 15 минус 5 умно­жить на 1 минус 30, зна­ме­на­тель: 35 конец дроби = дробь: чис­ли­тель: 8, зна­ме­на­тель: 7 конец дроби

Для оце­нок экс­пер­тов 1, 2, 3, 4, 5, 6, 15 раз­ность A − B равна  дробь: чис­ли­тель: 8, зна­ме­на­тель: 7 конец дроби . Зна­чит, наи­боль­шее воз­мож­ное зна­че­ние раз­но­сти рей­тин­гов, вы­чис­лен­ных по ста­рой и новой си­сте­мам оце­ни­ва­ния, равно  дробь: чис­ли­тель: 8, зна­ме­на­тель: 7 конец дроби .

 

Ответ: а) нет; б) да; в)  дробь: чис­ли­тель: 8, зна­ме­на­тель: 7 конец дроби .





При­мер 1.

Оцените это решение в баллах:

При­мер 3.

Оцените это решение в баллах:



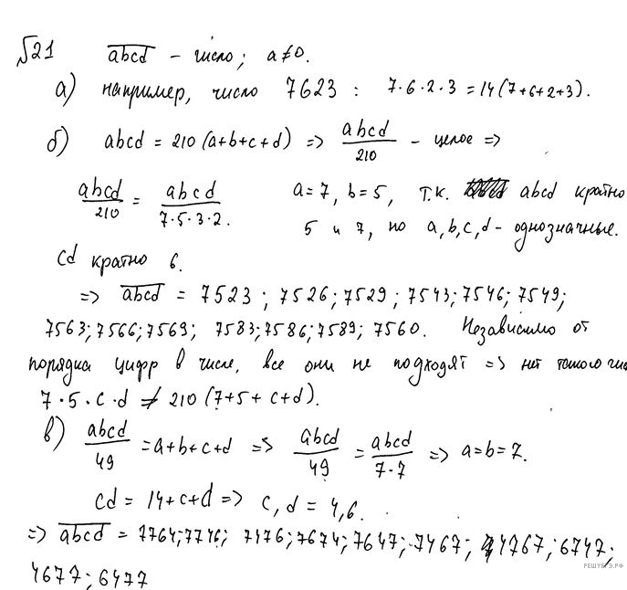
Задание № 515923

а)  При­ве­ди­те при­мер четырёхзнач­но­го числа, про­из­ве­де­ние цифр ко­то­ро­го в 14 раз боль­ше суммы цифр этого числа.

б)  Су­ще­ству­ет ли такое четырёхзнач­ное число, про­из­ве­де­ние цифр ко­то­ро­го в 210 раз боль­ше суммы цифр этого числа?

в)  Най­ди­те все четырёхзнач­ные числа, про­из­ве­де­ние цифр ко­то­рых в 49 раз боль­ше суммы цифр этого числа.


Решение

а)  Про­из­ве­де­ние цифр числа 6723 равно 252, а сумма цифр равна 18, то есть в 14 раз мень­ше.

б)  Пред­по­ло­жим, что такое число n су­ще­ству­ет и a, b, c, d  — его цифры. За­ме­тим, что среди этих цифр не может быть нулей, так как иначе их про­из­ве­де­ние было бы равно нулю. Имеем: abcd  =  210(a + b + c + d). Пра­вая часть этого ра­вен­ства де­лит­ся на 35, по­это­му среди цифр найдётся цифра 5 и цифра 7. Так как при пе­ре­ста­нов­ке ме­ста­ми цифр числа n ра­вен­ство abcd  =  210(a + b + c + d) остаётся вер­ным, то без огра­ни­че­ния общ­но­сти можно счи­тать, что в числе n цифры c и d равны 5 и 7 со­от­вет­ствен­но. Тогда ab=6 левая круг­лая скоб­ка a плюс b плюс 12 пра­вая круг­лая скоб­ка боль­ше или равно 6 умно­жить на 14 боль­ше 9 умно­жить на 9 мень­ше или равно ab. По­лу­ча­ем про­ти­во­ре­чие.

в)  Пред­по­ло­жим, что такое число n су­ще­ству­ет и a, b, c, d  — его цифры. Как и ранее, за­ме­тим, что среди этих цифр не может быть нулей, так как иначе их про­из­ве­де­ние было бы равно нулю. Имеем: abcd  =  49(a + b + c + d). Пра­вая часть этого ра­вен­ства де­лит­ся на 49, по­это­му среди цифр най­дут­ся две цифры 7. Без огра­ни­че­ния общ­но­сти будем счи­тать, что c  =  d  =  7.

Тогда ab  =  a + b + 14. Пусть a и b нечётные. Так как про­из­ве­де­ние двух нечётных чисел нечётно, а их сумма чётна, по­лу­ча­ем: пра­вая часть ра­вен­ства чётна (сумма чётных чисел чётна), а левая  — нечётна. Про­ти­во­ре­чие. Тогда хотя бы одно из чисел крат­но 2. Будем счи­тать, что на 2 де­лить­ся b.

Если b  =  2, то 2a  =  a + 16, что не­воз­мож­но. Если b  =  4, то 4a  =  a + 18; a  =  6.

Если b  =  8, то 8a  =  a + 22; a= дробь: чис­ли­тель: 22, зна­ме­на­тель: 7 конец дроби , что не­воз­мож­но. Число n  =  4677 и все числа, по­лу­ча­е­мые из него пе­ре­ста­нов­кой цифр, удо­вле­тво­ря­ют усло­вию за­да­чи. Если b  =  6, то 6a  =  a + 20; a  =  4. Этот ва­ри­ант также по­лу­ча­ет­ся из пред­по­след­не­го пе­ре­ста­нов­кой цифр.

 

Ответ: а) на­при­мер, 6723; б) нет; в) Число 4677 и все числа, по­лу­ча­е­мые из него пе­ре­ста­нов­кой цифр (всего 12 чисел).





При­мер 1.

Оцените это решение в баллах:

При­мер 2.

Оцените это решение в баллах:

При­мер 3.

Оцените это решение в баллах:



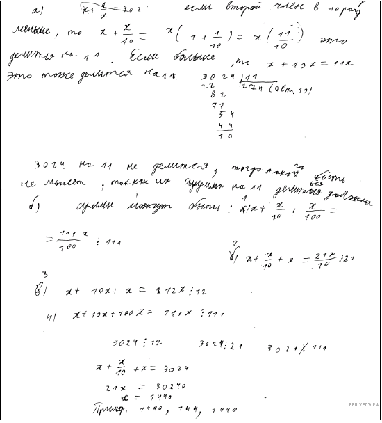
Задание № 519408

В по­сле­до­ва­тель­но­сти a1, a2,..., an−1, an, со­сто­я­щей из целых чисел, a1  =  1, an  =  235. Сумма любых двух со­сед­них чле­нов по­сле­до­ва­тель­но­сти равна 3, 5 или 25.

а)  При­ве­ди­те при­мер такой по­сле­до­ва­тель­но­сти.

б)  Может ли такая по­сле­до­ва­тель­ность со­сто­ять из 1000 чле­нов?

в)  Из ка­ко­го наи­мень­ше­го числа чле­нов может со­сто­ять такая по­сле­до­ва­тель­ность?


Решение

а)  На­при­мер, по­сле­до­ва­тель­ность 1, 2, 3, 0, 5, −2, 7, −4, …, 233, −230, 235 удо­вле­тво­ря­ет усло­вию за­да­чи (че­ре­ду­ют­ся суммы чисел 3 и 5).

б)  По­сколь­ку 3, 5 и 25  — нечётные числа, любые два со­сед­них члена по­сле­до­ва­тель­но­сти имеют раз­ную чётность. На нечётных ме­стах долж­ны сто­ять нечётные числа, а на чётных  — чётные. Число 235 нечётное, по­это­му оно не может сто­ять на чётном месте. Зна­чит, по­сле­до­ва­тель­ность не может со­сто­ять из 1000 чле­нов.

в)  Рас­смот­рим три члена по­сле­до­ва­тель­но­сти: ak, ak+1, ak+2 (1 мень­ше или равно k мень­ше или равно n минус 2). По­сколь­ку ak + ak+1 ≥ 3, ak+1 + ak+2 ≤ 25, по­лу­ча­ем ak+2 ≤ ak+22. В преды­ду­щем пунк­те было по­ка­за­но, что по­сле­до­ва­тель­ность долж­на со­сто­ять из нечётного числа чле­нов.

Пусть n  =  2m + 1, тогда

an  =  a2m+1 ≤ a2m-1 + 22 ≤ a2m-3 + 22 · 2 ≤...≤ a1 + 22 · m; 235 ≤ 1 + 22m,

от­ку­да m ≥ 11. Зна­чит, по­сле­до­ва­тель­ность со­сто­ит не менее чем из 23 чисел.

При­ведём при­мер по­сле­до­ва­тель­но­сти, удо­вле­тво­ря­ю­щей усло­вию за­да­чи, со­сто­я­щей из 23 чле­нов:

1, 2, 23, −20, 45, −42, 67, −64, 89, −86, 111, −108, 133, −130, 155, −150, 175, −170, 195, −190, 215, −210, 235.

Ответ: а)  на­при­мер, 1, 2, 3, 0, 5, −2, 7, −4, …, 233, −230, 235; б)  нет; в)  23.





При­мер 1

Оцените это решение в баллах:

При­мер 2

Оцените это решение в баллах:



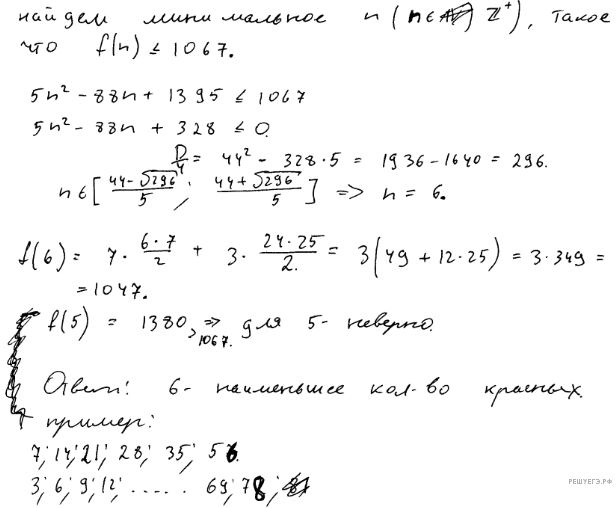
Задание № 559547


Решение





При­мер 1

Оцените это решение в баллах:

При­мер 2

Оцените это решение в баллах:

При­мер 3

Оцените это решение в баллах:

При­мер 4

Оцените это решение в баллах:



Задание № 559549


Решение





При­мер 1

Оцените это решение в баллах:

При­мер 2

Оцените это решение в баллах:



Наверх
Вернуться на основную страницу «Школы экспертов»