Школа экспертов
Вернуться на основную страницу «Школы экспертов»

Ниже представлены ученические решения экзаменационных заданий. Оцените каждое из них в соответствии с критериями проверки заданий ЕГЭ. После нажатия кнопки «Проверить» вы узнаете правильный балл за каждое из решений. В конце будут подведены итоги.

Задание 485932
Задание 485942
Задание 500366
Задание 505547


Задание № 485932

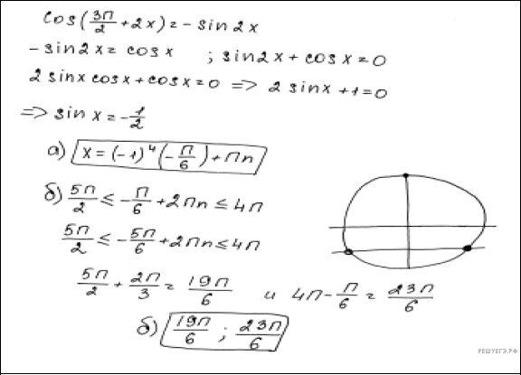
Дано урав­не­ние  ко­си­нус левая круг­лая скоб­ка дробь: чис­ли­тель: 3 Пи , зна­ме­на­тель: 2 конец дроби плюс 2x пра­вая круг­лая скоб­ка = ко­си­нус x.

а)  Ре­ши­те урав­не­ние.

б)  Ука­жи­те корни урав­не­ния, при­над­ле­жа­щие от­рез­ку  левая квад­рат­ная скоб­ка дробь: чис­ли­тель: 5 Пи , зна­ме­на­тель: 2 конец дроби ;4 Пи пра­вая квад­рат­ная скоб­ка .


Решение

Ис­поль­зу­ем фор­му­лу при­ве­де­ния и си­ну­са двой­но­го угла:

 синус 2x= ко­си­нус x рав­но­силь­но 2 синус x ко­си­нус x= ко­си­нус x рав­но­силь­но ко­си­нус x левая круг­лая скоб­ка 2 синус x минус 1 пра­вая круг­лая скоб­ка =0 рав­но­силь­но

 

 рав­но­силь­но со­во­куп­ность вы­ра­же­ний  новая стро­ка ко­си­нус x=0,  новая стро­ка синус x= дробь: чис­ли­тель: 1, зна­ме­на­тель: 2 конец дроби ,  конец со­во­куп­но­сти . рав­но­силь­но со­во­куп­ность вы­ра­же­ний  новая стро­ка x= дробь: чис­ли­тель: Пи , зна­ме­на­тель: 2 конец дроби плюс Пи k,  новая стро­ка x= дробь: чис­ли­тель: Пи , зна­ме­на­тель: 6 конец дроби плюс 2 Пи k,  новая стро­ка x= дробь: чис­ли­тель: 5 Пи , зна­ме­на­тель: 6 конец дроби плюс 2 Пи k,  конец со­во­куп­но­сти .k при­над­ле­жит Z .

б)  С по­мо­щью еди­нич­ной окруж­но­сти отберём корни на от­рез­ке  левая квад­рат­ная скоб­ка дробь: чис­ли­тель: 5 Пи , зна­ме­на­тель: 2 конец дроби ;4 Пи пра­вая квад­рат­ная скоб­ка . На­хо­дим:  дробь: чис­ли­тель: 5 Пи , зна­ме­на­тель: 2 конец дроби ,  дробь: чис­ли­тель: 17 Пи , зна­ме­на­тель: 6 конец дроби ,  дробь: чис­ли­тель: 7 Пи , зна­ме­на­тель: 2 конец дроби .

 

Ответ: а)  левая фи­гур­ная скоб­ка дробь: чис­ли­тель: Пи , зна­ме­на­тель: 2 конец дроби плюс Пи k, дробь: чис­ли­тель: Пи , зна­ме­на­тель: 6 конец дроби плюс 2 Пи k, дробь: чис­ли­тель: 5 Пи , зна­ме­на­тель: 6 конец дроби плюс 2 Пи k: k при­над­ле­жит Z пра­вая фи­гур­ная скоб­ка ; б)  дробь: чис­ли­тель: 5 Пи , зна­ме­на­тель: 2 конец дроби ;  дробь: чис­ли­тель: 17 Пи , зна­ме­на­тель: 6 конец дроби ;  дробь: чис­ли­тель: 7 Пи , зна­ме­на­тель: 2 конец дроби .

 

При­ме­ча­ние.

Урав­не­ние может быть также ре­ше­но при по­мо­щи сле­ду­ю­щей тео­ре­мы:

 ко­си­нус x = ко­си­нус y рав­но­силь­но x = \pm y плюс 2 Пи k, k при­над­ле­жит Z .



Кри­те­рии оце­ни­ва­ния вы­пол­не­ния за­да­нияБаллы
Обос­но­ван­но по­лу­че­ны вер­ные от­ве­ты в обоих пунк­тах.2
Обос­но­ван­но по­лу­чен вер­ный ответ в пунк­те а),

ИЛИ

по­лу­че­ны не­вер­ные от­ве­ты из-за вы­чис­ли­тель­ной ошиб­ки, но при этом име­ет­ся вер­ная по­сле­до­ва­тель­ность всех шагов ре­ше­ния пунк­та а) и пунк­та б).

1
Ре­ше­ние не со­от­вет­ству­ет ни од­но­му из кри­те­ри­ев, пе­ре­чис­лен­ных выше.0
Мак­си­маль­ный балл2


При­мер 1.

Оцените это решение в баллах:

При­мер 2.

Оцените это решение в баллах:

При­мер 3.

Оцените это решение в баллах:



Задание № 485942

а)  Ре­ши­те урав­не­ние  синус левая круг­лая скоб­ка дробь: чис­ли­тель: 3 Пи , зна­ме­на­тель: 2 конец дроби минус 2x пра­вая круг­лая скоб­ка = синус x.

б)  Ука­жи­те корни урав­не­ния, при­над­ле­жа­щие от­рез­ку  левая квад­рат­ная скоб­ка дробь: чис­ли­тель: 3 Пи , зна­ме­на­тель: 2 конец дроби , дробь: чис­ли­тель: 5 Пи , зна­ме­на­тель: 2 конец дроби пра­вая квад­рат­ная скоб­ка .


Решение

а)  По фор­му­ле при­ве­де­ния и фор­му­ле ко­си­ну­са двой­но­го угла:

 синус левая круг­лая скоб­ка дробь: чис­ли­тель: 3 Пи , зна­ме­на­тель: 2 конец дроби минус 2x пра­вая круг­лая скоб­ка = синус x рав­но­силь­но минус ко­си­нус 2x= синус x рав­но­силь­но 2 синус в квад­ра­те x минус синус x минус 1=0.

Тогда  синус x=1 или  синус x= минус дробь: чис­ли­тель: 1, зна­ме­на­тель: 2 конец дроби . От­ку­да x= дробь: чис­ли­тель: Пи , зна­ме­на­тель: 2 конец дроби плюс 2 Пи k, x= минус дробь: чис­ли­тель: Пи , зна­ме­на­тель: 6 конец дроби плюс 2 Пи k или x= минус дробь: чис­ли­тель: 5 Пи , зна­ме­на­тель: 6 конец дроби плюс 2 Пи k, k при­над­ле­жит Z .

б)  С по­мо­щью еди­нич­ной окруж­но­сти отберём корни на от­рез­ке  левая квад­рат­ная скоб­ка дробь: чис­ли­тель: 3 Пи , зна­ме­на­тель: 2 конец дроби , дробь: чис­ли­тель: 5 Пи , зна­ме­на­тель: 2 конец дроби пра­вая квад­рат­ная скоб­ка . Это числа  дробь: чис­ли­тель: 5 Пи , зна­ме­на­тель: 2 конец дроби и  дробь: чис­ли­тель: 11 Пи , зна­ме­на­тель: 6 конец дроби (см. рис.).

Ответ: а)  левая фи­гур­ная скоб­ка дробь: чис­ли­тель: Пи , зна­ме­на­тель: 2 конец дроби плюс 2 Пи k, минус дробь: чис­ли­тель: Пи , зна­ме­на­тель: 6 конец дроби плюс 2 Пи k, минус дробь: чис­ли­тель: 5 Пи , зна­ме­на­тель: 6 конец дроби плюс 2 Пи k: k при­над­ле­жит Z пра­вая фи­гур­ная скоб­ка ; б)  дробь: чис­ли­тель: 5 Пи , зна­ме­на­тель: 2 конец дроби ; дробь: чис­ли­тель: 11 Пи , зна­ме­на­тель: 6 конец дроби .





При­мер 1.

Оцените это решение в баллах:



Задание № 500366

а)  Ре­ши­те урав­не­ние  ко­си­нус 2x плюс синус в квад­ра­те x=0,5.

б)  Най­ди­те все корни этого урав­не­ния, при­над­ле­жа­щие от­рез­ку  левая квад­рат­ная скоб­ка минус дробь: чис­ли­тель: 7 Пи , зна­ме­на­тель: 2 конец дроби ; минус 2 Пи пра­вая квад­рат­ная скоб­ка .


Решение

а)  За­пи­шем урав­не­ние в виде

 ко­си­нус в квад­ра­те x минус синус в квад­ра­те x плюс синус в квад­ра­те x=0,5 рав­но­силь­но ко­си­нус в квад­ра­те x= дробь: чис­ли­тель: 1, зна­ме­на­тель: 2 конец дроби рав­но­силь­но

 рав­но­силь­но ко­си­нус x=\pm дробь: чис­ли­тель: ко­рень из: на­ча­ло ар­гу­мен­та: 2 конец ар­гу­мен­та , зна­ме­на­тель: 2 конец дроби рав­но­силь­но x= дробь: чис­ли­тель: Пи , зна­ме­на­тель: 4 конец дроби плюс дробь: чис­ли­тель: зна­ме­на­тель: p конец дроби i2 k,k при­над­ле­жит Z .

б)  С по­мо­щью чис­ло­вой окруж­но­сти отберём корни, при­над­ле­жа­щие от­рез­ку  левая квад­рат­ная скоб­ка минус дробь: чис­ли­тель: 7 Пи , зна­ме­на­тель: 2 конец дроби , минус 2 Пи пра­вая квад­рат­ная скоб­ка . По­лу­чим числа:  минус дробь: чис­ли­тель: 13 Пи , зна­ме­на­тель: 4 конец дроби ,  минус дробь: чис­ли­тель: 11 Пи , зна­ме­на­тель: 4 конец дроби ,  минус дробь: чис­ли­тель: 9 Пи , зна­ме­на­тель: 4 конец дроби .

 

Ответ: а)  левая фи­гур­ная скоб­ка дробь: чис­ли­тель: Пи , зна­ме­на­тель: 4 конец дроби плюс дробь: чис­ли­тель: Пи k, зна­ме­на­тель: 2 конец дроби | k при­над­ле­жит Z пра­вая фи­гур­ная скоб­ка ; б) минус дробь: чис­ли­тель: 13 Пи , зна­ме­на­тель: 4 конец дроби ; минус дробь: чис­ли­тель: 11 Пи , зна­ме­на­тель: 4 конец дроби ; минус дробь: чис­ли­тель: 9 Пи , зна­ме­на­тель: 4 конец дроби .





При­мер 1.

Оцените это решение в баллах:



Задание № 505547

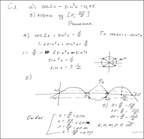
а)  Ре­ши­те урав­не­ние:  ко­си­нус 2x плюс синус в квад­ра­те x =0,75.

б)  Най­ди­те все корни этого урав­не­ния, при­над­ле­жа­щие от­рез­ку  левая квад­рат­ная скоб­ка Пи , дробь: чис­ли­тель: 5 Пи , зна­ме­на­тель: 2 конец дроби пра­вая квад­рат­ная скоб­ка .


Решение

а)  За­пи­шем урав­не­ние в виде:

 ко­си­нус в квад­ра­те x минус синус в квад­ра­те x плюс синус в квад­ра­те x = 0,75 рав­но­силь­но ко­си­нус в квад­ра­те x = дробь: чис­ли­тель: 3, зна­ме­на­тель: 4 конец дроби рав­но­силь­но со­во­куп­ность вы­ра­же­ний ко­си­нус x = минус дробь: чис­ли­тель: ко­рень из: на­ча­ло ар­гу­мен­та: 3 конец ар­гу­мен­та , зна­ме­на­тель: 2 конец дроби , ко­си­нус x = дробь: чис­ли­тель: ко­рень из: на­ча­ло ар­гу­мен­та: 3 конец ар­гу­мен­та , зна­ме­на­тель: 2 конец дроби конец со­во­куп­но­сти . со­во­куп­ность вы­ра­же­ний x= минус дробь: чис­ли­тель: Пи , зна­ме­на­тель: 6 конец дроби плюс Пи k,x= дробь: чис­ли­тель: Пи , зна­ме­на­тель: 6 конец дроби плюс Пи k, k при­над­ле­жит Z . конец со­во­куп­но­сти .

 

б)  С по­мо­щью чис­ло­вой окруж­но­сти отберём корни, при­над­ле­жа­щие от­рез­ку  левая квад­рат­ная скоб­ка Пи , дробь: чис­ли­тель: 5 Пи , зна­ме­на­тель: 2 конец дроби пра­вая квад­рат­ная скоб­ка . По­лу­чим числа  дробь: чис­ли­тель: 7 Пи , зна­ме­на­тель: 6 конец дроби , дробь: чис­ли­тель: 11 Пи , зна­ме­на­тель: 6 конец дроби , дробь: чис­ли­тель: 13 Пи , зна­ме­на­тель: 6 конец дроби .

 

Ответ: а)  левая фи­гур­ная скоб­ка минус дробь: чис­ли­тель: Пи , зна­ме­на­тель: 6 конец дроби плюс Пи k, дробь: чис­ли­тель: зна­ме­на­тель: p конец дроби i6 плюс Пи k: k при­над­ле­жит Z пра­вая фи­гур­ная скоб­ка ; б)  дробь: чис­ли­тель: 7 Пи , зна­ме­на­тель: 6 конец дроби ; дробь: чис­ли­тель: 11 Пи , зна­ме­на­тель: 6 конец дроби ; дробь: чис­ли­тель: 13 Пи , зна­ме­на­тель: 6 конец дроби .





При­мер 1.

Оцените это решение в баллах:

При­мер 2.

Оцените это решение в баллах:

При­мер 3.

Оцените это решение в баллах:



Наверх
Вернуться на основную страницу «Школы экспертов»