Школа экспертов
Вернуться на основную страницу «Школы экспертов»

Ниже представлены ученические решения экзаменационных заданий. Оцените каждое из них в соответствии с критериями проверки заданий ЕГЭ. После нажатия кнопки «Проверить» вы узнаете правильный балл за каждое из решений. В конце будут подведены итоги.

Задание 484570
Задание 484571
Задание 500816
Задание 505549


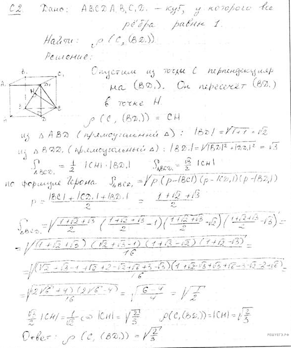
Задание № 484570

В кубе ABCDA1B1C1D1 все ребра равны 1.

а)  До­ка­жи­те, что BD_1\perp AC.

б)  Най­ди­те рас­сто­я­ние от точки C до пря­мой BD1.


Решение

а)  Про­ек­ция BD_1 на плос­кость ABCD  — это пря­мая BD. BD\perp AC (диа­го­на­ли квад­ра­та), по­это­му, по тео­ре­ме о трех пер­пен­ди­ку­ля­рах, BD_1\perp AC.

б)  Про­ве­дем от­ре­зок CD1 и опу­стим пер­пен­ди­ку­ляр CH на BD1.

Ис­ко­мое рас­сто­я­ние равно вы­со­те CH пря­мо­уголь­но­го тре­уголь­ни­ка BCD1 с пря­мым углом C:

CH= дробь: чис­ли­тель: 2S_BCD_1, зна­ме­на­тель: BD_1 конец дроби = дробь: чис­ли­тель: CD_1 умно­жить на BC, зна­ме­на­тель: BD_1 конец дроби = дробь: чис­ли­тель: ко­рень из: на­ча­ло ар­гу­мен­та: 2 конец ар­гу­мен­та , зна­ме­на­тель: ко­рень из: на­ча­ло ар­гу­мен­та: 3 конец ар­гу­мен­та конец дроби = дробь: чис­ли­тель: ко­рень из: на­ча­ло ар­гу­мен­та: 6 конец ар­гу­мен­та , зна­ме­на­тель: 3 конец дроби .

Ответ:  дробь: чис­ли­тель: ко­рень из: на­ча­ло ар­гу­мен­та: 6 конец ар­гу­мен­та , зна­ме­на­тель: 3 конец дроби .



Кри­те­рии оце­ни­ва­ния вы­пол­не­ния за­да­нияБаллы
Име­ет­ся вер­ное до­ка­за­тель­ство утвер­жде­ния пунк­та а), и обос­но­ван­но по­лу­чен вер­ный ответ в пунк­те б)3
По­лу­чен обос­но­ван­ный ответ в пунк­те б)

ИЛИ

име­ет­ся вер­ное до­ка­за­тель­ство утвер­жде­ния пунк­та а), и при обос­но­ван­ном ре­ше­нии пунк­та б) по­лу­чен не­вер­ный ответ из-за ариф­ме­ти­че­ской ошиб­ки

2
Име­ет­ся вер­ное до­ка­за­тель­ство утвер­жде­ния пунк­та а),

ИЛИ

при обос­но­ван­ном ре­ше­нии пунк­та б) по­лу­чен не­вер­ный ответ из-за ариф­ме­ти­че­ской ошиб­ки,

ИЛИ

обос­но­ван­но по­лу­чен вер­ный ответ в пунк­те б) с ис­поль­зо­ва­ни­ем утвер­жде­ния пунк­та а), при этом пункт а) не вы­пол­нен

1
Ре­ше­ние не со­от­вет­ству­ет ни од­но­му из кри­те­ри­ев, при­ведённых выше0
Мак­си­маль­ный балл3


При­мер 1.

Оцените это решение в баллах:

При­мер 2.

Оцените это решение в баллах:

При­мер 3.

Оцените это решение в баллах:

При­мер 4.

Оцените это решение в баллах:

При­мер 5.

Оцените это решение в баллах:



Задание № 484571

Дан куб ABCDA1B1C1D1. Длина ребра куба равна 1.

а)  До­ка­жи­те, что рас­сто­я­ние от се­ре­ди­ны от­рез­ка BC1 до плос­ко­сти AB1D1 равно рас­сто­я­нию се­ре­ди­ны от­рез­ка BC1 до пря­мой, про­хо­дя­щей через се­ре­ди­ну от­рез­ка AD_1 и вер­ши­ну B_1.

б)  Най­ди­те это рас­сто­я­ние.


Решение

а)  Пусть M   — се­ре­ди­на AD_1,N  — се­ре­ди­на BC_1,BC_1||AD_1,B_1C\bot BC_1, зна­чит, B_1N\bot AD_1. Кроме того, MN\bot AD_1, сле­до­ва­тель­но, плос­кость MB_1N\bot AD_1. Опу­стим пер­пен­ди­ку­ляр NH из точки N на пря­мую MB_1, кроме этого, NH\bot AD_1 (по­сколь­ку лежит в плос­ко­сти MB_1N), сле­до­ва­тель­но, NH\bot AB_1D_1 и яв­ля­ет­ся ис­ко­мым рас­сто­я­ни­ем.

б)  Ис­ко­мый от­ре­зок NH яв­ля­ет­ся вы­со­той пря­мо­уголь­но­го тре­уголь­ни­ка MNB_1 с пря­мым углом N.

По­это­му

NH= дробь: чис­ли­тель: NB_1 умно­жить на NM, зна­ме­на­тель: MB_1 конец дроби =\dfrac\dfrac ко­рень из: на­ча­ло ар­гу­мен­та: 2 конец ар­гу­мен­та 2 умно­жить на 1 ко­рень из: на­ча­ло ар­гу­мен­та: левая круг­лая скоб­ка \dfrac ко­рень из: на­ча­ло ар­гу­мен­та: 2 конец ар­гу­мен­та конец ар­гу­мен­та 2 пра­вая круг­лая скоб­ка в квад­ра­те плюс 1 в квад­ра­те = дробь: чис­ли­тель: \dfrac1, зна­ме­на­тель: ко­рень из: на­ча­ло ар­гу­мен­та: 2 конец ар­гу­мен­та конец дроби ко­рень из: на­ча­ло ар­гу­мен­та: \dfrac 32 конец ар­гу­мен­та = дробь: чис­ли­тель: 1, зна­ме­на­тель: ко­рень из: на­ча­ло ар­гу­мен­та: 3 конец ар­гу­мен­та конец дроби .

Ответ:  дробь: чис­ли­тель: ко­рень из: на­ча­ло ар­гу­мен­та: 3 конец ар­гу­мен­та , зна­ме­на­тель: 3 конец дроби .





При­мер 1.

Оцените это решение в баллах:

При­мер 2.

Оцените это решение в баллах:

При­мер 3.

Оцените это решение в баллах:

При­мер 4.

Оцените это решение в баллах:



Задание № 500816

Сто­ро­на ос­но­ва­ния пра­виль­ной тре­уголь­ной приз­мы ABCA1B1C1 равна 2, а диа­го­наль бо­ко­вой грани равна  ко­рень из: на­ча­ло ар­гу­мен­та: 5 конец ар­гу­мен­та .

а)  До­ка­жи­те, что объем пи­ра­ми­ды A_1BCC_1B_1 вдвое боль­ше объ­е­ма пи­ра­ми­ды AA_1BC.

б)  Най­ди­те угол между плос­ко­стью A1BC и плос­ко­стью ос­но­ва­ния приз­мы.


Решение

а)  Пусть S − пло­щадь ос­но­ва­ния приз­мы, а h - её вы­со­та. Тогда объем приз­мы равен Sh, а объем пи­ра­ми­ды AA_1BC равен  дробь: чис­ли­тель: 1, зна­ме­на­тель: 3 конец дроби Sh. Таким об­ра­зом, объем пи­ра­ми­ды A_1BCC_1B_1 равен V_A_1BCC_1B_1=Sh минус дробь: чис­ли­тель: 1, зна­ме­на­тель: 3 конец дроби Sh= дробь: чис­ли­тель: 2, зна­ме­на­тель: 3 конец дроби Sh=2V_AA_1BC. Что и тре­бо­ва­лось до­ка­зать.

б)  Обо­зна­чим H се­ре­ди­ну ребра BC. Так как тре­уголь­ник ABC рав­но­сто­рон­ний, а тре­уголь­ник A_1BC  — рав­но­бед­рен­ный, от­рез­ки AH и A_1H пер­пен­ди­ку­ляр­ны BC. Сле­до­ва­тель­но, \angle A_1HA  — ли­ней­ный угол дву­гран­но­го угла с гра­ня­ми BCA и BCA_1. Из тре­уголь­ни­ка A_1AB най­дем AA_1= ко­рень из: на­ча­ло ар­гу­мен­та: 5 минус 4 конец ар­гу­мен­та =1. В тре­уголь­ни­ке AHB най­дем вы­со­ту AH= ко­рень из: на­ча­ло ар­гу­мен­та: 4 минус 1 конец ар­гу­мен­та = ко­рень из: на­ча­ло ар­гу­мен­та: 3 конец ар­гу­мен­та .

Из тре­уголь­ни­ка HAA_1 най­дем:  тан­генс \angle A_1HA= дробь: чис­ли­тель: AA_1, зна­ме­на­тель: AH конец дроби = дробь: чис­ли­тель: 1, зна­ме­на­тель: ко­рень из: на­ча­ло ар­гу­мен­та: 3 конец ар­гу­мен­та конец дроби .

Ис­ко­мый угол равен 30 гра­ду­сов.

 

Ответ: 30 гра­ду­сов.





При­мер 1.

Оцените это решение в баллах:

При­мер 2.

Оцените это решение в баллах:



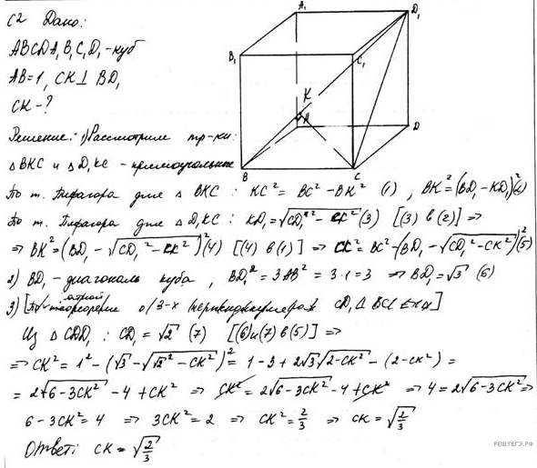
Задание № 505549

Дан куб ABCDA1B1C1D1.

а)  До­ка­жи­те, что плос­кость B_1CD_1 пер­пен­ди­ку­ляр­на пря­мой AC_1.

б)  Най­ди­те ко­си­нус угла между плос­ко­стя­ми AB1D1 и ACD1.


Решение

а)  Спро­еци­ру­ем пря­мую AC_1 на плос­ко­сти BCC_1 и DCC_1. По­лу­чат­ся пря­мые BC_1 и DC_1. Тогда, по тео­ре­ме о трех пер­пен­ди­ку­ля­рах, AC_1\perp B_1C и AC_1\perp D_1C. Тогда, по при­зна­ку пер­пен­ди­ку­ляр­но­сти пря­мой и плос­ко­сти, AC_1\perp B_1CD_1. Что и тре­бо­ва­лось до­ка­зать.

б)  Пусть точка M  — се­ре­ди­на от­рез­ка AD_1 При­мем длины ребер куба за a. Из пря­мо­уголь­но­го тре­уголь­ни­ка ABB_1 по тео­ре­ме Пи­фа­го­ра найдём AB_1:

AB_1= ко­рень из: на­ча­ло ар­гу­мен­та: AB в квад­ра­те плюс BB_1 в квад­ра­те конец ар­гу­мен­та =a ко­рень из: на­ча­ло ар­гу­мен­та: 2 конец ар­гу­мен­та .

Ана­ло­гич­но, B_1D_1=CD_1=AD_1=AC=B_1C=a ко­рень из: на­ча­ло ар­гу­мен­та: 2 конец ар­гу­мен­та . Опу­стим пер­пен­ди­ку­ля­ры B_1H и CK на сто­ро­ну AD_1 тре­уголь­ни­ки AB_1D_1 и ACD_1 рав­но­сто­рон­ние, по­это­му пер­пен­ди­ку­ля­ры B_1H и CK также яв­ля­ют­ся бис­сек­три­са­ми и ме­ди­а­на­ми, по­это­му точки H, K и M сов­па­да­ют. Угол B_1MC  — ис­ко­мый. Из пря­мо­уголь­но­го тре­уголь­ни­ка AB_1M:

B_1M= ко­рень из: на­ча­ло ар­гу­мен­та: AB_1 в квад­ра­те минус AM в квад­ра­те конец ар­гу­мен­та = ко­рень из: на­ча­ло ар­гу­мен­та: AB_1 в квад­ра­те минус левая круг­лая скоб­ка дробь: чис­ли­тель: AD_1, зна­ме­на­тель: 2 конец дроби пра­вая круг­лая скоб­ка в квад­ра­те конец ар­гу­мен­та = ко­рень из: на­ча­ло ар­гу­мен­та: 2a в квад­ра­те минус дробь: чис­ли­тель: a в квад­ра­те , зна­ме­на­тель: 2 конец дроби конец ар­гу­мен­та = дробь: чис­ли­тель: a ко­рень из: на­ча­ло ар­гу­мен­та: 3 конец ар­гу­мен­та , зна­ме­на­тель: ко­рень из: на­ча­ло ар­гу­мен­та: 2 конец ар­гу­мен­та конец дроби .

По тео­ре­ме ко­си­ну­сов из тре­уголь­ни­ка B_1MC:

 ко­си­нус \angle B_1MC= дробь: чис­ли­тель: B_1M в квад­ра­те плюс MC в квад­ра­те минус B_1C в квад­ра­те , зна­ме­на­тель: 2B_1M умно­жить на MC конец дроби = дробь: чис­ли­тель: \dfrac3a в квад­ра­те , зна­ме­на­тель: 2 конец дроби плюс \dfrac3a в квад­ра­те 2 минус 2a в квад­ра­те 2 умно­жить на \dfraca ко­рень из: на­ча­ло ар­гу­мен­та: 3 конец ар­гу­мен­та ко­рень из: на­ча­ло ар­гу­мен­та: 2 конец ар­гу­мен­та умно­жить на \dfraca ко­рень из: на­ча­ло ар­гу­мен­та: 3 конец ар­гу­мен­та ко­рень из: на­ча­ло ар­гу­мен­та: 2 конец ар­гу­мен­та }= дробь: чис­ли­тель: 1, зна­ме­на­тель: 3 конец дроби .

 

Ответ:  дробь: чис­ли­тель: 1, зна­ме­на­тель: 3 конец дроби .





При­мер 1.

Оцените это решение в баллах:

При­мер 2.

Оцените это решение в баллах:

При­мер 3.

Оцените это решение в баллах:



Наверх
Вернуться на основную страницу «Школы экспертов»