Школа экспертов
Вернуться на основную страницу «Школы экспертов»

Ниже представлены ученические решения экзаменационных заданий. Оцените каждое из них в соответствии с критериями проверки заданий ЕГЭ. После нажатия кнопки «Проверить» вы узнаете правильный балл за каждое из решений. В конце будут подведены итоги.

Задание 484588
Задание 484589
Задание 506148


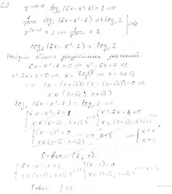
Задание № 484588

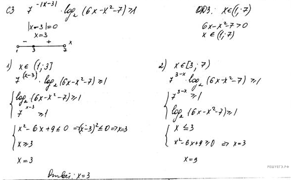
Ре­ши­те не­ра­вен­ство 7 в сте­пе­ни левая круг­лая скоб­ка минус |x минус 3| пра­вая круг­лая скоб­ка умно­жить на \log _2 левая круг­лая скоб­ка 6x минус x в квад­ра­те минус 7 пра­вая круг­лая скоб­ка боль­ше или равно 1.


Решение

По­ка­жем, что наи­боль­шее зна­че­ние левой части не­ра­вен­ства равно 1. Дей­стви­тель­но,

~0 мень­ше 7 в сте­пе­ни левая круг­лая скоб­ка минус |x минус 3| пра­вая круг­лая скоб­ка мень­ше или равно 7 в сте­пе­ни 0 = 1.

В силу тож­де­ства 6x минус x в квад­ра­те минус 7 = минус левая круг­лая скоб­ка x в квад­ра­те минус 6x плюс 9 пра­вая круг­лая скоб­ка плюс 2 =2 минус левая круг­лая скоб­ка x минус 3 пра­вая круг­лая скоб­ка в квад­ра­те имеем:

 ло­га­рифм по ос­но­ва­нию левая круг­лая скоб­ка 2 пра­вая круг­лая скоб­ка левая круг­лая скоб­ка 6x минус x в квад­ра­те минус 7 пра­вая круг­лая скоб­ка = ло­га­рифм по ос­но­ва­нию левая круг­лая скоб­ка 2 пра­вая круг­лая скоб­ка левая круг­лая скоб­ка 2 минус левая круг­лая скоб­ка x минус 3 пра­вая круг­лая скоб­ка в квад­ра­те пра­вая круг­лая скоб­ка мень­ше или равно ло­га­рифм по ос­но­ва­нию левая круг­лая скоб­ка 2 пра­вая круг­лая скоб­ка 2 = 1 .

По­сколь­ку левая часть не боль­ше 1, а пра­вая равна 1, не­ра­вен­ство вы­пол­не­но тогда и толь­ко тогда, когда оба мно­жи­те­ля равны 1, от­ку­да

 си­сте­ма вы­ра­же­ний \log _2 левая круг­лая скоб­ка 2 минус левая круг­лая скоб­ка x минус 3 пра­вая круг­лая скоб­ка в квад­ра­те пра­вая круг­лая скоб­ка =1, 7 в сте­пе­ни левая круг­лая скоб­ка минус |x минус 3| пра­вая круг­лая скоб­ка =1 конец си­сте­мы рав­но­силь­но си­сте­ма вы­ра­же­ний 2 минус левая круг­лая скоб­ка x минус 3 пра­вая круг­лая скоб­ка в квад­ра­те =2, |x минус 3|=0 конец си­сте­мы рав­но­силь­но x=3.

Ответ: 3.



Кри­те­рии оце­ни­ва­ния вы­пол­не­ния за­да­нияБаллы
Обос­но­ван­но по­лу­чен вер­ный ответ2
Обос­но­ван­но по­лу­чен ответ, от­ли­ча­ю­щий­ся от вер­но­го ис­клю­че­ни­ем точек,

ИЛИ

по­лу­чен не­вер­ный ответ из-за вы­чис­ли­тель­ной ошиб­ки, но при этом име­ет­ся вер­ная по­сле­до­ва­тель­ность всех шагов ре­ше­ния

1
Ре­ше­ние не со­от­вет­ству­ет ни од­но­му из кри­те­ри­ев, пе­ре­чис­лен­ных выше.0
Мак­си­маль­ный балл2


При­мер 1.

Оцените это решение в баллах:

При­мер 2.

Оцените это решение в баллах:

При­мер 3.

Оцените это решение в баллах:

При­мер 4.

Оцените это решение в баллах:

При­мер 6.

Оцените это решение в баллах:



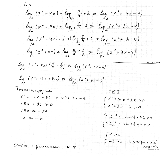
Задание № 484589

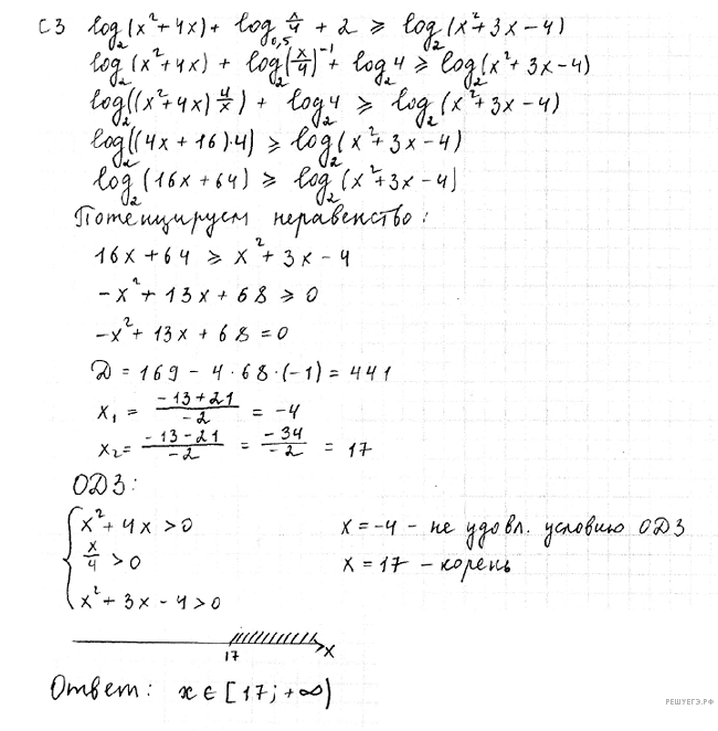
Ре­ши­те не­ра­вен­ство  ло­га­рифм по ос­но­ва­нию 2 левая круг­лая скоб­ка x в квад­ра­те плюс 4x пра­вая круг­лая скоб­ка плюс ло­га­рифм по ос­но­ва­нию левая круг­лая скоб­ка 0,5 пра­вая круг­лая скоб­ка дробь: чис­ли­тель: x, зна­ме­на­тель: 4 конец дроби плюс 2 боль­ше или равно ло­га­рифм по ос­но­ва­нию 2 левая круг­лая скоб­ка x в квад­ра­те плюс 3x минус 4 пра­вая круг­лая скоб­ка .


Решение

Не­ра­вен­ство имеет смысл при

 си­сте­ма вы­ра­же­ний x в квад­ра­те плюс 4x боль­ше 0, x боль­ше 0, x в квад­ра­те плюс 3x минус 4 боль­ше 0 конец си­сте­мы . рав­но­силь­но си­сте­ма вы­ра­же­ний x левая круг­лая скоб­ка x плюс 4 пра­вая круг­лая скоб­ка боль­ше 0, x боль­ше 0, левая круг­лая скоб­ка x минус 1 пра­вая круг­лая скоб­ка левая круг­лая скоб­ка x плюс 4 пра­вая круг­лая скоб­ка боль­ше 0 конец си­сте­мы . рав­но­силь­но x боль­ше 1.

Для таких x по­лу­ча­ем:

 ло­га­рифм по ос­но­ва­нию 2 левая круг­лая скоб­ка x левая круг­лая скоб­ка x плюс 4 пра­вая круг­лая скоб­ка пра­вая круг­лая скоб­ка минус ло­га­рифм по ос­но­ва­нию 2 дробь: чис­ли­тель: x, зна­ме­на­тель: 4 конец дроби плюс 2 боль­ше или равно ло­га­рифм по ос­но­ва­нию 2 левая круг­лая скоб­ка левая круг­лая скоб­ка x минус 1 пра­вая круг­лая скоб­ка левая круг­лая скоб­ка x плюс 4 пра­вая круг­лая скоб­ка пра­вая круг­лая скоб­ка рав­но­силь­но
 рав­но­силь­но ло­га­рифм по ос­но­ва­нию 2 x плюс ло­га­рифм по ос­но­ва­нию 2 левая круг­лая скоб­ка x плюс 4 пра­вая круг­лая скоб­ка минус ло­га­рифм по ос­но­ва­нию 2 x плюс 4 боль­ше или равно ло­га­рифм по ос­но­ва­нию 2 левая круг­лая скоб­ка x минус 1 пра­вая круг­лая скоб­ка плюс ло­га­рифм по ос­но­ва­нию 2 левая круг­лая скоб­ка x плюс 4 пра­вая круг­лая скоб­ка рав­но­силь­но
 рав­но­силь­но ло­га­рифм по ос­но­ва­нию 2 левая круг­лая скоб­ка x минус 1 пра­вая круг­лая скоб­ка мень­ше или равно 4 рав­но­силь­но x минус 1 мень­ше или равно 16 рав­но­силь­но x мень­ше или равно 17.

Зна­чит, 1 мень­ше x мень­ше или равно 17.

 

Ответ:  левая круг­лая скоб­ка 1;17 пра­вая квад­рат­ная скоб­ка .





При­мер 1.

Оцените это решение в баллах:

При­мер 2.

Оцените это решение в баллах:



Задание № 506148

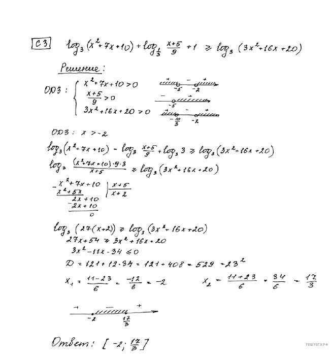
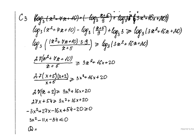
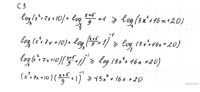
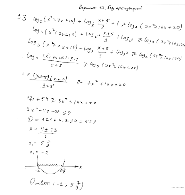
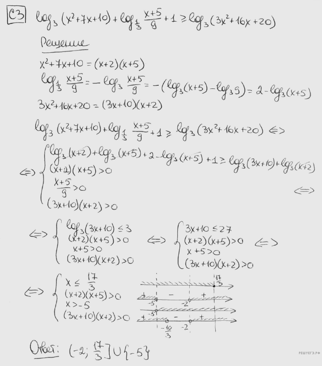
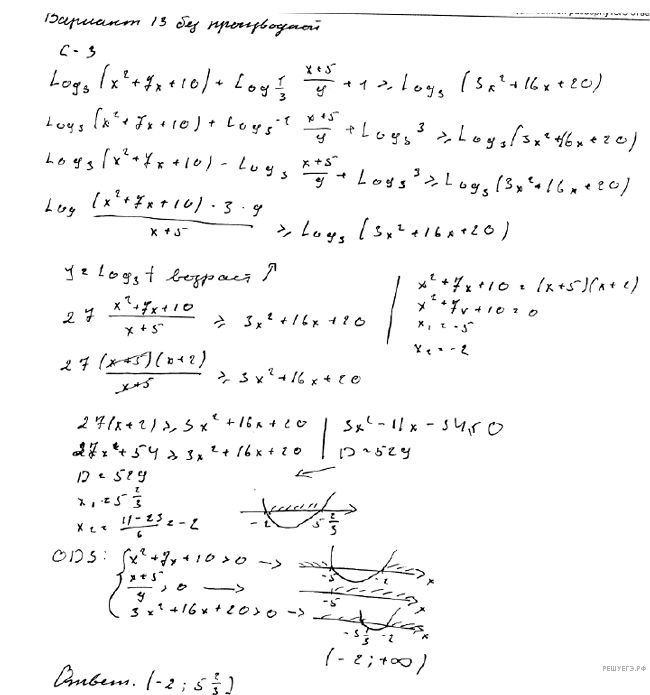
Ре­ши­те не­ра­вен­ство  ло­га­рифм по ос­но­ва­нию 3 левая круг­лая скоб­ка x в квад­ра­те плюс 7x плюс 10 пра­вая круг­лая скоб­ка плюс ло­га­рифм по ос­но­ва­нию дробь: чис­ли­тель: 1, зна­ме­на­тель: 3 конец дроби дробь: чис­ли­тель: x плюс 5, зна­ме­на­тель: 9 конец дроби плюс 1 боль­ше или равно ло­га­рифм по ос­но­ва­нию 3 левая круг­лая скоб­ка 3x в квад­ра­те плюс 16x плюс 20 пра­вая круг­лая скоб­ка .


Решение

Найдём огра­ни­че­ния на x:

 си­сте­ма вы­ра­же­ний  новая стро­ка x в квад­ра­те плюс 7x плюс 10 боль­ше 0, новая стро­ка x плюс 5 боль­ше 0,  новая стро­ка 3x в квад­ра­те плюс 16x плюс 20 боль­ше 0 конец си­сте­мы рав­но­силь­но си­сте­ма вы­ра­же­ний  новая стро­ка левая круг­лая скоб­ка x плюс 2 пра­вая круг­лая скоб­ка левая круг­лая скоб­ка x плюс 5 пра­вая круг­лая скоб­ка боль­ше 0, новая стро­ка x плюс 5 боль­ше 0,  новая стро­ка 3 левая круг­лая скоб­ка x плюс дробь: чис­ли­тель: 10, зна­ме­на­тель: 3 конец дроби пра­вая круг­лая скоб­ка левая круг­лая скоб­ка x плюс 2 пра­вая круг­лая скоб­ка боль­ше 0 конец си­сте­мы рав­но­силь­но си­сте­ма вы­ра­же­ний  новая стро­ка x плюс 2 боль­ше 0, новая стро­ка x плюс 5 боль­ше 0, новая стро­ка x плюс дробь: чис­ли­тель: 10, зна­ме­на­тель: 3 конец дроби боль­ше 0 конец си­сте­мы рав­но­силь­но  си­сте­ма вы­ра­же­ний  новая стро­ка x боль­ше минус 2, новая стро­ка x боль­ше минус 5 новая стро­ка x боль­ше минус дробь: чис­ли­тель: 10, зна­ме­на­тель: 3 конец дроби . конец си­сте­мы рав­но­силь­но x боль­ше минус 2.

Вос­поль­зу­ем­ся свой­ства­ми ло­га­риф­мов:

 ло­га­рифм по ос­но­ва­нию 3 левая круг­лая скоб­ка x в квад­ра­те плюс 7x плюс 10 пра­вая круг­лая скоб­ка плюс ло­га­рифм по ос­но­ва­нию дробь: чис­ли­тель: 1, зна­ме­на­тель: 3 конец дроби дробь: чис­ли­тель: x плюс 5, зна­ме­на­тель: 9 конец дроби плюс 1 боль­ше или равно ло­га­рифм по ос­но­ва­нию 3 левая круг­лая скоб­ка 3x в квад­ра­те плюс 16x плюс 20 пра­вая круг­лая скоб­ка рав­но­силь­но

 рав­но­силь­но ло­га­рифм по ос­но­ва­нию 3 левая круг­лая скоб­ка x в квад­ра­те плюс 7x плюс 10 пра­вая круг­лая скоб­ка минус ло­га­рифм по ос­но­ва­нию 3 дробь: чис­ли­тель: x плюс 5, зна­ме­на­тель: 9 конец дроби плюс ло­га­рифм по ос­но­ва­нию 3 3 боль­ше или равно ло­га­рифм по ос­но­ва­нию 3 левая круг­лая скоб­ка 3x в квад­ра­те плюс 16x плюс 20 пра­вая круг­лая скоб­ка рав­но­силь­но

 рав­но­силь­но ло­га­рифм по ос­но­ва­нию 3 дробь: чис­ли­тель: 27 левая круг­лая скоб­ка x плюс 2 пра­вая круг­лая скоб­ка левая круг­лая скоб­ка x плюс 5 пра­вая круг­лая скоб­ка , зна­ме­на­тель: левая круг­лая скоб­ка x плюс 5 пра­вая круг­лая скоб­ка конец дроби боль­ше или равно ло­га­рифм по ос­но­ва­нию 3 левая круг­лая скоб­ка левая круг­лая скоб­ка 3x плюс 10 пра­вая круг­лая скоб­ка левая круг­лая скоб­ка x плюс 2 пра­вая круг­лая скоб­ка пра­вая круг­лая скоб­ка рав­но­силь­но ло­га­рифм по ос­но­ва­нию 3 левая круг­лая скоб­ка 27x плюс 54 пра­вая круг­лая скоб­ка боль­ше или равно ло­га­рифм по ос­но­ва­нию 3 левая круг­лая скоб­ка 3x в квад­ра­те плюс 16x плюс 20 пра­вая круг­лая скоб­ка рав­но­силь­но

 рав­но­силь­но 27x плюс 54\geqslant3x в квад­ра­те плюс 16x плюс 20 рав­но­силь­но 3x в квад­ра­те минус 11x минус 34 мень­ше или равно 0 рав­но­силь­но 3 левая круг­лая скоб­ка x плюс 2 пра­вая круг­лая скоб­ка левая круг­лая скоб­ка x минус дробь: чис­ли­тель: 17, зна­ме­на­тель: 3 конец дроби пра­вая круг­лая скоб­ка \leqslant0 рав­но­силь­но минус 2 мень­ше или равно x мень­ше или равно дробь: чис­ли­тель: 17, зна­ме­на­тель: 3 конец дроби .

От­ку­да, с уче­том ОДЗ, по­лу­ча­ем ответ.

 

Ответ:  левая круг­лая скоб­ка минус 2, дробь: чис­ли­тель: 17, зна­ме­на­тель: 3 конец дроби пра­вая квад­рат­ная скоб­ка .





При­мер 1.

Оцените это решение в баллах:

При­мер 2.

Оцените это решение в баллах:

При­мер 3.

Оцените это решение в баллах:

При­мер 4.

Оцените это решение в баллах:

При­мер 5.

Оцените это решение в баллах:

При­мер 6.

Оцените это решение в баллах:



Наверх
Вернуться на основную страницу «Школы экспертов»